CAFE

위상수학

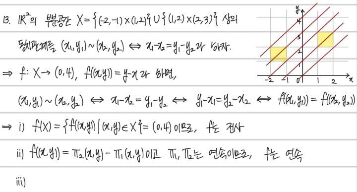
박대희 13.1.13~15 상공간 질문

작성자짤랑쫄랑|작성시간21.03.26|조회수757 목록 댓글 3

차례로 동치관계 ~에 의한 상공간이 위상동형임을 보이려고 하는데, 열린사상 또는 닫힌사상이 됨을 보이는 데에서 막히네요ㅠㅠ

제가 시도한 부분은, 부분공간들이 다 유계, 폐집합이 아니라서 하이네-보렐 정리를 이용하여 닫힌사상임을 보일수도 없고, 개집합(또는 폐집합)의 상이 개집합(또는 폐집합)임을 보이려고 했었는데, 개집합(또는 폐집합)의 형태가 복잡한 듯 해서요..

원래는 14, 15번이 (a)번에서 상공간이 연결임을, (b)번에서 상공간이 컴팩트임을 보이라고 하고 (c)번에서 위상동형임을 보이라고 하는 문제인데, 위상동형임을 먼저 보이면 연속•전사임을 이용하여 상공간이 연결•컴팩트임을 보이려고 (c)번을 먼저 해결하려하니 복잡하네요😰

다음검색
현재 게시글 추가 기능 열기

댓글

댓글 리스트
  • 작성자유현미 | 작성시간 21.03.29 13
    (0,4)라고 하면 2에 대응되는 정의역의 원소가 없으므로 전사가 아닙니다. (0,2)∪(2,4)로 바꿔주어야 하고 열린사상은 기저의 상이 열린집합임을 보이면 충분합니다.

    14
    열린사상도 닫힌사상도 아닙니다.
    f:Y→[0,4], f((x,y))=y-x 라 할 때
    f:전사, f^(-1)(G):정의역에서 열린집합 ⇔ G:공역에서 열린집합 보이면 됩니다.

    15
    열린사상도 닫힌사상도 아닙니다.
    Z/~={[(x,-x)] | x∈[-2,-1]}∪{[(x,-x+4)] | x∈(1,2]} : 비연결, 컴팩트아닙니다.
    따라서 [0,4]와 위상동형 아닙니다.
  • 답댓글 작성자짤랑쫄랑 작성자 본인 여부 작성자 | 작성시간 21.03.30 13 - 기저의 형태가 ((a,b)×(c,d))∩X인데 이것의 상이 어떻게 되는지를 모르겠어요... a,b,c,d의 범위에 따라 다 따져봐야 하나요?

    14 - 역방향은 f가 연속임에 의해 성립한다는 것을 알겠는데, 정방향은 어떻게 해야할까요?
    f^(-1)(G)를 Y 개집합이라 하면, R² 개집합 U가 존재해서 f^(-1)(G)=U∩Y
    -> f는 전사이므로, G=f(f^(-1)(G))=f(U∩Y)⊂f(U)∩f(Y)=f(U)∩[0,4]
    -> f(U)가 [0,4] 개집합이면 될거같은데.. 이게 성립하는 이유를 못 찾겠어요ㅠ
  • 답댓글 작성자유현미 | 작성시간 21.03.31 짤랑쫄랑 13
    정확히 서술한다면 a,b,c,d 범위를 나누어 생각해주어야 합니다.

    14
    더 간단한 방법이 있을지 모르나 말씀드린 방법으로 정확히 서술하기에는 꽤 길어집니다.
    저는 G⊂[0,4]와 a∈G에 대해 포함하고 포함되는 기저의 원소가 존재함을 보였습니다.

    13~15 모두 서술하는 연습보다 각각이 열린사상이 되는지, 닫힌사상이 되는지, 상함수가 되는지 여부를 "생각"할 수 있는게 더 중요하고 그정도면 충분합니다.

    기본서에는 서술하는 연습이 필요한 문제와 그렇지 않은 문제가 있으니 잘 선택해서 공부하는 것이 효율적인 방법이라고 생각합니다.
댓글 전체보기
맨위로

카페 검색

카페 검색어 입력폼