CAFE

선형대수학

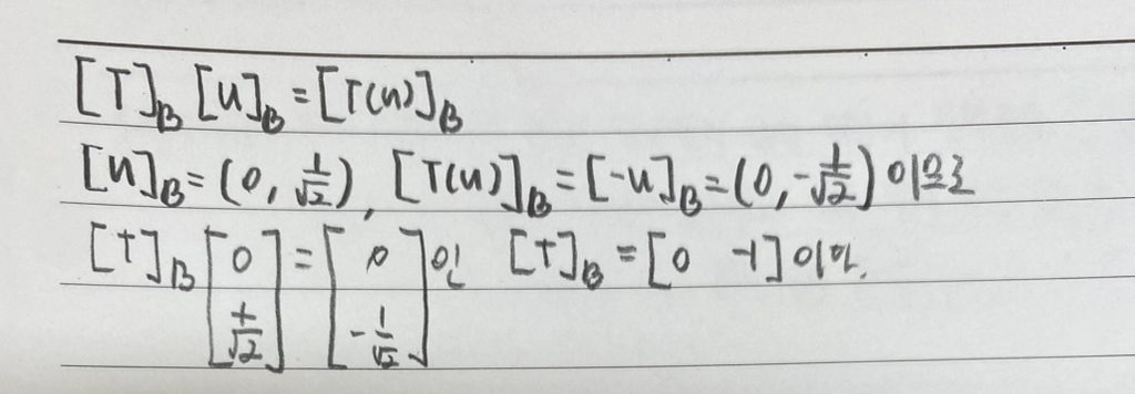
유제5-15 질문입니다.

작성자하태규|작성시간26.03.19|조회수76 목록 댓글 4

T의 행렬 [T]B의 값을 사진처럼 풀었는데 답과 다른 답이 나왔습니다. 이 풀이도 가능한가요?

다음검색
현재 게시글 추가 기능 열기

댓글

댓글 리스트
  • 작성자김성희 | 작성시간 26.03.20 [T]_B는 2x2행렬로 나타납니다.
  • 답댓글 작성자하태규 작성자 본인 여부 작성자 | 작성시간 26.03.21 2x2행렬로 다시 풀어보려 했는데, 1행 1열, 2행 1열 성분을 어떻게 구해야 하는지 모르겠습니다. u가 주어졌을 때, [T]_B를 구하는 방법으로 저 풀이를 써도 되는 건 맞나요?
  • 답댓글 작성자김성희 | 작성시간 26.03.23 하태규 [T]_B는 정의대로 구해야 합니다. 첫 번째 줄에 써주신 관계식은 각각을 정의했을 때, 그 세 값 사이에 위와 같은 관계가 있다는 정리입니다.
  • 답댓글 작성자하태규 작성자 본인 여부 작성자 | 작성시간 26.03.24 new 김성희 답지에 나온 정의로 푸는 것 말고 문제에서 주어진 u를 사용해서 풀어야만 한다면 어떻게 풀 수 있나요?
댓글 전체보기
맨위로

카페 검색

카페 검색어 입력폼