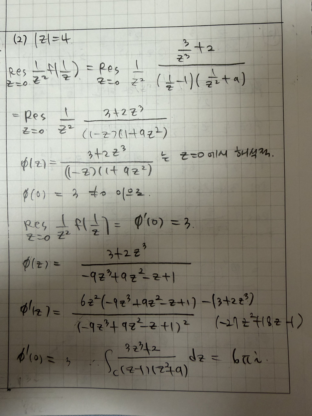
유제 6-15 작성자jerry|작성시간26.03.23|조회수26 목록 댓글 1 글자크기 작게가 글자크기 크게가 다음과 같이 (2)번에서 정리 6.6을 이용한 풀이도 가능한가요? 다음검색 현재 게시글 추가 기능 열기 북마크 공유하기 신고 센터로 신고 댓글 댓글 1 댓글쓰기 답글쓰기 댓글 리스트 작성자수정과 | 작성시간 26.03.24 new 네. 정리의 조건을 만족하므로 적용가능합니다. 댓글 전체보기