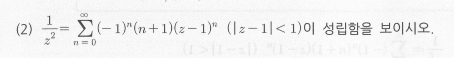
필수예제49 질문있어요 작성자나마언|작성시간24.04.04|조회수93 목록 댓글 1 글자크기 작게가 글자크기 크게가 다음검색 현재 게시글 추가 기능 열기 북마크 공유하기 신고 센터로 신고 댓글 댓글 1 댓글쓰기 답글쓰기 댓글 리스트 작성자수정과 | 작성시간 24.04.05 |z|<1일 때 세 번째 줄의 등식이 성립하므로 z 자리에 1-z를 대입하면 |z-1|=|1-z|<1 일 때 문제의 식이 성립함을 알 수 있습니다. 댓글 전체보기