CAFE

대학생,일반 수학

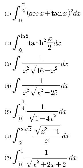
삼각함수 적분 알려주세요..ㅜㅜ

작성자수학완전꼴통|작성시간08.10.11|조회수880 목록 댓글 1

이미지를 클릭하면 원본을 보실 수 있습니다.

 

제가 하다가 도저히 안되서 이렇게 올립니다..

 

알려주시면 감사하겠습니다.

다음검색
현재 게시글 추가 기능 열기

댓글

댓글 리스트
  • 작성자길라잡이 | 작성시간 08.10.12 너무 많이 올리면 회원님들이 잘 안 풀어주실듯... 1. tanx = t 라고 치환하면 secx=sqrt(1+x^2) 2. 잘 기억이 나질 않지만 tanhx=(e^x-e^-x)/(e^x+e^-x)로 바꾼 다음... 3. 4. 6. 적분표에 다 나와 있음...ㅡ_ㅡ 5. 역시 치환 x=1/2 sint 7. x^2+2x+2=(x+1)^2+1 한다음.... tan t = x+1로 치환?
댓글 전체보기
맨위로

카페 검색

카페 검색어 입력폼