CAFE

대학생,일반 수학

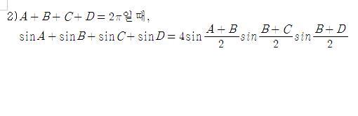
증명하는 것좀 도와주세요~

작성자안젤리카|작성시간10.04.21|조회수77 목록 댓글 0

이거 증명하는 것좀 도와주세요 ㅠㅠ

(수식도 여기서 어떻게 입력해야하는지 몰라서 한글에서 써서 캡쳐해서 올리기도 힘드네요ㅠ)

 

 

 

다음검색
현재 게시글 추가 기능 열기

댓글

댓글 리스트
맨위로

카페 검색

카페 검색어 입력폼