CAFE

대학생,일반 수학

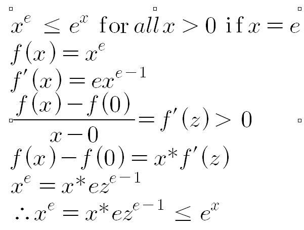
[해석학]증명 맞는지 알려주세요~

작성자유키노양|작성시간11.06.15|조회수91 목록 댓글 0

 

 

잘 증명했는지 알려주세요~

휴 너무 어려운 해석학입니다 ㅠㅠ

 

고수님들! 꼭 좀 부탁드립니다!

다음검색
현재 게시글 추가 기능 열기

댓글

댓글 리스트
맨위로

카페 검색

카페 검색어 입력폼