CAFE

고등학생 수학

Re:이차항이 포함된 분수함수?

작성자랜덤|작성시간08.11.17|조회수2,606 목록 댓글 2

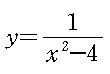
에서 f(x)=1/(x^2-4)라고 하면

x→+∞일때 f(x)→0

x→2+0일때   f(x)→+∞

x→2-0일때   f(x)→-∞

x→a일때 (-2<a<+2)  f(x)→1/(a^2-4)

x→-2+0일때   f(x)→-∞

x→-2-0일때   f(x)→+∞

x→-∞일때 f(x)→0

미분하면 f(x)'= -2x/(x^2-4)^2

구간 (2,-2)에서 극값=f(0)=-1/4임을 알수있죠.

따라서 개형을 그리면

 

 

 

 

 

이건좀 귀찮은건뎅

 

 

 

 

 

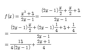
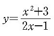
  위그래프에서 점근선 빨간색은 y=13/4(2x-1)의 점근선중의 하나 x=1/2이구요.

점근선 분홍색은 y=(2x+1)/4임., 그림이 좀 졷같네염.

 

다음검색
현재 게시글 추가 기능 열기

댓글

댓글 리스트
  • 작성자랜덤 작성자 본인 여부 작성자 | 작성시간 08.11.17 두번째 함수 그래프 좀 이상한데, 미분하시고 극값 확인하셔서 알아서 제대로 그려보세염 ㅇㅇ
  • 작성자랜덤 작성자 본인 여부 작성자 | 작성시간 08.11.17 여튼 함수를 최대한 그리기 쉽게 y=f(x)+g(x)꼴로 고치시구요. y=f(x),y=g(x) 그려서 더하시면됨당.그리구 더이상 더하기 꼴로 못고칠땐, 미분이용해서 극대값,극소값, 플러스 무한대로가냐, 마이너스 무한대로가냐, 만 확인하시면 됨당.
댓글 전체보기
맨위로

카페 검색

카페 검색어 입력폼