CAFE

[결과보도] 78.6%,중학교 수학 중간고사에서 선행 유발 또는 고난이도 문제 출제해...

작성자사교육걱정없는세상|작성시간14.05.29|조회수185 목록 댓글 0
-->
bd20120403

■2014년도 중학교 2학년 수학 1학기 중간고사 선행여부 및 난이도 분석결과 보도자료(2014.05.29.)


78.6%, 중학교 수학 중간고사에서 선행 유발 또는 고난이도 문제 출제해...

교육청 규제로 학교의 성취평가제 적용 어려워



□ 사교육걱정없는세상은 전국수학교사모임, 중앙일보와 공동으로 중학교 2학년 수학 중간고사의 선행여부와 난이도를 다음과 같이 분석하였습니다. (※분석방법은 첨부자료 참고)


□ 중2 시험범위를 벗어난 선행 유발 문항을 출제한 학교가 14개 중 8개( 57.1%) 였습니다.


◦ 대체적으로 선행 유발 문항수 비율이 높지는 않았으나, 2년 이상의 선행문제까지 출제하고 있어 학생들이 느끼는 부담감은 매우 큽니다.


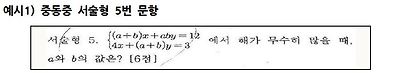
◦ 선행 유발 문항 예시입니다. (※다른 문항 분석은 첨부자료 참고)


bd20120403

분석) 고1 과정인 ‘직선의 평행 조건’과 ‘근과 계수의 관계’ 등을 이용하는 문제.

bd20120403

분석) 중2에서는 일차연립방정식을 다루는데, 이 문제는 이차연립방정식으로 고등학교 1학년 과정임.

□ 난이도 분석 결과, ‘상’수준 이상 문항이 전체 문항의 50%를 넘은 학교가 14개 학교 중 8개(57.1%) 였습니다. 다음 표에 음영으로 표시되었습니다.(※극상 수준 문항 분석은 첨부자료 참고)


bd20120403


◦ ‘상’ 수준 이상의 문항을 50% 넘게 출제한 학교의 ‘상’ 수준의 이상의 문항비율은 전체의 62.3%로, 그 외의 학교의 24.1%에 비해서 3배 정도 높은 비율을 나타냅니다. 교육과정평가원의 자료에 따르면, 난이도 분포를 적절하게 조절(예, 상30%, 중40%, 하30%)할 것을 권유하고 있는데 이에 반하는 것입니다.


◦ ‘하’수준 문항 출제 비율을 살펴보면,‘상’ 수준 이상의 문항을 50% 넘게 출제한 학교는 전체의 7.8% 밖에 되지 않아, ‘하’수준 학생의 성취도를 정확하게 평가하는데 어려움이 있습니다. 이는 그 외 학교의 ‘하’ 수준 문항 비율이 25.4%인 것과 크게 대비됩니다.


bd20120403


◦ 이렇게 학교에서 어려운 문제를 많이 출제하는 데에는 교육청의 규제가 큰 원인으로 있습니다. 즉 교육청은 공문을 통해 성취평가제의 A와 B의 비율을 합하여 50%를 넘지 않도록 하고 있습니다.


bd20120403


◦ 이 공문에 따르면, ‘A, B 비율을 합해서 50% 이상’이면 학교 컨설팅 대상이 되므로, 학교에서는 50% 이상을 넘지 않도록 해야 합니다. 이에 따라 학력이 우수한 학생들이 많은 학교들은 A, B 비율을 낮추기 위해, ‘극상’이나 ‘선행유발’문항을 포함시켜서 시험 문제의 난이도를 높이고 있는 것입니다. 이는 변별을 목적으로 하는 상대평가와는 다른 ‘성취평가제’의 취지를 살리지 못하고 무늬뿐인 성취평가제가 되는 것을 교육청이 강요하는 것이라 할 수 있습니다.


bd20120403

2014. 5. 29. 사교육걱정없는세상
(공동대표 송인수 윤지희)
※ 담당 : 본 단체 수학사교육포럼 대표 최수일 / 연구원 나현주 (02-797-4044∼5/내선221번)



보도자료(HWP)
보도자료(PDF)
첨부자료(HWP)
첨부자료(PDF)




다음검색
현재 게시글 추가 기능 열기

댓글

댓글 리스트
맨위로

카페 검색

카페 검색어 입력폼