CAFE

근육생리와 역학

Changes in sarcomere length and physiological properties in immobilized muscle. 1977의 기념비적 논문 꼭 전문 번역해야

작성자문형철|작성시간12.04.02|조회수1,607 목록 댓글 0

근육의 기본단위인 z line과 z line을 sarcomere라고 함.

이러한 muscle length(근육 길이)를 정확하게 정의할때 muscle shortening과 stretching을 정확하게 이해할 수 있다.

당연히 muscle length-tension relationship도 이해할 수 있고.


근육은 매우 적응을 잘하는 조직이라 sarcomere number의 수는 immobilization에 의해서 변화

sarcomere가 길어진 position상태에서 근육이 immobilized될때 added되고, sarcomere가 짧아진 상태에서 고정될때 lost됨.




그것에 관한 1977년 논문이다.


첨부파일 Changes in sarcomere length and physiological properties in.pdf




INTRODUCTION

During the postnatal development of the mouse, increase in skeletal muscle length has been shown to result from the serial addition of sarcomeres in the component muscle fibres (Williams & Goldspink, 1971). By 8 weeks of age sarcomere addition in the M. soleus is virtually complete. However, muscle is a very adaptable tissue and sarcomere number in adult muscle can be altered by immobilization


- 쥐의 경우 출생후 skeletal muscle length는 muscle fiber에서 sarcomere의 연속적인 구조로 증가

- 8주가 되면 soleus muscle은 사실상 완전히 자람. 

- 하지만 근육은 매우 적응을 잘하는 조직이라 sarcomere number의 수는 immobilization에 의해서 변화함. 


When the muscle is immobilized in the lengthened position sarcomeres are added on, and when the muscle is immobilized in the shortened position sarcomeres are lost (Tabary et al. 1972; Williams & Goldspink, 1973). It has been suggested that when a muscle is immobilized in the shortened position its functional length is decreased; in this position the sarcomeres are fully shortened and maximum contractile strength cannot be developed since there is not an optimum overlap of myosin and actin filaments. 


- sarcomere가 길어진 position상태에서 근육이 immobilized될때 added되고, sarcomere가 짧아진 상태에서 고정될때 lost됨. 

- 근육이 짧아진 상태에서 immobilized될때, 근육의 기능적 길이는 감소됨. 이 상태에서 sarcomere는 완전히 짧아지고, 최대 수축강도는 만들어질 수 없음. 이유는 actin과 myosin filament의 충분한 overlap이 안되기 때문. 


A reduction in the number of sarcomeres could bring sarcomere length back to optimum. In the case of muscles immobilized in the extended position it is suggested that stretching of the muscle pulls out the sarcomeres to a length where there is too little overlap of myofilaments for maximum tension to be developed. Adding on sarcomeres could result in sarcomere length being restored to the optimum.


- sarcomere수의 감소는  최적기능으로 돌아오기 위한 sarcomere length로 되돌아가지 못함. 

- 근육이 신장된 상태에서의 고정에서 다음을 가정할 수 있음. 근육 스트레칭은 근절을 당겨 ....??

- Adding on sarcomeres는 sarcomere length 회복을 가져와 최적화될 수 있음. 


Stretching of the muscle could also be the stimulus for the normal postnatal increase in sarcomere number; the stretching being due to bone growth. This would seem to be supported by the fact that when young muscle is immobilized in the shortened position (i.e. when the sarcomeres are prevented from being pulled out) postnatal sarcomere addition is greatly reduced (Williams & Goldspink, 1971). 


- 근육 스트레칭은 sarcomere 숫자를 증가시켜 normal postnatal을 위한 최적의 자극이 될 수 있음. 스트레칭은 bone growth때문에 발생함. 이것은 young muscle이 짧아진 상태에서 고정될때 postnatal sarcomere 추가는 크게 감소한다는 이론을 지지함. 


However, the picture is complicated by the fact that immobilizing a young muscle in the extended position (which would be expected to stretch the sarcomeres both by the position of the limb and by bone growth) also results in a reduced sarcomere number. Crawford (1973), using young rabbit muscle immobilized in extension, found that, despite reduced muscle growth, the sarcomeres were not over-stretched, but were indeed shorter than those of the controls in the extended position.


- 하지만, 다음 사실에 의해 상황은 아주 복잡해짐. 즉 신장된 상태에서 고정된 young muscle은 sarcomere number 감소를 야기할 수 있음. 

- 신장상태에서 고정된 토끼근육의 연구에 의하면 muscle growth 감소에도 불구하고, sarcomere는 over stretched 되지 않지만 근육의 신장된 상태에서 조절보다는 짧아짐. 


In order to test the hypothesis that, in general, changes in sarcomere number result in maximum tension being developed in the immobilized position and in order to clarify the situation regarding young muscle, it was decided first to determine to what extent alterations in sarcomere number during immobilization are accompanied by changes in sarcomere length and second to carry out physiological measurements to find out whether maximum tension is developed by the muscles in the position in which they are immobilized. 


- sarcomer 수의 변화는 고정된 자세에서 진행된 maximum tension을 야기함. ....


All the mice used were normal heterozygous males of the 129/Re strain obtained originally from Jackson Memorial Laboratories, Bar Harbor, U.S.A. They were fed on Pilsbury's special breeding diet with food and water available at all times. The soleus muscle was chosen for this study because of its suitability for sarcomere number determinations; there being very little variation in the number of sarcomeres in series per fibre either within a muscle or between different muscles from animals of the same age (Williams & Goldspink, 1976). Two age groups of mice were used, namely 1 week old animals and 8 weeks old animals.


- 연구에 의하면 음식과 sarcomere 수와는 큰 관계 없음. 


Determination of the relationship between sarcomere length and sarcomere number


One hind limb of each animal was immobilized by means of a plaster cast so that the soleus muscle was held in either the lengthened or the shortened position. After a 3 week period of immobilization the animals were killed and after measuring the angle at which the foot had been immobilized, the experimental soleus muscles were exposed and fixed in situ using 2-5 % glutaraldehyde, care being taken to place the limb in the position in which it had been immobilized. Control muscles were fixed with the muscle either in the fully lengthened position or in the fully shortened position. Both experimental and control muscles were removed and then divided longitudinally into two. One half of each muscle was placed in 30 % (w/v) nitric acid to hydrolyse the connective tissue and then stored in 50 % glycerol. Single fibres were teased out from these muscle portions and the number of sarcomeres per fibre determined (Williams & Goldspink, 1971). (In the case of control muscles only those fixed in the lengthened position were used for sarcomere number eterminations

since it was found to be extremely difficult to count the very short sarcomeres in muscles fixed in the shortened position.) 

The other halves of the muscles were put directly into 50 % glycerol. Individual fibres or small bundles of fibres were teased out and mounted in glycerol jelly. Using a Leitz projection microscope the number of sarcomeres along a 100 ,um stretch of fibre was determined. Measurements were made at three different points on each fibre, avoiding the ends

of the fibres where the sarcomeres are shorter (Goldspink, 1968), and on five fibres from each muscle.


- 동물의 뒷다리를 cast로 짧아진 상태, 길어진 상태로 3주 고정후 sarcomere length와 number를 체크함. 


Length/tension measurements

One hind limb of each mouse was immobilized with the soleus muscle in either the lengthened or the shortened position. After a 3 week period of immobilization the animals were anaesthetized with Nembutal, injected intraperitoneally, and the

angle between the immobilized foot and lower limb was measured. The soleus muscle was exposed by removing the overlying muscles and a silk thread loop was then tied around the Achilles tendon. Using a magnifying glass, an India ink mark was made on both tendons as near as possible to the termination of the muscle fibres. With the foot placed at the angle of immobilization the length of the muscle between the ink marks was measured using micrometer calipers. The Achilles tendon was then cut distal to the silk loop and the soleus muscle removed, leaving a piece of bone attached to the tendon of origin. Each muscle was attached to the lower (adjustable) hook of a muscle chamber by means of a surgical wound clip fixed to the piece of bone. The free tendon was attached by the loop to the myograph hook. The muscle was supplied continuously with oxygenated Ringer's solution. The output from the myograph was recorded on a physiograph pen recorder. The isometric recording system was calibrated with weights before each set of experiments. The muscles were stimulated to give brief tetanic contractions, stimulation being carried out using 10 V square wave pulses of 2 msec duration delivered at a frequency of 80 Hz for 0 7 sec. The passive tension exerted by the muscle when it was not contracting, and the isometric tension it developed during stimulation were measured at muscle lengths extending below and beyond those obtaining in the immobilized limb. Control muscles were taken from litter mates of the experimental animals. In these muscles the in vivo fully lengthened and fully shortened muscle belly lengths were measured (again using India ink marks) before the muscles were removed and attached to the isometric myograph. Active and passive tension was recorded for the range of muscle lengths obtaining in the intact limb.


- 동물의 soleus muscle과 achilles tendon을 짧아진 상태, 길어진 상태에서 고정후 muscle length와 achilles tendon의 긴장을 측정.




RESULTS

Adult muscles

Sarcomere number and sarcomere length (Table 1)


When normal adult muscles are fixed in the in vivo fully shortened position, sarcomere length is 1.41 μm(μm는 10-6 ) when fixed in the fully lengthened position sarcomere length is 3. 13 um. When muscles are immobilized in the shortened position sarcomere number is reduced, and the length of the sarcomeres is found to be 2. 08 um, which is considerably longer than sarcomeres from control muscles fixed in the sameposition. When muscles are immobilized in the lengthened position, sarcomere number is increased and the length of the sarcomeres is 2.43 μm, which is shorter than sarcomeres from control muscles fixed in the same position.


- 동물의 normal adult muscle는 최대로 짧아진 상태에서 sarcomere length는 1.51 μm이고, 최대로 길어진 상태에서 sarcomere length는 3.23 μm.

- 근육이 짧아진 상태에서 고정되면(immobilized) sarcomere 수는 줄어들고, sarcomere length는 2.08 μm. 이 상태는 같은 자세에서 고정한(fixed) 비교그룹의 sarcomere보다 상당히 긴편임. 

- 근육이 길어진 상태에서 고정될때(immobilized), sarcomere 수는 늘어나고, sarcomere length는 2.43 μm. 이 상태는 같은 자세에서 고정한(fixed) 비교그룹의 sarcomere보다 짧은 편임. 


Length/tension measurements

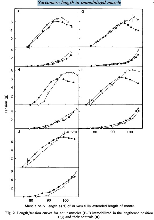
In plotting the length/tension curves of each mouse the lengths of the experimental and normal muscles are expressed as a percentage of the normal in vivo fully extended muscle length. The short vertical lines cross the curves of all normal muscles at their in vivo fully shortened lengths. The curve of each experimental muscle is crossed by the broken line at the length it occupied in the immobilized limb. Length/tension curves obtained from normal muscles show that maximum tension is developed when muscle length is approximately 90 % of its maximum. When fully shortened the tension developed is almost nil, and when fully lengthened the tension developed is considerably less than the maximum (Fig. 1).





Muscles immobilized in the shortened position were found to weigh little more than half as much as control muscles. It is probably for this reason that the developed tension is much reduced (Fig. 1). The length/tension curves are very short and the passive tension curves are steeper than those of the control muscles. The maximum tension produced by the muscles is developed at a length which is close to that occupied by the muscles in the immobilized limb. This results in the curves being to the left of the control curves.


The shapes of the length/tension curves of the muscles immobilized in the lengthened position (Fig. 2) vary somewhat, but they differ constantly from the normal in certain respects. Thus maximum tension is always higher than in controls,

and the muscles develop this maximum tension at approximately the length at which they were immobilized. Passive length/tension curves do not differ greatly from normal.





Young muscle

Sarcomere number and sarcomere length (Table 1)

In normal young muscle the in vivo range of sarcomere length is found to be 1. 62μm(fully shortened) to 3.10 μm (fully lengthened). In muscles immobilized in the shortened position sarcomere number is reduced and sarcomere length (2.40  μm) is greater than in control muscles fixed in the same position. In muscles immobilized in the lengthened position sarcomere number is again reduced. 


- normal young muscle에서 sarcomere length의 범위는 1. 62μm(fully shortened) to 3.10 μm (fully lengthened)임.

- 짧아진 상태에서 고정된 근육의 sarcomere number는 감소되고, sarcomere length는 2.40μm로 같은 자세에서 fixed된 비교그룹근육보다 큼. 

- 길어진 상태에서 고정된 근육의 sarcomere number는 다시 줄어듬. 


The length of the sarcomeres, however, instead of being increased due to pulling out of the smaller number of sarcomeres, is decreased (2.64 μm) compared with the length of sarcomeres from normal muscle fixed in the same position. In these muscles there must have been either a considerable increase in tendon length or an increase in the staggering of the muscle fibres. Comparisons of muscle belly length (Table 1) in normal and experimental muscles showed that in young muscle immobilized in either shortened or lengthened positions, overall muscle length is reduced as compared with controls placed in the same position. Since bone growth is normal, this implies either that there is an increase in tendon length, or that the distance between the origin and insertion is reduced.


- sarcomere의 길이가 pulling out of the smaller number of sarcomere때문에 증가하는 대신에....


Length/tension measurements

In muscles immobilized in the shortened position (Fig. 3) the results are similar to those for adult muscle - the active tension is reduced, the passive tension curve is steeper than in the controls, and the length at which maximum tension is developed approximates to the length the muscle occupied in the immobilized limb. Since growth of the muscle belly as a whole is reduced during immobilization the immobilized muscle length is less than the normal in vivo shortened length. It is for this reason that the experimental curves are much further to the left of the controls than is the case with adult immobilized muscle.


In muscles immobilized in the lengthened position (Fig. 4) maximum tension is, as in adult muscle, developed at approximately the length which the muscle occupied in the immobilized limb. However, due to a shorter muscle belly, the immobilized muscle length is shorter than the normal in vivo extended muscle length, and the curves of the experimental muscles are to the left of those of the controls, instead of to the right as in adult muscle.


DISCUSSION

In a normal muscle the number of sarcomeres in series is important in determining the distance through which the muscle can shorten during normal limb movement, and it is the length of the tendon which determines that the individual sarcomeres are stretched to an extent which enables them to exert their maximum tension. 


- 연속적 구조에서 sarcomere의 정상 수는 근육의 distance를 결정하는데 중요함. 근육은 normal limb 움직임 동안 짧아질 수 있음. tendond의 길이는 각각의 sarcomere가 늘어나 maximum tension을 발휘할 수 있게 하는 스트레치될 수 있는 결정자???


Muscle is a very adaptable tissue, however, and sarcomere number is not fixed: in adult muscles in which movement is prevented it would appear to be mainly changes in sarcomere number which lead to optimum sarcomere length being attained whatever the position of immobilization. 


- 근육은 매우 적응을 잘하는 조직이지만 sarcomere 숫자는 고정되어 있지 않음. 동물 adult muscle에서 움직임은 방해되고, 그것은 sarcomere수의 변화로 나타나는데, 이는 immobilization의 postion과 상관없이 최적의 sarcomere length.. 아이고..??


In muscles immobilized in the shortened position sarcomeres are lost and the remaining sarcomeres are pulled to a length which enables the muscle to develop its maximum tension in the immobilized position. This results in the length/tension curves of the experimental animals being to the left of those of the controls. In muscles immobilized in the lengthened position sarcomeres are added on, and this results in sarcomere length being reduced as compared with controls fixed in a similar position. Maximum tension is again found to be developed in the immobilized position. Figure 5 shows sarcomeres from muscles which have undergone only 10 days of immobilization. It can be seen that already sarcomere length is reduced in muscles immobilized in the lengthened position and increased in muscles immobilized in the shortened position.


The maximum tension that can be developed by adult muscles immobilized in the shortened position is greatly reduced as compared with controls. This is no doubt due to the decreased activity of the immobilized muscles (Fischbach &

Robbins, 1969), which results in atrophy, the experimental muscles weighing only half as much as the controls. In muscles immobilized in the lengthened position, however, maximum tension is increased as compared with controls. This may be due to hypertrophy induced by the initial stretching of the muscle (Goldberg, 1967; Schiaffino & Hanzlikova, 1970; Mackova & Hnick, 1973).


The results for young muscle are very interesting. When the muscle is immobilized in the shortened position this places the sarcomeres at too short a length for developing maximum tension. Subsequently a reduction in sarcomere number is found, and this would seem to involve an adjustment in sarcomere length. However, it is not clear why sarcomere number after 3 weeks of immobilization is so reduced (45 %), since bone growth, which is unimpeded during this period, would be expected to provide a stimulus for further sarcomere addition. 


It seems possible that it is growth of the tendon, rather than an increase in muscle fibre length, which accommodates

for bone growth when very young muscle is immobilized. The diminution of longitudinal growth of the muscle fibres results in a decreased length, and a displacement towards the ordinate, of the length/tension curves. Similar changes

have been found (Alder, Crawford & Edwards, 1959) in young rabbit muscle immobilized in the shortened position.


In the case of young muscle immobilized in the lengthened position the results are surprising. Here the muscle would appear to be stretched both by the position of the limb and by bone growth: this would be expected to provide a stimulus for a greater postnatal increase in sarcomere number. However, the number of sarcomeres is found to be 26 % less than in controls. This has previously (Williams & Goldspink, 1973) been taken as indicating that very young muscle is incapable of adapting to immobilization in the lengthened position: but the results of the present experiments imply that the muscle is indeed capable of adjusting sarcomere length. 


This adjustment, however, does not result from an increase in sarcomere number as it does in adult muscle immobilized in the lengthened position, but rather from an increase in tendon growth, or possibly a reduction in the origin to insertion distance. Crawford (1973), looking at young rabbit anterior tibialis muscles immobilized in extension, found that sarcomere length was reduced as compared with control muscles placed in the same position. He also found that there was an even greater reduction in muscle fasciculi length (measured when both experimental and control muscles were exerting maximum tension). The implication here is that, as with mouse muscle, immobilization in the extended position results in reduced postnatal sarcomere addition, but that sarcomere length is kept at an optimum, possibly by a lengthening of the tendon.


It is interesting that, in contrast both to adult muscle and to the young rabbit muscle investigated by Crawford, there is no hypertrophy in young mouse muscle immobilized in the lengthened position. The explanation for this may be that,

because of an increased growth of the tendon, stretch in the muscle is reduced and so hypertrophy does not occur. The factors affecting the balance between muscle fibre growth and tendon growth, particularly in young muscle, need to be investigated further.


In both young and adult muscle immobilized in the shortened position the passive tension curves are very steep. This has also been found in adult cat muscle (Tabary et al. 1972) and may result mainly from the fact that the muscle fibres are

shorter; on the other hand it has been suggested that alterations in the amount of connective tissue may give rise to this reduced extensibility (Tabary et al. 1972). Experiments are at present under way to investigate quantitatively the  connective tissue component of immobilized muscle.


SUMMARY

Experiments have been carried out to test the hypothesis that in immobilized muscle, changes in sarcomere number result in an adjustment of sarcomere length to one which gives optimum overlap of myosin and actin filaments and hence enables the muscle to develop maximum tension in the immobilized position


In the case of adult muscle held in the shortened position the sarcomeres are initially very short and little tension is developed. After a period of immobilization sarcomeres are lost, the remaining sarcomeres are pulled out, and maximum tension is developed in the position of immobilization. 


Conversely, when adult muscle is held in the lengthened position the sarcomeres are initially too long for maximum

tension to be developed. There is subsequently an addition of sarcomeres, and a reduction of sarcomere length: maximum tension is again found to be developed in approximately the immobilized position.


When young muscle is immobilized in the shortened position it would be expected that the reduction in sarcomere number due to the limb position would be partly offset by an increase in sarcomeres due to the stretching of the muscle which must accompany limb growth. Yet sarcomere number is found to be greatly reduced as compared with controls. This does not result, however, in over-stretching of the fewer sarcomeres: as in adult muscle, maximum tension is found to be developed in the immobilized position. 


It would seem possible that lengthening of the tendon results in optimum sarcomere length being attained. Immobilization of young muscle in the lengthened position also results in a reduction in postnatal sarcomere addition, but instead of the fewer sarcomeres thus being over-stretched both by the limb position and by bone growth, a sarcomere length is attained which gives maximum tension in the immobilized position. Again the adjustment in sarcomere length may result from a lengthening of the tendon. This work was supported by a grant from the National Fund for Research into Crippling Diseases.



다음검색
현재 게시글 추가 기능 열기

댓글

댓글 리스트
맨위로

카페 검색

카페 검색어 입력폼