beyond reason
1. Terpenes and terpenoids
Natural products are the compounds which isolate from different natural sources such as plants, animals, microbes, insects, plant pathogens, and endophytes and marine. These are known as secondary metabolites since they are formed due to the enzymatic resections of primary metabolites (amino acids, sugars, vitamins, etc.). Terpenes belong to the biggest class of secondary metabolites and basically consist of five carbon isoprene units which are assembled to each other (many isoprene units) by thousands of ways. Terpenes are simple hydrocarbons, while terpenoids are modified class of terpenes with different functional groups and oxidized methyl group moved or removed at various positions. Terpenoids are divided into monoterpenes, sesquiterpenes, diterpenes, sesterpenes, and triterpenes depending on its carbon units (Figure 1). Most of the terpenoids with the variation in their structures are biologically active and are used worldwide for the treatment of many diseases. Many terpenoids inhibited different human cancer cells and are used as anticancer drugs such as Taxol and its derivatives. Many flavorings and nice fragrances are consisting on terpenes because of its nice aroma. Terpenes and its derivatives are used as antimalarial drugs such as artemisinin and related compounds. Meanwhile, terpenoids play a diverse role in the field of foods, drugs, cosmetics, hormones, vitamins, and so on. This chapter provides introduction and information on the bioactive terpenes isolated currently from different natural sources.

Figure 1.
Classification of terpenes.
2. Monoterpenes
Monoterpenes consist of 10 carbon atoms with two isoprene units and molecular formula C10H16. These are naturally present in the essential and fixed oils of plants and related sources. Monoterpenes are structurally divided into the acyclic, monocyclic, and bicyclic type of compound. The compounds belong to this class usually have strong aroma and odor and are used in many pharmaceutical companies. Mixture of different monoterpene-based oils is used as fragrances for making perfumes and in other cosmetics. Most of the monoterpenes are active biologically with strong antibacterial activities. Several studies have shown in vitro and in vivo antitumor activity of many essential oils obtained from plants. The antitumor activity of essential oils of many species has been related to the presence of monoterpenes in their composition [1]. Herein, we are discussing some of the recently published active monoterpenes (Table 1, Figure 2).
| Names | Plant source | Activity | Ref. |
|---|---|---|---|
| 9-OH-isoegomaketone [(2E)-1-(3-furanyl)-4-OH-4-Me-2-penten-1-one | Leaves of Perilla frutescens var. crispa | It exhibited inhibitory activity on nitric oxide (NO) production in lipopolysaccharide (LPS)-activated RAW264.7 cells with an IC50 value of 14.4 μM. Compounds in the SC-CO2 extracts of the radiation mutant cultivar and the original plant were quantified by high-performance liquid chromatography with diode array detection. | [2] |
Table 1.
Source and biological activities of some monoterpenes.

Figure 2.
Structure of monoterpene.
3. Sesquiterpenes
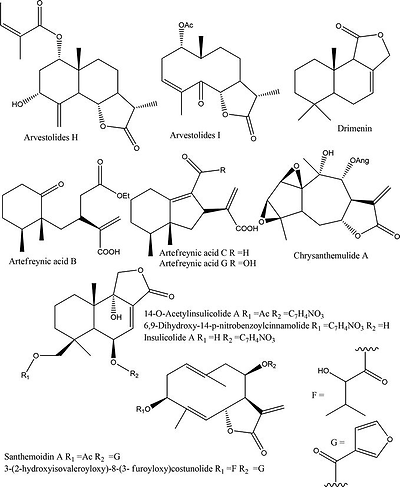
Sesquiterpenes are the class of secondary metabolites consisting of three isoprene units (C15H24) and found in linear, cyclic, bicyclic, and tricyclic forms. Sesquiterpenes are also found in the form of lactone ring (Table 2). Many of the latex in latex-producing plants contain sesquiterpene, and these are potent antimicrobial and anti-insecticidal agent. Artemisinin, a sesquiterpene lactone, one of the most active compounds in Artemisia annuashoots and roots (Figure 3).
| Names | Plant source | Activity | Ref. |
|---|---|---|---|
| Arvestolides H and I | Artemisia vestita | H and I showed inhibitory effects on nitric oxide production in BV-2 cells induced by lipopolysaccharide with IC50 values of 43.2 and 39.9 μM, respectively. | [3] |
| Drimenin | Canelo tree Drimys winteri | Potency for drimenin at the hα4β2 AChR (0.97 μM) is several folds higher than that for other clinically used antidepressants using the same method. It could be used as a molecular scaffold for the development of more potent inhibitors with higher selectivity for the hα4β2 AChR. | [4] |
| Artefreynic acid B, C, and G | Artemisia freyniana | B, C, and G exhibited inhibitory effects against LPS-stimulated nitric oxide (NO) production in RAW 264.7 macrophage cells with IC50values of 10.8, 12.6, and 11.7 μM, respectively. | [5] |
| Chrysanthemulide A | Chrysanthemum indicum | Mechanistic study revealed that the potential anti-inflammatory activity of A appears to be mediated via suppression of an LPS-induced NF-κB pathway and downregulation of MAPK activation. | [6] |
| 14-O-Acetylinsulicolide A, 6β,9α-dihydroxy-14-p-nitrobenzoylcinnamolide, insulicolide A | Marine-derived Aspergillus ochraceusfungus | These compounds were evaluated for their cytotoxicities against three renal carcinoma cell lines, ACHN, OS-RC-2, and 786-O cells, and it displayed activities with IC50 values of 0.89–8.2 μM. Further studies indicated that it arrested the cell cycle at the G0/G1 phase at a concentration of 1 μM and induced late apoptosis at a concentration of 2 μM after a 72 h treatment of 786-O cells. | [7] |
| Santhemoidin A | Tarchonanthus camphoratusand Schkuhria pinnata | A was the most active compound found in this study, with IC50 values of 0.10 μM against Trypanosoma brucei rhodesiense trypomastigotes and selectivity indices of 20.5, respectively. | [8] |
Table 2.
Source and biological activities of some sesquiterpenes.

Figure 3.
Structures of sesquiterpenes.
4. Diterpenes
Diterpenoids belong to a versatile class of chemical constituents found in different natural sources having C20H32 molecular formula and four isoprene units (Figure 4). This class of compounds showed significant biological activities including anti-inflammatory, antimicrobial, anticancer, and antifungal activities. Some of the diterpenes also have cardiovascular activity, such as grayanotoxin, forskolin, eleganolone, marrubenol, and 14-deoxyandrographolide. Kaurane and pimarane-type diterpenes are also biologically active metabolites isolated from the roots and leaves of different plants (Table 3).

Figure 4.
Structure of diterpenes.
| Names | Plant source | Activity | Ref. |
|---|---|---|---|
| Genkwanine P and laurifolioside A | Buds of Wikstroemia chamaedaphne | Compounds exhibited potential antihepatitis B virus activities with IC50 46.5 and 88.3 mg/mL against HBsAg. | [9] |
| Cephinoids H | Cephalotaxus fortunei var. alpina and C. lanceolata | H demonstrated an inhibition of 49.0% by administration to zebra fish at a dose of 60.0 ng/mL, compared to cisplatin (DDP, 22.4%) at 15.0 μg/mL. It might affect the NF-κB signaling pathway rather than binding to microtubules. Additionally, it showed almost equal anti-inflammatory activities compared to the positive control, MG132. | [10] |
| Nudiflopene F and I | Leaves of Callicarpa nudiflora | F and I have strong interactions with the iNOS protein by targeting residues of the active cavities of iNOS n BV-2 cells (IC50 28.1 and 23.3). | [11] |
| Drechmerin B | Endophytic fungus Drechmeria sp. | B displayed antimicrobial activity against C. albicans with an MIC value of 12.5 μg/mL. | [12] |
| Nicaeenin F | Latex of Euphorbia nicaeensis | F showed significant potential to inhibit P-glycoprotein (P-gp) activity in two MDR cancer cells (NCI-H460/R and DLD1-TxR). | [13] |
| Nicaeenin G | Latex of E. nicaeensis | G showed significant potential to inhibit P-glycoprotein (P-gp) activity in two MDR cancer cells (NCI-H460/R and DLD1-TxR). G also significantly stronger chemosensitized NCI-H460/R cells to DOX compared to Dexverapamil due to prolonged effect of P-gp inhibition that persisted for 72 h. | [13] |
| Eupheliotriol F and L | Euphorbia helioscopia | F and L exhibited significant cytotoxicity against MCF-7 and PANC-1 cell lines. | [14] |
Table 3.
Source and biological activities of some diterpenes.
5. Sesterpenes
Sesterpenes consist of 25 carbon atoms with 5 isoprene units and molecular formula C25H40 (Figure 5). These are naturally present in the fungus, marine organism, insects, sponges, lichens, and protective waxes of insects. These types of compounds are biologically active having anti-inflammatory, anticancer, antimicrobial, and antifungal activities (Table 4).

Figure 5.
Structures of sesterpenes.
| Names | Plant source | Activity | Ref. |
|---|---|---|---|
| Cybastacines A and B | Nostoc sp. Cyanobacterium | A and B showed moderate in vitro antibiotic activities. Sesterterpenes are rare among microbial secondary metabolites, with only one report of a previous alkaloid—sesterterpene found in cyanobacteria. This discovery represents a significant addition to the novel chemical structures active against resistant bacterial strains. | [15] |
| Scalarane sesterterpenes | Mushroom species, Pleurotus ostreatus and Scleroderma areolatum | This compound exhibited moderate micromolar activity against P. falciparum3D7 and T. cruzi Tulahuen C4 parasites. It showed <50% inhibition at 25 μM, when incubated with the tumoral liver cell line, HepG2 (HB-8065) for 72 h. | [16] |
Table 4.
Source and biological activities of some sesterpenes.
6. Triterpenes
A major class of secondary metabolites are known as triterpenes and it usually contains 30 carbon atoms consisting of 6 isoprene units (Figure 6). It is derived from the squalene biosynthetic pathway. Triterpenes have many methyl groups and it can be oxidized into alcohols, aldehydes, and carboxylic acids, which make it complex and differentiate it biologically. Triterpenes have many active sites for the glycosylation which converts it into another big class of compounds, namely, saponins (triterpene glycoside). Herein, we are discussing some recently published bioactive triterpenes (Table 5).

Figure 6.
Structure of triterpenes.
| Names | Plant source | Activity | Ref. |
|---|---|---|---|
| Polyporenic acid B | Fruiting bodies of Fomitopsis palustris | It showed strong cytotoxicity against the HCT116, A549, and HepG2 cell lines with IC50 values of 8.4, 12.1, and 12.2 μM, respectively. | [17] |
| Pardinol B | Tricholoma pardinum | Compound showed strong cytotoxicity against HL-60 SMMC-7721 A-549 MCF-7 SW480, 8.3, 15.0, 14.4, 12.7, 15.0 μM, respectively. | [18] |
| Pardinol E | T. pardinum | E exhibited strong cytotoxicity against HL-60 SMMC-7721 A-549 MCF-7 SW480, 9.8, 11.7, 9.8 11.9, 15.6, μM, respectively | [18] |
| Pardinol F | T. pardinum | F showed strong cytotoxicity against HL-60 SMMC-7721 A-549 MCF-7 SW480, 11.2, 15.6, 12.6, 10.5, 14.1 μM, respectively. | [18] |
| Xuedanencins G and H | Tubers of Hemsleya penxianensis | G and H were evaluated for cytotoxic activity against the Hela human cancer cell line and compounds showed significant cytotoxicity with IC50 value at 1.82 and 2.45 μM, respectively. | [19] |
| Cyclocariols A, B, and H | Leaves of Cyclocarya paliurus | A, B, and H were tested against human colon tumor (HCT-116) cell lines, exhibited good activities with IC50 values of 6.53, 4.94, and 6.48 μM, respectively. | [20] |
Table 5.
Source and biological activities of some triterpenes.
7. Meroterpenes
Meroterpenes are the secondary metabolites with partial terpenoid skeleton. Meroterpenoids were partially derived from mevalonic acid pathways and widely derived from animals, plants, bacteria, and fungi [21] (Figure 7). Meroterpene biosynthesis expands the diversity available to isoprenoid pathways alone and allows for the assembly of natural products with highly unique structural attributes. Organisms belonging to the fungal kingdom have become proficient at exploiting this broad chemical synthesis platform for complex metabolite production. Herein, we are discussing some of the recently published bioactive meroterpenes (Table 6).

Figure 7.
Structures of meroterpenes.
| Names | Plant source | Activity | Ref. |
|---|---|---|---|
| Amestolkolide B | Mangrove endophytic fungus Talaromyces amestolkiaeYX1 | B showed strong anti-inflammatory activity in vitro by inhibiting nitric oxide (NO) production in lipopolysaccharide activated in RAW264.7 cells with IC50 value of 1.6 ± 0.1 mM. | [22] |
| 6-OH-3-Me-8-phenylethylbenzo[b]oxepin-5-one | Liverwort Radula sumatrana | This compound showed activity against the human cancer cell lines MCF-7, PC-3, and SMMC-7721, with IC50 values of 3.86, 6.60, and 3.58 μM, respectively, and induced MCF-7 cell death through a mitochondria-mediated apoptosis pathway. | [23] |
| Spiroapplanatumines G | Ganoderma applanatum | Biological evaluation of compound 7 inhibited JAK3 kinase with IC50 values of 7.0 μM | [24] |
Table 6.
Source and biological activities of some meroterpenes.