Vitamin C (ascorbate) is maintained at high levels in most immune cells and can affect many aspects of the immune response. Intracellular levels generally respond to variations in plasma ascorbate availability, and a combination of inadequate intake and increased turnover during severe stress can result in low plasma ascorbate status. Intracellular ascorbate supports essential functions and, in particular, acts as an enzyme cofactor for Fe- or Cu-containing oxygenases. Newly discovered enzymes in this family regulate cell metabolism and epigenetics, and dysregulation of their activity can affect cell phenotype, growth and survival pathways, and stem cell phenotype. This brief overview details some of the recent advances in our understanding of how ascorbate availability can affect the hydroxylases controlling the hypoxic response and the DNA and histone demethylases. These processes play important roles in the regulation of the immune system, altering cell survival pathways, metabolism and functions.
beyond reason
세상을 만든 분자 '산소'
9. 패러독스의 초상 : 항산화제의 여러측면과 비타민 C
매일 채소와 과일을 한번에 80g씩 5번을 먹으면 심장마비, 뇌졸중, 암으로 사망할 확률이 줄어듬.
2001년 3월 영국 켐브리지 대학의 케이티 콰우 '란셋'에 비타민 C가 수명을 연장한다는 논문을 발표함.
Relation Between Plasma Ascorbic Acid and Mortality in Men and Women in EPIC-Norfolk Prospective Study: A Prospective Population Study. European Prospective Investigation Into Cancer and Nutrition
- PMID: 11247548
- DOI: 10.1016/s0140-6736(00)04128-3
Abstract
Background: Ascorbic acid (vitamin C) might be protective for several chronic diseases. However, findings from prospective studies that relate ascorbic acid to cardiovascular disease or cancer are not consistent. We aimed to assess the relation between plasma ascorbic acid and subsequent mortality due to all causes, cardiovascular disease, ischaemic heart disease, and cancer.
Methods: We prospectively examined for 4 years the relation between plasma ascorbic acid concentrations and mortality due to all causes, and to cardiovascular disease, ischaemic heart disease, and cancer in 19 496 men and women aged 45-79 years. We recruited individuals by post using age-sex registers of general practices. Participants completed a health and lifestyle questionnaire and were examined at a clinic visit. They were followed-up for causes of death for about 4 years. Individuals were divided into sex-specific quintiles of plasma ascorbic acid. We used the Cox proportional hazard model to determine the effect of ascorbic acid and other risk factors on mortality.
Findings: Plasma ascorbic acid concentration was inversely related to mortality from all-causes, and from cardiovascular disease, and ischaemic heart disease in men and women. Risk of mortality in the top ascorbic acid quintile was about half the risk in the lowest quintile (p<0.0001). The relation with mortality was continuous through the whole distribution of ascorbic acid concentrations. 20 micromol/L rise in plasma ascorbic acid concentration, equivalent to about 50 g per day increase in fruit and vegetable intake, was associated with about a 20% reduction in risk of all-cause mortality (p<0.0001), independent of age, systolic blood pressure, blood cholesterol, cigarette smoking habit, diabetes, and supplement use. Ascorbic acid was inversely related to cancer mortality in men but not women.
Interpretation: Small increases in fruit and vegetable intake of about one serving daily has encouraging prospects for possible prevention of disease.
모순된 성질을 가진 물질이라면 여럿 있지만 그중에서도 비타민 C가 단연 최고임. 정말로 두얼굴의 야누스, 지킬박사와 하이드씨와 같음.
항산화제의 패러독스
위대한 화학자, 평화운동가 '라이너스 폴링'
분자교정의학 orthomolecular medicine 연구소.
비타민 C와 감기
비타민 C가 식생활에 꼭 필요한 비타민으로 자리잡고 있는 이유는 흥미로움. 고등영장류와 기니피드, 과일박쥐를 제외하고 거의 모든 식물과 동물은 몸속에서 스스로 비타민 C를 만듬. 반면 인간은 음식으로 비타민 C를 섭취해야 함. 고등 영장류의 공통조상이 예전에 굴로노락톤 산화효소(gulonolactone oxidase)라는 효소를 만드는 유전자를 잃어버렸기 때문임. 바로 비타민 C를 합성하는 마지막 단계에 촉매로 작용하는 효소임. 그 결과 인류전체는 선천적 대사장애를 겪고 있는 셈임.
Molecular Basis for the Deficiency in Humans of Gulonolactone Oxidase, a Key Enzyme for Ascorbic Acid Biosynthesis
- PMID: 1962571
- DOI: 10.1093/ajcn/54.6.1203s
Abstract
The inability of humans to synthesize L-ascorbic acid is known to be due to a lack of L-gulono-gamma-lactone oxidase, an enzyme that is required for the biosynthesis of this vitamin. Isolation of a cDNA for rat L-gulono-gamma-lactone oxidase allowed us to study the basic defect underlying this deficiency at the gene level and led to isolation of a human genomic clone related to L-gulono-gamma-lactone oxidase as well as three overlapping clones covering the entire coding region of the rat L-gulono-gamma-lactone oxidase cDNA. Sequence analysis study indicated that the human L-gulono-gamma-lactone oxidase gene has accumulated a large number of mutations since it stopped being active and that it now exists as a pseudogene in the human genome.
폴링은 강연할때마다 염소가 만든 비타민 C의 하루 분량이 담긴 시험관을 들고 이렇게 말함
'나는 의사의 충고보다 염소의 생화학작용을 믿겠습니다'
설득력있는 주장같지만 여기에 결함이 있음. 굴론락톤 산화효소를 만드는 유전자를 잃었다고 해도 인간의 영장류 조상에게는 불리할 것이 없었음. 만약 조금이라도 불리했다면 자연선택으로 멸종되었을 것임. .. 할리웰과 거터리지의 권위있는 저서 '생물학과 의학의 자유라디칼'을 보면 '굴로노락톤 산화효소가 비타민 c합성의 부산물로 과산화수소를 만든다는 것임.
괴혈병
비타민 c 이야기
1933년 네이처에 항괴혈성 antiscorbutic에서 따온 아스코브산(ascorbic acid)라는 이름이 됨.
임상적으로 괴혈병을 예방하기 위한 비타민 c의 양은 하루 10mg임.
섭취량을 하루 60mg으로 늘리면 우리 몸은 소변으로 비타민 c를 배출하기 시작함.
비타민c의 효과
1) 콜라겐 합성
항산화 효과를 제쳐두고서라도 비타민 c는 우리 몸의 정상적인 생리작용을 유지하기 위해 다양한 생화학 반응에 필요함. 콜라겐을 합성할때 보조인자로 비타민 c가 필요하다는 것은 가장 유명함.
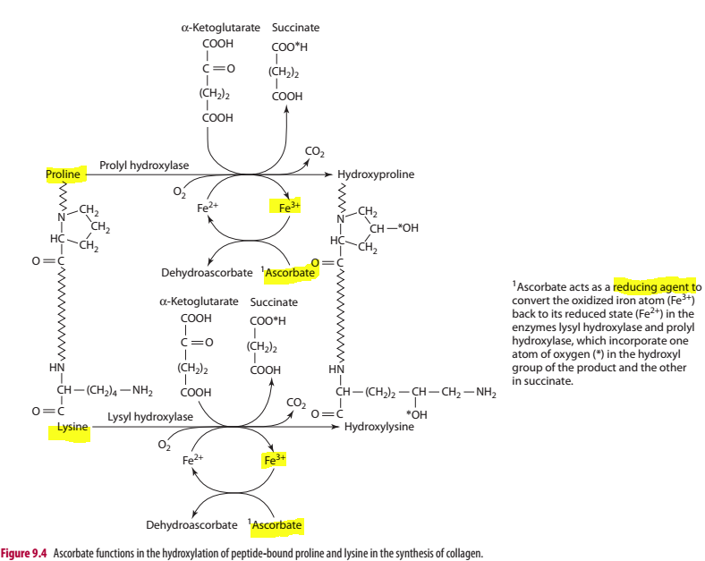
산소는 비타민c와 함께 마지막 단계의 단백질이 붙어 아미노산을 일부 바꿈. 그러면 아미노산은 수산화(hydroxylation)함. 수산화기(-OH)가 하나 더 생긴다는 뜻임. 이렇게 수산화하면 각 콜라겐 사슬끼리 교차결합이 일어나 우선 콜라겐 분자들이 삼중사슬을 만들고 그 다음에 콜라겐 원섬유를 만듬. 이러한 삼중 결합덕분에 콜라겐은 엄청난 장력을 가짐. 산소와 비타민c가 없으면 콜라겐 교차결합이 생기지 않고 결합조직은 약해짐. 뿐만 아니라 수산화하지 않은 콜라겐은 세포외로 나가지 못하므로 조직에서 사용하지 못함.
콜라겐이 수산화하는 기전에서 비타민c의 비밀이 드러남. 바로 전자공여체인 것. 수산화기의 산소 원자는 산소분자에서 온 것임. 이 산소를 붙이려면 산소분자를 이루는 원자 두개에 각각 전자가 하나 씩 붙어야 함. 원래 전자는 둘씩 쌍을 이루려는 경향이 잇기 때문에 대부분의 화합물은 전자를 한개만 내놓으면 불안정한 상태가 되어 반응성이 높아짐. . 생체반응에서 비타민 c는 항상 전자를 내줌. 특히 철이나 구리에게 전자를 잘 내줌. 콜라겐 합성과정에서 바로 이런 일이 일어남.
수산화반응을 수행하는 효소의 중심에는 철이 박혀 있는데 비타민 c는 이 철에 전자 하나를 내줌. 그러면 철은 자기가 받은 전자를 산소에 밀어넣고 산소는 콜라겐에 잇는 아미노산에 붙을 수 잇게 됨. 이 과정에서 철은 산화되어 생체반응에 참가할 수 없는 형태(Fe3+)가 되엇다가 비타민 c한테서 전자 하나를 돌려받음. 따라서 이 경우에 비타민c는 산화된 형태의 철에 전자하나를 내주어 생체반응에 참가할 수 잇는 형태로 재생시키는 역할을 함. 수산화효소는 일종의 회전목마 역할을 하면서 철을 이용해 산소를 아미노산에 붙임. 이때 비타민c는 철에 전자를 제공해 회전목마를 게속 돌아가게 하는 힘이 됨.
2) amidated opioid peptide를 만드는 보조효소는 비타민 c
고농도 비타민 C주사요법은 CRPS, 포진후 동통, 암성통증 등의 통증을 치유함
기전 : we propose a novel analgesic mechanism for vitamin C; as a cofactor for the biosynthesis of amidated opioid peptides. It is well established that vitamin C participates in the amidation of peptides, through acting as a cofactor for peptidyl-glycine α-amidating monooxygenase, the only enzyme known to amidate the carboxy terminal residue of neuropeptides and peptide hormones.
- Review Published:
The role of vitamin C in the treatment of pain: new insights
Ascorbic Acid and Carnitine Biosynthesis
It has been suggested that early features of scurvy (fatigue and weakness) may be attributed to carnitine deficiency. Ascorbate is a cofactor for two alpha-ketoglutarate-requiring dioxygenase reactions (epsilon-N-trimethyllysine hydroxylase and gamma-butyrobetaine hydroxylase) in the pathway of carnitine biosynthesis. Carnitine concentrations are variably low in some tissues of scorbutic guinea pigs. Ascorbic acid deficiency in guinea pigs resulted in decreased activity of hepatic gamma-butyrobetaine hydroxylase and renal but not hepatic epsilon-N-trimethyllsine hydroxylase when exogenous substrates were provided. It remains unclear whether vitamin C deficiency has a significant impact on the overall rate of carnitine synthesis from endogenous substrates. Nevertheless, results of studies of enzyme preparations and perfused liver in vitro and of scorbutic guinea pigs in vivo provide compelling evidence for participation of ascorbic acid in carnitine biosynthesis.
4) 노르아드레날린을 만드는데 비타민 c가 필수
비타민 c는 신경게와 내분비게에서도 다양한 역할을 함. PAM(peptidyl alpha-amidating mono-oxygenase)이라는 효소가 정확하게 작용하는데에도 비타민 c가 필수. 이 효소는 몸 여러군데 잇는데 특히 뇌하수체에 많음.
Peptidyl-glycine alpha-amidating monooxygenase is an enzyme that catalyzes the biosynthesis of many signaling peptides and, in humans, is encoded by the PAM gene.[5][6] This transformation is achieved by conversion of a prohormone to the corresponding amide (C(O)NH2). This enzyme is the only known pathway for generating peptide amides, which renders the peptide more hydrophilic.
PAM은 완성된 여러 펩티드 호르몬과 신경전달물질의 끝을 잘라내 활성화함. PAM으로 활성화하지 않으면 이 호르몬들은 작용을 하지 못함. PAM으로 활성화하는 펩티드 호르몬 몇가지만 보더라도 비타민 c가 단순히 물에 녹는 항산화제이면서 콜라겐 합성의 보조인자라는 인식은 깨질 것임.
즉 스테로이드 호르몬을 만들도록 자극하는 부신피질자극 호르몬분비촉진호르몬(CRH)가 잇음. 또 성장호르몬분비촉진호르몬은 성장호르몬을 촉진하고 에너지 대사작용에 영향을 줌. 칼시토닌, 가스트린, 옥시토닌, 바소프레신, 물질 P 이러한 호르몬 합성에 중요한 보조역할을 하는 것이 비타민 C임.
Severe systemic inflammatory response to infection results in severe sepsis and septic shock, which are the leading causes of death in critically ill patients. Septic shock is characterised by refractory hypotension and is typically managed by fluid resuscitation and administration of catecholamine vasopressors such as norepinephrine. Vasopressin can also be administered to raise mean arterial pressure or decrease the norepinephrine dose. Endogenous norepinephrine and vasopressin are synthesised by the copper-containing enzymes dopamine β-hydroxylase and peptidylglycine α-amidating monooxygenase, respectively. Both of these enzymes require ascorbate as a cofactor for optimal activity. Patients with severe sepsis present with hypovitaminosis C, and pre-clinical and clinical studies have indicated that administration of high-dose ascorbate decreases the levels of pro-inflammatory biomarkers, attenuates organ dysfunction and improves haemodynamic parameters. It is conceivable that administration of ascorbate to septic patients with hypovitaminosis C could improve endogenous vasopressor synthesis and thus ameliorate the requirement for exogenously administered vasopressors. Ascorbate-dependent vasopressor synthesis represents a currently underexplored biochemical mechanism by which ascorbate could act as an adjuvant therapy for severe sepsis and septic shock.
Mechanisms of Ascorbic Acid Stimulation of Norepinephrine Synthesis in Neuronal Cells
Abstract
Ascorbic acid is well known to acutely stimulate norepinephrine synthesis in neurosecretory cells, but it has also been shown over several days to increase tyrosine hydroxylase mRNA and norepinephrine synthesis in cultured neurons. Since tyrosine hydroxylase is the rate-limiting step in catecholamine synthesis, an effect of ascorbate to increase tyrosine hydroxylase protein could contribute to its ability to increase or sustain catecholamine synthesis. Therefore, we evaluated whether tyrosine hydroxylase protein expression and function is increased in SH-SY5Y neuroblastoma cells by physiologically relevant intracellular ascorbate concentrations. SH-SY5Y neuroblastoma cells did not contain ascorbate and had only very low levels of norepinephrine in culture with L-tyrosine, the substrate for tyrosine hydroxylase. However, treatment of cells with ascorbate for 6 hours or more markedly increased norepinephrine synthesis, such that intracellular ascorbate and norepinephrine increased in parallel with half maximal intracellular concentrations of about 1 mM ascorbate and 150 µM norepinephrine. This increase was enhanced by supplementing tetrahydrobiopterin, but was not mimicked by several antioxidants or by catalase or superoxide dismutase. Tyrosine hydroxylase protein expression increased at intracellular ascorbate concentrations above 1.5 mM. This contributed to norepinephrine generation, which was decreased 50–60% by inhibition of protein synthesis with cycloheximide at high intracellular ascorbate. These results suggest that expected physiologic neuronal ascorbate concentrations enhance norepinephrine synthesis both by maintaining tetrahydrobiopterin and increasing tyrosine hydroxylase expression.
5) 호중구 면역기능 증가
우리 몸이 세균에 감염되면 호중구는 막에 있는 소규모 단백질 펌프를 이용해 주위에서 비타민 c를 빨아들임. 호중구 안에 비타민 c는 몇분내에 열배이상 늘어나 면역기능을 향상시킴.
그런데 호중구는 자유라디칼과 그밖의 강력한 산화제를 마구 만들어냄. 이 자유라디칼과 산화제가 세균을 죽이는 것임. 비타민 c는 호중구가 스스로 만들어낸 화학물질이 우글거리는 환경에서 금방 죽지 않도록 지켜줌. 반면에 세균은 쉽게 죽음.
The Role of Physiological Vitamin C Concentrations on Key Functions of Neutrophils Isolated from Healthy Individuals
Abstract
Vitamin C (ascorbate) is important for neutrophil function and immune health. Studies showing improved immune function have primarily used cells from scorbutic animals or from individuals with infectious conditions or immune cell disorders. Few studies have focused on the requirements of neutrophils from healthy adults. Therefore, we have investigated the role of vitamin C, at concentrations equivalent to those obtained in plasma from oral intakes (i.e., 50–200 µmol/L), on key functions of neutrophils isolated from healthy individuals. Cells were either pre-loaded with dehydroascorbic acid, which is rapidly reduced intracellularly to ascorbate, or the cells were activated in the presence of extracellular ascorbate. We measured the effects of enhanced ascorbate uptake on the essential functions of chemotaxis, oxidant production, programmed cell death and neutrophil extracellular trap (NET) formation. We found that neutrophils isolated from healthy individuals already had replete ascorbate status (0.35 nmol/106 cells), therefore they did not uptake additional ascorbate. However, they readily took up dehydroascorbic acid, thus significantly increasing their intracellular ascorbate concentrations, although this was found to have no additional effect on superoxide production or chemotaxis. Interestingly, extracellular ascorbate appeared to enhance directional mobilityin the presence of the chemoattractant formyl-methionyl-leucyl-phenylalanine (fMLP). Stimulation of the cells in the presence of ascorbate significantly increased intracellular ascorbate concentrations and, although this exhibited a non-significant increase in phosphatidylserine exposure, NET formation was significantly attenuated. Our findings demonstrate the ability of neutrophils to regulate their uptake of ascorbate from the plasma of healthy humans to maintain an optimal level within the cell for proper functioning. Higher oral intakes, however, may help reduce tissue damage and inflammatory pathologies associated with NET formation.
7) 빈혈
비타민 c가 위와 장에서 음식에 들어있는 무기질 철에 작용함. 대개 음식에 들어있는 철은 물에 녹지 않는 형태(Fe3+)이지만 비타민 c가 물에 녹는 형태(Fe2+)로 바꿔주면 장에서 흡수할 수 있음. 비타민 c를 충분히 섭취하지 않으면 철을 제대로 흡수해 적혈구의 헤모글로빈에 저장하는데도 차질이 생기면서 빈혈이 발생함.
메이요 클리닉
Vitamin C deficiency anemia
Vitamin C deficiency can develop if you don't get enough vitamin C from the foods you eat. Vitamin C deficiency is also possible if something impairs your ability to absorb vitamin C from food. For instance, smoking impairs your body's ability to absorb vitamin C.
Certain chronic illnesses, such as cancer or chronic kidney disease, also increase your risk of vitamin C deficiency anemia by affecting the absorption of vitamin C.
Risk factors
A number of factors can affect your body's vitamin stores. In general, your risk of vitamin deficiency is increased if:
Your diet contains little to no natural vitamin food sources, such as meat, dairy, fruits and vegetables. Vegetarians who don't eat dairy products and vegans, who don't eat any foods from animals, may fall into this category.
Consistently overcooking your food also can cause vitamin deficiency.
- You're pregnant, and you aren't taking a multivitamin. Folic acid supplements are especially important during pregnancy.
- You have intestinal problems or other medical conditions that interfere with absorption of vitamins. Abnormal bacterial growth in your stomach or surgery to your intestines or stomach can interfere with the absorption of vitamin B-12.
- You abuse alcohol. Alcohol interferes with the absorption of folate and vitamin C, as well as other vitamins.
- You take certain prescription medications that can block absorption of vitamins. Anti-seizure drugs can block the absorption of folate. Antacids and some drugs used to treat type 2 diabetes may interfere with B-12 absorption.
이렇게 다양한 작용을 보면 비타민c가 마법을 부리는 것 같음. 하지만 비타민 c는 매번 분자수준에서 똑같이 작용함. 그 작용을 동전을 뒤집는 것처럼 반복적이지만 결과는 정반대가 될 수도 있음.
.. 철(구리)과 비타민 c, 산소 이 삼총사는 사실상 비타민 c가 관여하는 모든 생리작용의 중심이라 할 수 있음. 적어도 여덟개의 효소가 비타민 c를 보조인자로 이용하는데 전부 철이나 구리가 효소 중심부에 들어있음.
Ascorbate is a cofactor in numerous metabolic reactions. Humans cannot synthesize ascorbate owing to inactivation of the gene encoding the enzyme L-gulono-γ-lactone oxidase, which is essential for ascorbate synthesis. Accumulating evidence strongly suggests that in addition to the known ability of dietary ascorbate to enhance nonheme iron absorption in the gut, ascorbate within mammalian systems can regulate cellular iron uptake and metabolism. Ascorbate modulates iron metabolism by stimulating ferritin synthesis, inhibiting lysosomal ferritin degradation, and decreasing cellular iron efflux.
Furthermore,
ascorbate cycling across the plasma membrane is responsible for ascorbate-stimulated iron uptake from
low-molecular-weight iron–citrate complexes, which are prominent in the plasma of individuals with iron-
overload disorders. Importantly, this iron-uptake pathway is of particular relevance to astrocyte brain iron
metabolism and tissue iron loading in disorders such as hereditary hemochromatosis and β-thalassemia.
Recent evidence also indicates that ascorbate is a novel modulator of the classical transferrin–iron uptake
pathway, which provides almost all iron for cellular demands and erythropoiesis under physiological
conditions. Ascorbate acts to stimulate transferrin-dependent iron uptake by an intracellular reductive
mechanism, strongly suggesting that it may act to stimulate iron mobilization from the endosome. The
ability of ascorbate to regulate transferrin iron uptake could help explain the metabolic defect that
contributes to ascorbate-deficiency-induced anemia.
8개 효소 : 프롤린 수산화효소, 라이신 수산화효소, 프로콜라겐-프롤린2-옥소글루타메이트 3- 이산소화효소, 도파민-베타-단일 산소화효소, L-카르니틴 합성에 관여하는 트리메틸라이이신 수산화효소, 감마-부티로베타인 이산소화효소, 스테로이드 합성에 관여하는 7알파-일산소화효소, 산화질소 합성에 관여하는 내피세포 산화질소 합성효소
이런 효소는 모두 철이나 구리를 이용해 산소원자를 아미노산에 붙임. 그리고 비타민 c를 이용해 철이나 구리를 활동적인 형태로 재생함. 본질적으로 똑같은 반응을 통해 비타민 c는 장에서 철분의 흡수를 촉진함. 이 경우 비타민 c는 산화된 철에 전자를 내주고 물에 녹는 형태로 바꿔서 흡수될 수 있도록 함.
어째서 비타민 c가 그렇게 넓은 범위에서 전자 공여체로 이용되는 것일까?
주된 2가지 이유
1) 비타민 c는 물에 잘 녹음. 그래서 막으로 둘러싸인 한정된 공간에 농축될 수 있음.
Functional and physiological role of vitamin C transporters.
Abstract
Vitamin C Transporters in Cancer: Current Understanding and Gaps in Knowledge
- Mackenzie Cancer Research Group, Department of Pathology, University of Otago, Christchurch, New Zealand
Sufficient uptake and whole body distribution of vitamin C (ascorbate) is essential for many biochemical processes, including some that are vital for tumor growth and spread. Uptake of ascorbate into cancer cells is modulated by availability, tumor blood flow, tissue diffusion parameters, and ascorbate transport proteins. Uptake into cells is mediated by two families of transport proteins, namely, the solute carrier gene family 23, consisting of sodium-dependent vitamin C transporters (SVCTs) 1 and 2, and the SLC2 family of glucose transporters (GLUTs). GLUTs transport the oxidized form of the vitamin, dehydroascorbate (DHA), which is present at negligible to low physiological levels. SVCT1 and 2 are capable of accumulating ascorbate against a concentration gradient from micromolar concentrations outside to millimolar levels inside of cells. Investigating the expression and regulation of SVCTs in cancer has only recently started to be included in studies focused on the role of ascorbate in tumor formation, progression, and response to therapy. This review gives an overview of the current, limited knowledge of ascorbate transport across membranes, as well as tissue distribution, gene expression, and the relevance of SVCTs in cancer. As tumor ascorbate accumulation may play a role in the anticancer activity of high dose ascorbate treatment, further research into ascorbate transport in cancer tissue is vital.
에를들면 도파민에서 노르아드레날린이 합성되는데 합성되는 장소는 부신피질 세포안에서도 막으로 둘러싸인 작은 공간인 소포체임. 이런 소포체 내부의 비타민 c농도는 혈장의 100배정도임. 효소(도파민 단일 산소화효소 dopamine mono-oxygenase)가 비타민 c 를 소비하면 전자가 막을 넘어 들어와 소포체 안에서 비타민 c를 재생함. 따라서 식생활에 따라 혈장 내의 농도가 변하더라도 생리작용에 필요한 비타민 c는 며칠 또는 몇 주일씩 그 변화에서 격리된 채 특정한 반응에 적당한 농도로 유지될 수 잇음.
2) 반응물이 매우 안정적이고 반응성이 없기 때문
비타민 c는 전자를 내주고 나면 아스코르빌 라디칼(ascobyl radical)이라는 자유라디칼이 됨. 아스코르빌 라디칼은 자유라디칼 치고 그다지 반응성이 없음. 전자의 위치이동 덕분에 구조가 안정적이기 때문인데 이것이 라이너스 폴링이 발표한 공명현상임. 그러니까 비타민 c는 전자를 내주어 자유라디칼 연쇄반응을 막는 한편 그 결과로 자기가 아스코르빌 라디칼로 변하더라도 연쇄반응을 일으키지 않음.
반응이 느리기는 하지만 아스코르빌 라디칼은 보통 전자 하나를 더 내주고 탈수소아스코르브산(dehydroascorbate)이 됨. 이 분자는 불안정하기 때문에 빨리 붙잡지 않으면 저절로 파괴됨. 이때는 재생이 되지 않아 몸에서 없어지게 됨. 이렇게 비타민 c가 몸에서 게속 빠져나가기 때문에 매일 먹어서 보충해야 함.
몇가지 효소가 탈수소아스코르브산을 붙잡아 비타민 c 로 재생함. 이 효소들은 보통 글루타치온이라는 작은 펩티드에서 전자 두개를 가져다가 탈아스코르브산에게 줌. 전자 2개가 한꺼번에 오기 때문에 비타민 c의 재생과정에서 자유라디칼 중간 생성물은 생기지 않음. 동전을 뒤집듯 반복적인 비타민 c의 작용은 이렇게 전자하나를 내놓아 이루어짐. 글루타치온한테서 전자 2개를 받으면 탈수소아스코브산에서 비타민 c로 재생됨. 이런 식의 순환으로 비타민 c의 효소 보조인자 작용 뿐 아니라 항산화 효과도 설명할 수 있음.
비타민 c는 대개 철이나 구리에게 전자를 내어주지만 전자가 딱 한개만 필요한 다른 분자들도 비타민 c한테서 전자를 얻을 수 있음. 이런 분자들 중에 자유라디칼도 포함됨. .. 자유라디칼은 반응할때 대개 상대분자한테서 전자 한개를 빼앗음. 전자를 빼앗긴 분자는 자유라디칼이 됨. 그러면 이렇게 새로 생긴 자유라디칼 근처에 있는 다른 분자한테 전자 한개를 또 빼앗음. 이런식의 연쇄반응이 멈추려면 자유라디칼 두개가 서로 만나 중화하든지 아니면 반응성이 없는 자유라디칼이 생겨야 함.
흔히 비타민 c가 자유라디칼을 멈추게 하는데 이때 생기는 자유라디칼인 아스코빌 라디칼이 반응성이 없기 때문임. 그 결과 자유라디칼의 연쇄반응이 끝남.
The antioxidant network showing the interaction among vitamin E, vitamin C and thiol redox cycles (according to [9]) © American Society for Nutrition); PUFA: polyunsaturated fatty acid, ROOH: lipid peroxide, ROH: alcohol, ROO•: peroxyl radical; RO•: alkoxyl radical, O2•−: superoxide anion radical, NAD(P)H: nicotinamide-adenine-dinucleotide-(phosphate).
지질에 녹는 비타민 E(알파토코페롤)도 똑같은 방법으로 작용하지만 용액이 아니라 지질성인 막에서 활동함. 종종 막과 세포질 사이에서 비타민 C와 협력하기도 함. 비타민 E가 자유라디칼과 반응하면 마찬가지로 반응성이 약한(공명으로 구조가 안정적인) 자유라디칼이 되는데 알파토코페롤 라디칼이라고 함. 토코페릴 라디칼은 비타민 c의 전자를 이용해 비타민 E로 돌아옴.
. 비타민 E는 세포막의 제일가는 방어군임. 비타민 E는 막을 망가뜨릴 수 있는 자유라디칼에 직접 전자를 내어주고 중화시키고는 장렬히 전사함. 전사한 사체는 알파토코페릴 라디칼임. 거의 활성이 없는 이 라디칼에 비타민 c가 다시 숨을 불어 넣으면 비타민 E는 부활함. 이 반응은 효소의 도움없이 일어나지만 반응이 일어나는 속도는 비타민 E에 대한 비타민 c의 상대적인 양에 따라 달라짐. 비타민 c가 많을 수록 비타민 e의 재생이 빨라짐.
비타민 c는 철과 산소와 함께 작용할때 전자 공여체 역할을 함. 하지만 항산화제 역할을 하는 것은 아님. 오히려 정반대임. 비타민 c는 효소 안에 들어있는 철을 활성형태로 바꾸어 놓아 산소가 붙는 작용을 도움. 바꿔말해 물질을 산화시키는 일을 도움. 따라서 비타민 c의 여러 이로운 작용은 사실 산화작용이지 항산화작용은 전혀 아님.
철이 단백질 중심에 잡혀 있을 때는 안전함. 철이 용액에 들어가 있을때는 다름. 6장 참조. 팬턴반응.. 철은 과산화수소와 반응해 무시무시한 수산화라디칼을 만들고 자기는 산화되어 활성이 없어짐. 수산화라디칼은 곧장 제일 가까이 있는 물질들과 반응해 자유라디칼 연쇄반응을 시작함. 이렇게 해로운 연쇄반응은 활성이 있는 철이 있을때만 시작될 수 있고 이 활성철이 점점 줄어들어 마침내 다 없어져야 멈추게 됨. 앞에서 과산화라디칼은 그 자체로는 반응성이 낮지만 활성철을 재생시켜 펜턴반응을 영원히 지속시키기 때문에 위험하다고 했음. 가지고 있는 전자를 철에게 내주는 것임.
그런데 비타민 c도 전자를 내주고 활성 철을 재생시킬 수 있음. 따라서 이 경우에 비타민 c도 항산화제 역할을 한다기보다는 자유라디칼로 인한 손상을 악화시킨다고 봐야 함. 이론적으로 비타민 c는 항산화제 역할도 하지만 산화 촉진제 역할도 살 수 있는 것임. 비타민 c가 산화촉진제 역할을 할 수 있다는 것은 그저 이론상의 이야기만은 아님. 실제로 항산화제 효능을 시험할때 손상을 일으키기 위해 비타민 C를 사용함. .. 비타민 c 가 몸속에서 산화촉진제로 작용한다는 증거는 거의 없음.
. 우리가 고용량 비타민 C를 섭취하더라도 혈장내 농도는 거의 올라가지 않음. 혈장내 비타민 C농도는 크게 두가지로 조절됨. 바로 흡수와 배설. 비타민 c를 많이 먹으면 장에서 흡수되는 양은 줄어들고 심하면 설사를 함.
선천적으로 몸속에 철이 많이 흡수되는 질병을 혈색소증(hemochromatosis)이라고 함.
장에서 철 흡수를 조절하는 기전이 망가져 철의 흡수량이 증가함. 치료받지 않으면 간경화, 간암, 피부색소침착, 관절염, 당뇨병, 심장발작이 일어남. 서구사람들 중 0.5%가 이병을 앓고 있을 정도로 흔한 유전자 질환임 .
이런 환자에게 비타민 c가 영향을 미치는 것은 두가지
1) 장에서 철이 흡수되는 속도를 증가시킴
2) 비타민 c는 남아도는 철을 반응에 참가할 수 있는 형태로 바꿈. 이렇게 되면 자유라디칼을 만드는 반응을 촉매할 수 있음.
관련논문이 거의 없음.
고농도 비타민 c주사요법
산소와 비타민 c가 존재한다면 종양은 산화성 스트레스에 놓이게 되어 죽음.
비타민 c를 먹어서는 혈장내 농도를 높일 수 없음.
정맥으로 주사하면 흡수과정을 거칠 필요가 없으며 신장이 혈액에서 비타민 c를 제거하는데 시간이 걸림. 따라서 짧은 시간에 혈액내 비타민 c농도는 정상적인 포화점의 50배까지 올라감.
광역학요법
새로 등장한 혁신적인 암 치료법을 통해 비타민 c가 자유라디칼의 영향을 강화해 종양을 죽이는데 도움이 된다는 사실이 밝혀짐. 이를 광역학요법(phodynamic therapy)라고 함. 이 치료법에서는 약물을 투여한 다음 빛을 이용해 활성화함. 일단 활성화한 약물은 화학에너지를 산소로 전달해 단일항 산소와 여러 라디칼을 만듬. 이것들이 종양세포를 공격함.
PHOTODYNAMIC THERAPY OF CANCER: AN UPDATE
Abstract
Photodynamic therapy (PDT) is a clinically approved, minimally invasive therapeutic procedure that can exert a selective cytotoxic activity toward malignant cells. The procedure involves administration of a photosensitizing agent followed by irradiation at a wavelength corresponding to an absorbance band of the sensitizer. In the presence of oxygen, a series of events lead to direct tumor cell death, damage to the microvasculature and induction of a local inflammatory reaction.
Clinical studies revealed that PDT can be curative particularly in early-stage tumors. It can prolong survival in inoperable cancers and significantly improve quality of life. Minimal normal tissue toxicity, negligible systemic effects, greatly reduced long-term morbidity, lack of intrinsic or acquired resistance mechanisms, and excellent cosmetic as well as organ function-sparing effects of this treatment make it a valuable therapeutic option for combination treatments. With a number of recent technological improvements, PDT has the potential to become integrated into the mainstream of cancer treatment.
Christina Wohlrab,