Re:Principles of lysosomal membrane degradation: Cellular topology and biochemistry of lysosomal lipid degradation
작성자문형철작성시간20.05.28조회수1,553 목록 댓글 0beyond reason
미토큰드리아 수명(반감기)은 14일
protein degradation의 탐구과정 중
Fig. 2. Model of endocytosis and lysosomal degradation of membranes (modified from [51]). Parts of the plasma membrane, including GSL, are endocytosed by coated pits or caveolae. The GSL derived from the plasma membrane reach the lysosome in small intra-lysosomal vesicles facing the lysosomal lumen and are degraded there. The lysosomal perimeter membrane is protected from digestion by a glycocalyx.
Fig. 3. In the late endosome ceramide is liberated from sphingomyelin (SM) by the acid sphingomyelinase (ASM) and from glucosylceramide (GlcCer) by the glucosylceramide-β-glucosidase and displaces cholesterol (indicated in red) from the internal membranes. Cholesterol is transported out of the lysosome by NPC1 and NPC2. The sterol binding site at the N-terminus of the NPC1 is indicated by a blue dot.
Fig. 4. Drug induced lipidoses. The molecular view (modified from [125]). At acidic pH values (4–5) cationic lysosomal lipid binding proteins (LLBPs) (Saps and GM2-AP) and exohydrolases bind to the negatively charged surface of BMP containing inner membranes. To overcome the lipid phase problem, LLBPs bind, extract, and present membrane-bound lipids to water-soluble exohydrolases for degradation. CADs enter the lysosome, concentrate in the organelle and interact with inner membranes.
Fig. 7. Model of GM2-AP-stimulated hydrolysis of ganglioside GM2 by human β-hexosaminidase A [105]. The glycolipid binding site is lined by two hydrophobic (V90–W94 and V153–L163) surface loops and a single short helix. The most flexible of the loops (V153–L163) controls the entrance to the hydrophobic cavity allowing both, an open and closed conformation. According to this model, the GM2-AP lifts or extracts ganglioside GM2 from the membrane und forms a complex with the β-hexosaminidase A. The next step of the process is the hydrolysis of GM2. Then the product may return to the membrane, but this has not been demonstrated. GM2-AP, GM2-activator protein; Hex A, β-hexosaminidase A.
ReviewPrinciples of lysosomal membrane degradation: Cellular topology and biochemistry of lysosomal lipid degradation
Abbreviations
Keywords
1. Lysosomal membrane digestion
Lysosomes are major degradative compartments of eukaryotic cells. In contrast to the proteasome, lysosomes degrade a wide variety of structurally diverse substances, such as proteins, glycosaminoglycans, nucleic acids, oligosaccharides, and complex lipids, into their building blocks [1]. These can leave the lysosomes either via diffusion, or with the aid of specialized transporters [2]. In the cytosol, the building blocks can be further degraded to fuel energy metabolism or can re-enter biosynthetic pathways. To provide building blocks of complex macromolecules for salvage and recycling pathways seems to be an important function of lysosomes. It has been shown, that in not very rapidly dividing cells, glycosphingolipids (GSL) are synthesized predominantly from sphingoid bases, carbohydrates and sialic acids released by lysosomes. In human foreskin fibroblasts for example, 90% of the glucosylceramide derives from recycling of sphingoid base, only 10% is synthesized de novo [3]. Under this aspect, the concept of lysosomes as waste dumps within cells would be a misleading association and should be replaced by the idea of lysosomes as stomachs of the cell, that provide macromolecule constituents and ensure lipid homeostasis.
1.1. Endocytosis and autophagy
Eukaryotic cells maintain highly regulated transport systems that convey cargo into the cell or exchange membranes and cargo between cellular organelles. Cellular and foreign cargo, but also membranes can reach the endosomal–lysosomal system via endocytosis, phagocytosis, autophagy, or direct transport. The various cellular functions associated with this process require degradation steps within the lysosomes, where proteins, complex cargo constituents, or complex membrane lipids have to be cleaved. During endocytosis, cargo enters the cell via clathrin-dependent or -independent mechanisms in a constitutive or ligand-induced manner [4]. Parts of the plasma membrane with and without receptor proteins are internalized, traffic through the endosomal compartment, and undergo different steps of sorting, before they are either recycled to the plasma membrane, or delivered to the lysosome for degradation. They reach the lysosome either as intra-lysosomal membrane structures or as part of the perimeter membrane [5], [6]. During endosomal maturation, the luminal pH value decreases from values of about 7.2 to below 5 [7].
The endosomal membrane consists of different domain arrangements, in which Rab proteins are localized in morphologically distinct domains, like in a mosaic. Endosomes comprised of different domain arrangements display biochemical and possibly functional diversity [8].
Cellular macromolecules can be degraded by different pathways in eukaryotic cells. Ubiquitinylated proteins are degraded by the proteasomal system in the cytosol, bulk cytoplasma and organelles are delivered to the lysosome by (macro)autophagy [9] and cellular membranes are degraded in the lysosome after endocytosis. Autophagy requires a membrane degradation step, before cargo can be degraded by the lysosomal degradation system. Autophagy represents a unique form of membrane trafficking, in which membrane compartments (autophagosomes) engulf organelles or cytosolic cargo and deliver them to the lysosome for degradation [10]. Under normal growth conditions, autophagy occurs at a basal level. Starvation dramatically induces autophagy to maintain a pool of basic nutrients. Autophagy is evolutionary conserved in eukaryotes. Insights into the molecular pathways of autophagy were mainly gained by genetic approaches in yeast mutants defective in autophagy. Degradation of autophagic bodies occurs in yeast in the vacuole.
Autophagy starts with the formation of autophagosomes, double-membrane-layered vesicles, which enclose cytosol or organelles [11]. In yeast, after fusion with the vacuole, the autophagosome is released into the lumen as a single-membrane vesicle and termed autophagic body. The breakdown of this subvacuolar vesicle depends on the acidic pH of the vacuole [12], and on vacuolar proteinase A and proteinase B (Prb1) [13]. However, the function of Prb1 might be to activate vacuolar zymogens that play a direct role in the breakdown process [14]. Two other proteins have also been implicated in membrane degradation, the putative lipases Aut5 [11] and Aut4 [15].
Another role of autophagy in membrane degradation is that it is a source of bis(monoacylglycero)phosphate (BMP, erroneously also called lysobisphosphatidic acid, Fig. 1). This negatively charged lipid is highly enriched in the internal membranes of the lysosome and required for degradation of small GSL [16]. Biosynthetically, BMP is formed during the degradation of phosphatidylglycerol and cardiolipin, presumably on the surface of intra-lysosomal vesicles [17], [18]. Cardiolipin in turn, reaches the lysosome as a component of mitochondria by macroautophagy. Its degradation leads to formation of BMP on internal membranes.

Fig. 1. Structure of bis(monoacylglycero)phosphate (BMP).
In eukaryotes, transmembrane proteins destined for lysosomal degradation are in eukaryotes often monoubiquitinylated and sorted in endosomal multivesicular bodies (MVBs) [19]. MVB formation requires the sequential action of three endosomal sorting complexes needed for transport (ESCRT-I,-II,-III) [20]. MVBs follow the pathway from early to late endosomes, and are eventually delivered to lysosomes, where they are degraded together with their protein cargo [21].
1.2. Topology of degradation
In the endosomal–lysosomal system, a variety of hydrolytic enzymes with acidic pH-optima cleave macromolecules such as proteins, polysaccharides, nucleic acids, glycoconjugates, and phospholipids. To protect the interior of the cell from these degradative enzymes, the integrity of the limiting membrane has to be preserved during the process of lysosomal degradation. This is achieved by a thick glycocalyx [22] composed of the carbohydrate part of lysosomal integral membrane proteins (LIMPS) and lysosomal associated membrane proteins (LAMPS) [23]. The enzymes required for lipid degradation cannot be expected to reach their substrates through this glycocalyx, which is composed of glycoproteins highly N-glycosylated with polylactosamine units. Since the perimeter membrane is protected from degradation, a second distinct pool of membranes has to be present in the endosomal/lysosomal compartment. This has been proposed in 1992 [5] and has been confirmed by independent groups. According to our current view, former parts of the plasma membrane destined for degradation reach the lysosome as part of small intra-lysosomal vesicles, in which the former extracytoplasmic membrane leaflet faces the lumen of the lysosome (Fig. 2). These intra-lysosomal vesicles provide the platform of membrane degradation. As indicated by studies with human patients with defects in GSL degradation, the surface of the inner lysosomal membranes represents the main site of membrane degradation in eukaryotic cells. Intra-lysosomal membranes have been initially observed, when different membrane degradation steps are defective. This was the case in cells from patients with sphingolipid storage diseases such as GM1 gangliosidosis [24] or combined sphingolipid activator protein (Sap) deficiency [25], where they accumulate as multivesicular storage bodies. Later on, they have been identified as MVBs [21], [26]. Complementing the media of Sap-precursor-deficient fibroblasts with nanomolar concentrations of purified Sap-precursor reversed the aberrant accumulation of multivesicular structures, and restored the cells ability to degrade glycosphingolipids [27].

Fig. 2. Model of endocytosis and lysosomal degradation of membranes (modified from [51]). Parts of the plasma membrane, including GSL, are endocytosed by coated pits or caveolae. The GSL derived from the plasma membrane reach the lysosome in small intra-lysosomal vesicles facing the lysosomal lumen and are degraded there. The lysosomal perimeter membrane is protected from digestion by a glycocalyx.
1.3. Lipid composition of lysosomal membranes
The lipid composition of limiting membrane and the intra-lysosomal membrane structures differs considerably from each other and from that of plasma membrane or the limiting membranes of other cellular organelles. In addition, the luminal pH value steadily decreases to achieve optimal conditions for the action of lysosomal enzymes. Besides the lipid composition, also the protein composition of the internal membranes is adjusted during endosomal sorting [28]. The intra-lysosomal membranes are formed by a lipid-sorting process along the endocytic pathway, during which its cholesterol content decreases and that of the negatively charged lipid BMP increases [16], [29]. Due to its unusual sn1,sn1′-configuration, BMP has a sufficiently long lifetime in spite of the presence of the lysosomal phospholipases [30]. While intra-lysosomal membranes are enriched in BMP, this lipid is almost absent in the perimeter membrane, distinguishing the two membrane pools [16], [29]. Other anionic lipids like phosphatidylinositol and dolichol phosphate, albeit in smaller amounts than BMP, are also found within the lysosomal compartment [31], [32]. Membrane-stabilizing cholesterol is almost absent from intra-lysosomal membranes [16], [29].
Cellular membranes contain cholesterol in different concentrations. Although it is incorporated into the membrane of the endoplasmatic reticulum, cholesterol-concentrations are low, with the consequence that transbilayer movements are facilitated. The plasma membrane is especially rich in cholesterol, more rigid, and has a greater diameter. In the plasma membrane, cholesterol is tightly associated with sphingomyelin. Although concentrations vary between membranes, the fraction of “free” cholesterol might be comparable. Its “activity” might be constant, but real cholesterol concentrations are regulated by the “friends” (sphingomyelin) and “enemies” (ceramide) of cholesterol in the endoplasmic reticulum and the inner lysosomal membranes. Cholesterol concentration is a crucial factor for the degradation of membranes. During the endocytic pathway the luminal pH decreases and sphingomyelin is degraded by acid sphingomyelinase, with a pH optimum of about 5.5, to ceramide. It has been shown, that ceramide can selectively displace cholesterol from ordered lipid domains [33]. Increasing ceramide content of the internal membranes correlates with decreased cholesterol levels, which make the membrane less rigid. Cholesterol, which cannot be degraded in the lysosome, has to be transported out of the inner membranes of the organelle. This is achieved by the NPC1/NPC2-system. It can be assumed that the ceramide content of the intraendosomal vesicles is the highest in the endosomal/lysosomal pathway, since at an endosomal pH value of 5.5 ceramide is liberated from sphingomyelin by the acid sphingomyelinase. At the pH value of 5.5 acid ceramidase, the enzyme hydrolyzing ceramide with a lysosomal pH optimum, catalyzes the reverse reaction, the synthesis of ceramide, keeping sphingosine levels within the endosome low [34]. Sphingosine would act as a cationic amphiphile and induce lipidosis by neutralizing the negative charge of BMP and displace lysosomal proteins from membranes.
The unique lipid composition, together with membrane curvature and acidic environment appears to be required for degradation of intra-lysosomal vesicles. In some cases, lysosomal lipid catabolism requires the presence of lysosomal lipid binding proteins. These membrane-active proteins bind lipids and transfer them to proteins or to target membranes [35]. Lysosomal lipid binding proteins comprise, among others, the sphingolipid activator proteins, the lipid antigen presenting CD1 molecules, one of the oxysterol binding protein-related proteins [36], and the cholesterol-binding proteins, like NPC1, a transmembrane protein, and the soluble NPC2. Although other lipids like sphingomyelin, the major storage substance in Niemann–Pick Disease Types A and B, are also stored in Niemann–Pick Type C (NPC), the disease is caused by impaired cholesterol exit out of the late endosomes and lysosomes. This is due to mutations in the genes encoding the NPC1 or NPC2 protein, and lead to a neurodegenerative disease.
The membrane lipid cholesterol can reach the endosomes by endocytic membrane flow. Cholesterol and cholesteryl esters can enter cells of different types by receptor-mediated endocytosis, and as components of lipoproteins, such as low density lipoprotein or high density lipoprotein (HDL). Lipoproteins are delivered to the late endosome, where the cholesteryl esters are hydrolyzed, liberated cholesterol is bound by NPC2 [37], [38], [39], and transferred to a cholesterol binding site of NPC1 [40] for export out of the endosomal system. The NPC1 protein is composed of 13 membrane-spanning helices and three large loops that project into the lumen of endosomes. The luminal loop-1, a 240-amino acid domain with 18 cysteines has been identified as cholesterol and oxysterol binding site [40]. The NPC1 protein is suggested to mediate transport of lipophilic molecules through the glycocalyx of lysosomal perimeter membranes and presumably also out of the endosomal–lysosomal system [41], [42] (Fig. 3).

Fig. 3. In the late endosome ceramide is liberated from sphingomyelin (SM) by the acid sphingomyelinase (ASM) and from glucosylceramide (GlcCer) by the glucosylceramide-β-glucosidase and displaces cholesterol (indicated in red) from the internal membranes. Cholesterol is transported out of the lysosome by NPC1 and NPC2. The sterol binding site at the N-terminus of the NPC1 is indicated by a blue dot.
In fibroblasts from NPC patients, exit of liberated cholesterol from the late endosomes and lysosomes is attenuated and it accumulates in the organelles. Secondarily, other membrane components also accumulate. Storage of neutral glycolipids such as glucosylceramide and lactosylceramide, acidic glycolipids, especially of gangliosides GM3 and GM2, sphingomyelin (less than in Nieman–Pick disease, Types A and B), BMP, and phospholipids occurs in liver, spleen, brain, and other organs [43]. This can be easily explained by a kind of traffic jam, that occurs when lipids accumulate. Lipids of other structure and hydrophobic proteins can dissolve in the accumulating membranes, precipitate, and prevent further degradation.
1.4. Lysosomal degradation of proteins
Lysosomal proteolytic enzymes, the cathepsins, catalyze the hydrolysis of proteins [44]. Few of the proteinases work as amino- or carboxypeptidases, while most are endopeptidases. Most cathepsins belong to the aspartic, cysteine, or serine proteinase families of hydrolytic enzymes. They are expressed in a tissue- or cell type-specific manner and are usually detected within all vesicles of the endocytic pathway. In specific cell types, they can also be secreted and might fulfill tasks in the direct pericellular surrounding. Functions of lysosomal proteases comprise bulk protein degradation within lysosomes, antigen processing within early endosomes, proprotein processing, prohormone processing, and degradation of matrix constituents in the extracellular space. In addition, lysosomal proteases have been proposed also to contribute to the initiation of apoptotic processes within the cytosol [44]. In addition to their enzymatic function, complexes of lysosomal proteins including the cathepsins lead to enhanced lifetimes of other proteins in the lysosomal environment, as in the case of cathepsin A, neuraminidase, and β-galactosidase [45], [46]. Also lipid-modified proteins are degraded within the lysosomal compartment.
The lysosomal degradation of prenylated and palmitoylated proteins requires two lysosomal enzymes, palmitoyl-protein thioesterase (PPT1) and prenylcysteine lyase (PCL) [47]. PCL is a membrane-associated flavin-containing lysosomal monooxygenase that converts prenylcysteine to a prenyl aldehyde. PPT1 cleaves fatty acids from cysteine residues in proteins during lysosomal protein degradation. Deficiency in the enzyme causes a neurodegenerative lysosomal storage disorder, a variant form of infantile neuronal ceroid lipofuscinosis.
1.5. Degradation of phospholipids
Glycerophospholipids can be cleaved at various positions by different phospholipases. Lysosomal phospholipases play a critical role in the degradation of cellular membranes. Several phospholipases, among them isoenzymes of acid phospholipase A, are present in the lysosome. Lysosomal phospholipase A2 was characterized and shown to have substrate specificity for phosphatidylcholine and phosphatidylethanolamine. It is ubiquitously expressed, but is most highly expressed in alveolar macrophages [48], [49]. An enzyme with phospholipase A2 and transacylase activity is the 1-O-acylceramide synthase, which catalyzes in the presence of ceramide the formation of 1-O-acylceramide by transacylation of fatty acids from the sn-2 position of phosphatidylcholine or phosphatidylethanolamine. In the absence of ceramide or other alcohols as acceptors, the enzyme acts as a traditional phospholipase A2 [50].
1.6. Disturbance of endosomal trafficking and lysosomal digestion
In addition to the presence of hydrolyzing enzymes, degradation of intra-lysosomal membranes requires a low pH value, high BMP content, and low cholesterol levels. In some cases e.g. the degradation of most sphingolipids, the water soluble enzymes do not work properly on membrane-bound lipids and need the support of lipid-binding proteins [51]. If any of these components is defective, lipids accumulate, causing secondary accumulation of other lipids and hydrophobic proteins, and finally a breakdown of lysosomal digestion. Then the lysosome can no longer provide the cell with nutrients and building blocks of macromolecules, and the cell starves.
Lysosomal digestion can also be impaired by certain drugs [52]. Cationic amphiphilic drugs (CADs) can induce the formation of lamellar bodies, an accumulation of lipids in the lysosome [53]. CADs are neutral at a pH value of 7 and can penetrate membranes. Once in the lysosome, CADs are protonated in the acidic environment and trapped in the lysosome. In their protonated form, they interact with the negatively charged intra-lysosomal vesicles, displacing enzymes and eventually the lipid binding proteins. Many lysosomal proteins are glycoproteins and polycations at acid pH, so that they attach to negatively charged BMP-containing membranes. With the vesicle on one side and the glycan part on the other side they are protected from the degradation by cathepsins. This has been at least demonstrated for acid sphingomyelinase [54], [55] and acid ceramidase [56]. CADs displace the enzymes, and lead to their premature degradation, and this induces a lipidosis (Fig. 4). The tricyclic antidepressant desipramine induces rapid intracellular degradation of acid sphingomyelinase and other enzymes, when added to cultured fibroblasts [55]. Surface plasmon resonance studies indicate that desipramine interferes with the binding of acid sphingomyelinase to the lipid bilayers and thereby displaces the enzyme from its membrane-bound substrate. The displacement of the enzyme from the inner membranes of late endosomes and lysosomes by desipramine might render its susceptible to proteolytic cleavage by lysosomal proteases [55], [57]. Cationic amphiphilic drugs also induce phospholipid accumulation in lysosomes, by inhibition of lysosomal phospholipase A2 activity [58], or other mechanisms [52].

Fig. 4. Drug induced lipidoses. The molecular view (modified from [125]). At acidic pH values (4–5) cationic lysosomal lipid binding proteins (LLBPs) (Saps and GM2-AP) and exohydrolases bind to the negatively charged surface of BMP containing inner membranes. To overcome the lipid phase problem, LLBPs bind, extract, and present membrane-bound lipids to water-soluble exohydrolases for degradation. CADs enter the lysosome, concentrate in the organelle and interact with inner membranes.
1.7. Lysosomal storage diseases
The loss of functional enzymes or activator proteins acting in the degradation of complex biomolecules leads to the accumulation of nondegradable enzyme substrates. The corresponding lysosomal storage diseases are classified according to the accumulating substances as sphingolipidoses, mucopolysaccharidoses, mucolipidoses, glycoprotein and glycogen storage diseases [1]. Insights into the mechanism of membrane digestion came from the investigation of GSL catabolism and the metabolic diseases associated with inherited defects in this pathway. Key features of lysosomal sphingolipid degradation and principles governing membrane digestion are discussed in this article.
2. Glycosphingolipid degradation
2.1. Structure and function of glycosphingolipids
Together with glycerophospholipids and cholesterol, sphingolipids and GSL are membrane components of eukaryotic cell surfaces. They are characterized by the presence of a sphingoid base within the hydrophobic part of the molecule. In sphingomyelin and the glycosphingolipids, a phosphorylcholine or a carbohydrate moiety is bound to the terminal hydroxyl group of ceramide (N-acylsphingosine) (Fig. 5) [59]. Variations in the type, number and linkage of sugar residues in the oligosaccharide chain give rise to a wide range of naturally occurring GSL [60]. Also the lipid moiety can vary in chain length of the fatty acid and sphingoid base and in the degree of saturation and hydroxylation. GSL form cell-type specific pattern, which changes with cell growth, differentiation, viral transformation, ontogenesis, and oncogenesis [61].

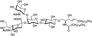
Fig. 5. Structure of ganglioside GM2. Structure of ganglioside GM2.
Based on the differential miscibility in vitro and on the differential solubilities of membrane components in detergent containing solutions at low temperature [62], it is believed that lipids of the plasma membrane segregate into membrane microdomains. According to this view, GSL, cholesterol, the phosphosphingolipid sphingomyelin, and glycosylphosphatidylinositol-anchored proteins form so-called rafts [63]. So far, the small size and lifetime of these putative objects prevented their characterization. Single-particle tracking experiments at high temporal and moderate spatial resolution indicated that single GPI-anchored proteins are associated with very small (< 10 nm) domains with short lifetimes (< 0.1 ms) [64]. Observations of labelled lipids in the plasma membrane of living cells by the nanoscope support this view [65]. Antibodies and toxins are able to stain distinct membrane areas, but single molecule experiments indicate that the lipid rafts detected by this method are not preexisting, but induced by this treatment. Also treatment with detergents has been demonstrated to induce shifts in lipid ratio [66]. Rafts still remain a hypothesis [67], [68].
Glycosphingolipids, sphingomyelin, their lysosomal degradation products sphingosine and sphingosine-1-phosphate are essential for development and survival of multicellular organisms [59]. This has been demonstrated in mice lacking acid ceramidase, which do not survive the two-cell stage [69]. GSL play a role in cell adhesion phenomena and in the regulation of membrane proteins [70]. Mice, that are not able to form ganglioside GM3 show enhanced insulin receptor phosphorylation and increased insulin sensitivity [71]. Sphingolipid processing is also vital for the barrier function in the stratum corneum of the human skin, where ceramides of complex structures occurring at high concentrations, either in free form or covalently bound to proteins, contribute to the water permeability barrier [72], [73]. GSL of the developing sperm with highly unsaturated very long chain fatty acids in their ceramide moieties are essential for male fertility [74].
In addition to disorders caused by inherited alterations of sphingolipid metabolism, sphingolipids are involved in a variety of diseases. In infectious diseases, sphingolipids are for example used as receptors by pathogens and can determine pathogen infection and host defense [75]. In the immune system, glycosphingolipids play a role as antigens (AB0-system, Forssman), but can also stimulate the generation of autoantibodies in postinfectious autoimmune diseases like Guillain–Barré or Miller–Fisher syndromes [76], [77]. In addition, certain gangliosides can induce a CD1d-restricted natural killer T (NKT)-cell response [78].
2.2. Biosynthesis of glycosphingolipids
De novo biosynthesis of GSL starts with the formation of ceramide at the cytoplasmic face of the endoplasmic reticulum (ER) [79]. From there, ceramide is transferred to the Golgi apparatus by vesicular transport, or with the aid of the transfer protein CERT [80]. On the cytoplasmic face of the Golgi apparatus, a glucose residue is added in β-glycosidic linkage to the 1-position of the ceramide [81], [82]. There is evidence that the lipid-binding protein FAPP2 can mediate the non-vesicular transport of newly synthesized glucosylceramide (GlcCer), labelled with a fluorescent dye, to cytosolic surfaces of different intercellular membranes [83]. Addition of carbohydrate moieties to GlcCer starts at the luminal face of early compartments of the Golgi apparatus [84].
The translocation of GlcCer to reach the luminal face of the Golgi membranes for the biosynthesis of complex glycosphingolipids is a controversial issue, since some results have been obtained with fluorescent labelled GlcCer, which behaves not always like the endogenous one. Fluorescent-labelled GlcCer can eventually be translocated by a multidrug transporter, to reach the luminal face of the organelle [85]. In skin cells, the lipid transporter ABCA12 has been implicated to be involved in GlcCer translocation [86], [87], [88]. Halter et al. found, however, that tritium-labelled GlcCer – free of any fluorescent tag – destined for glycolipid synthesis follows a different pathway and transports back to the ER via FAPP2 [89], where it can translocate to the luminal surface of the membranes. From there the newly synthesized GlcCer can reach the luminal face of Golgi membranes, where it becomes substrate of lactosylceramide synthase [89]. This fits to the view of the Golgi apparatus as a continuous two-dimensional gradient of proteins and lipids in a structure of interconnected cisternae that may be progressing [90].
On the luminal side of the Golgi apparatus, membrane-resident glycosyltransferases elongate the carbohydrate chain by the stepwise addition of single carbohydrate residues. Due to the topology of the biosynthesis, the oligosaccharide moieties of most GSL face the extracytoplasmic side of the plasma membrane, or the lumen of cellular organelles respectively. The limited specificity of some of the glycosyltransferases gives rise to the complex patterns of gangliosides on the cell surface within a combinatorial biosynthetic pathway [60], [91]. After their biosynthesis, GSL reach the plasma membrane through vesicular exocytotic membrane flow.
2.3. Lysosomal glycosphingolipid degradation and sphingolipid activator proteins
Areas of the plasma membrane bud into clathrin-coated pits, non-clathrincoated pits, caveolae or others, are internalized, if necessary uncoated, and fuse with early endosomes [92]. Here, parts of the endosomal membrane enriched in components derived from the plasma membrane invaginate and bud into the endosomal lumen. Accordingly, GSL derived from the plasma membrane reach the lysosome on the lysosolic side of small intra-lysosomal vesicles and other membrane structures, these are the platforms for sphingolipid and membrane degradation [6], [51]. Degradation of sphingolipids derived from the cell surface that become part of the limiting membrane of endosomes and lysosomes, however is prevented by the thick glycocalyx, which protects the membrane from the attack by degrading enzymes. The lysosomal degradation of GSL is a sequential pathway that starts with the stepwise release of monosaccharide units from the nonreducing end of the oligosaccharide chain, catalyzed by exohydrolases with acidic pH-optima (Fig. 6). The substrates of the water soluble hydrolases are embedded in intraendosomal and intra-lysosomal membranes [93], [94], [95], whereas the soluble enzymes are dissolved in the lumen of the lysosome. In vivo, GSL with less than four sugar residues [96] are only degraded in the presence of sphingolipid activator proteins (SAPs). In vitro, these SAPs can often be replaced by detergents. SAPs mediate the interaction between the membrane bound lipid substrate and the water-soluble enzyme, or activate the enzyme directly. The SAPs comprise five small non-enzymatic glycoproteins, encoded by two genes. One gene codes for the precursor of the GM2 activator protein (GM2-AP) [97]. The second gene codes for prosaposin, which is proteolytically processed to four highly homologous proteins, the Saps or saposins A–D [98]. These five activator proteins (GM2-AP and the Saps A–D) act on the surface of the intra-endosomal/intra-lysosomal membrane vesicles, making the lipid substrate accessible to the degrading enzyme. The GM2-AP acts as an essential cofactor in the in vivo degradation of ganglioside GM2 by β-hexosaminidase A [99]. Inherited deficiency of the GM2-AP leads to the AB variant of GM2 gangliosidosis. The GM2-AP is a glycoprotein with 17.6 kDa in its deglycosylated form, it bears a N-glycosidically bound oligosaccharide chain and contains four disulfide bridges [100], [101]. The X-ray crystallographic structure of non-glycosylated GM2-AP, expressed in Escherichia coli allowed an understanding of the role of this protein on membrane degradation [102], [103], [104]. The GM2-AP contains a hydrophobic cavity that harbors the ceramide moiety of ganglioside GM2. Extraction of the GSL out of the intra-lysosomal membrane is followed by a conformational change of the lipid loaded activator, which increases the water solubility of the complex [105] (Fig. 7). The major determinant for the interaction with the enzyme that degrades GM2 has been identified as a single short α-helix of GM2-AP [106]. The GM2-AP can be regarded as a weak detergent with high selectivity that inserts into the bilayer of intra-lysosomal lipid vesicles and lifts gangliosides like GM2 and GM1 and other lipids out of the membrane, so that they become accessible for the active site of the degrading enzyme [96]. As a “liftase” [5] the GM2-AP forms stoichiometric, water-soluble glycolipid-protein complexes that are physiological Michaelis–Menten substrates of β-Hexosaminidase A [99], [106]. Physico-chemical measurements with lipid monolayers show that the GM2-AP can insert only if the lateral pressure is below 15–25 mN m− 1 [107]. It can be assumed that the GM2-AP cannot insert into the lysosomal perimeter membrane due to its higher `lateral pressure´. The `lateral pressure´ of biological membranes correlates to a range between 30 and 35 mN m− 1 [108]. Although no data on intra-lysosomal vesicles are available, it can be assumed that their `lateral pressure´. is quite low due to their low cholesterol and their high BMP content, enabling the GM2-AP to insert into the intra-lysosomal vesicles, but not into the perimeter membrane.

Fig. 6. Lysosomal degradation of selected sphingolipids [59]. The eponyms of individual inherited diseases are given. Activator proteins required for the respective degradation step in vivo are indicated. AB variant: AB variant of GM2 gangliosidosis (deficiency of GM2-AP).

Fig. 7. Model of GM2-AP-stimulated hydrolysis of ganglioside GM2 by human β-hexosaminidase A [105]. The glycolipid binding site is lined by two hydrophobic (V90–W94 and V153–L163) surface loops and a single short helix. The most flexible of the loops (V153–L163) controls the entrance to the hydrophobic cavity allowing both, an open and closed conformation. According to this model, the GM2-AP lifts or extracts ganglioside GM2 from the membrane und forms a complex with the β-hexosaminidase A. The next step of the process is the hydrolysis of GM2. Then the product may return to the membrane, but this has not been demonstrated. GM2-AP, GM2-activator protein; Hex A, β-hexosaminidase A.
The Saps A–D are four acidic, not enzymatically active, heat-stable and protease-resistant glycoproteins of about 8–11 kDa [51]. They are members of the saposin-like protein family (SAPLIPs), which comprises proteins and protein domains of several species and different function, all sharing a lipid-binding and membrane perturbing properties [109]. The first SAPLIP for which structure determination has been successful, was the elucidation of NK-lysin by nuclear magnetic resonance spectroscopy [110]. Up to now, several other SAPLIP structures have been determined, among them the solution structure of Sap-C [111] and the X-ray crystallographic structure of unglycosylated human recombinant Sap-A [112], Sap-C [113], Sap-B [113], and Sap-D [114]. The proteins show high structural similarity. They are characterized by the presence of three intradomain disulfide linkages and several hydrophobic residues that form a common structural framework. Despite their high degree of homology, the Saps differ in specificity. The absence of different Saps leads to different sphingolipidoses. Although all Saps are able to mobilize lipids from membranes, this indicates that additional Sap-specific properties are required. The physiological degradation of sphingomyelin does not require the presence of an activator protein, since acid sphingomyelinase contains a protein domain with homology to the Saps [57].
The in vivo-degradation of galactosylceramide by galactosylceramide-β-galactosidase requires in vivo the presence of Sap-A. Mice carrying a mutation in the Sap-A domain of the Sap-precursor and therefore lack mature Sap-A accumulate galactosylceramide and develop a late-onset form of Krabbe disease [115]. Glycosylated Sap-A mobilizes lipids from low cholesterol and high BMP containing membranes [116].
Sap-B was the first activator protein to be identified: originally it was called sulphatide activator protein [117]. It is required for the in vivo degradation of sulfatide by arylsulfatase A and of globotriaosylceramide and digalactosylceramide by α-galactosidase A. The inherited defect of Sap-B leads to an atypical form of metachromatic leukodystrophy [118], [119]. The disease is characterized by accumulation of sulfatides, digalactosylceramide, and globotriaosylceramide. The crystal structure of Sap-B shows a shell-like homodimer that encloses a large hydrophobic cavity [113]. The monomers are composed of four amphipathic α-helices arranged in a long hairpin that is bent into a V-shape. As in the case of the GM2-AP, there are two different conformations of the Sap-B dimers, and a similar mechanism for its action has been proposed: the open conformation should interact directly with the membrane, promote a reorganization of the lipid alkyl chains, and extract the lipid substrate accompanied by a change to the closed conformation, so that the substrate can be exposed to the enzyme in a water-soluble activator lipid complex [120]. This is consistent with the observation that, after initial binding, glycosylated Sap-B disintegrates the membrane structure and solubilizes lipids from it [121].
Sap-C is required for the lysosomal degradation of glucosylceramide by glucosylceramide-β-glucosidase. The 20 kDa homodimeric protein was first isolated from the spleens of patients with Gaucher disease [122]. In contrast to Sap-B, Sap-C binds not only to lipids and membranes, but also interacts with glucosylceramide-β-glucosidase and stimulates the enzyme directly [123], [124]. The β-glucosidase is a water soluble lysosomal enzyme that can associate to membranes. Sap-C also supports the interaction of the enzyme with the substrate embedded in vesicles containing anionic phospholipids. In addition, Sap-C is able to destabilize these vesicles [125]. Binding of Sap-C to phospholipid vesicles is a pH-controlled, reversible process [126]. The deficiency of Sap-C leads to an abnormal juvenile form of Gaucher disease and an accumulation of glucosylceramide [127], [128]. Feeding of purified Sap-C to patients fibroblasts reduces the level of glucosylceramide storage, whereas Sap-A, -B and -D were not effective [129]. Additionally, Sap-C renders glucosylceramide-β-glucosidase more protease-resistant inside the cell [130]. The solution structure of Sap-C [111] consists of five tightly packed α-helices that form half of a sphere. All charged amino acids are solvent-exposed, whereas the hydrophobic residues are contained within the protein core. Sap-C locally alters regions of lipid bilayer for subsequent attack by acid β-glucosidase [131].
Sap-D stimulates lysosomal ceramide degradation by acid ceramidase in cultured cells [129] and in vitro [132]. The detailed physiological function and mode of action of Sap-D is unclear. It is able to bind to vesicles containing negatively charged lipids and to solubilize them at an appropriate pH [133]. Sap-D-deficient mice accumulate ceramides with hydroxylated fatty acids mainly in the brain and in the kidney [134]. In addition to their function as enzyme cofactors, SAPs play an important role in the presentation of lipid and glycolipid antigens. CD1 immunoreceptors present lipid antigens to T cells. Therefore, the lipid antigens have to be removed from the membranes in which they are embedded to allow loading on CD1 molecules.
Antigen presentation by human CD1b [135], and human [136], and mouse CD1d [137] have been studied. Human CD1b especially requires Sap-C to present different types of glycolipid antigens. In vitro, all saposins can exchange phosphatidylserine bound to murine CD1d against glycosphingolipids, but with different activity.
3. Perspective
Cellular membranes are highly dynamic structures. Eukaryotic cells maintain their morphology, endomembrane homeostasis, and composition of the intracellular organelles despite continuous inward and outward membrane flow. The role of endosomes and lysosomes for lipid homeostasis can be illustrated by one example: Impairment of cholesterol-efflux out of the lysosomes in NPC1-diseases causes not only lysosomal accumulation of cholesterol in neuronal cell bodies, but cholesterol-depletion in the axons of neuronal cells, inhibiting axonal growth [138]. The molecular mechanisms underlying these processes are not completely understood [139]. Control of membrane homeostasis remains an open field.
Acknowledgments
This work was supported by Deutsche Forschungsgemeinschaft (SFB 645) and by the seventh framework program of the EU-funded “LipidomicNet” (proposal number 202272).
References
- [1]
- A. VellodiLysosomal storage disordersBr. J. Haematol., 128 (2005), pp. 413-431
- [2]
- E.M. StrehleSialic acid storage disease and related disordersGenet. Test, 7 (2003), pp. 113-121
- [3]
- B.K. Gillard, R.G. Clement, D.M. MarcusVariations among cell lines in the synthesis of sphingolipids in de novo and recycling pathwaysGlycobiology, 8 (1998), pp. 885-890
- [4]
- S. Mayor, R.E. PaganoPathways of clathrin-independent endocytosisNat. Rev. Mol. Cell. Biol., 8 (2007), pp. 603-612
- [5]
- W. Fürst, K. SandhoffActivator proteins and topology of lysosomal sphingolipid catabolismBiochim. Biophys. Acta, 1126 (1992), pp. 1-16
- [6]
- W. Möbius, V. Herzog, K. Sandhoff, G. SchwarzmannGangliosides are transported from the plasma membrane to intralysosomal membranes as revealed by immuno-electron microscopyBiosci. Rep., 19 (1999), pp. 307-316
- [7]
- M. Grabe, G. OsterRegulation of organelle acidityJ. Gen. Physiol., 117 (2001), pp. 329-344