CAFE

생리학, 생화학

Re: 단백질의 산화 스트레스 결과 .. 질환 탐구!! 2021년

작성자문형철|작성시간25.02.03|조회수349 목록 댓글 0

 

 

Redox Biol

. 2021 Feb 18;42:101901. doi: 10.1016/j.redox.2021.101901

 

Protein oxidation - Formation mechanisms, detection and relevance as biomarkers in human diseases

 

Richard Kehm a, Tim Baldensperger a, Jana Raupbach a, Annika Höhn a,b,∗

  • Author information
  • Article notes
  • Copyright and License information

PMCID: PMC8113053  PMID: 33744200

Abstract

Generation of reactive oxygen species and related oxidants is an inevitable consequence of life. Proteins are major targets for oxidation reactions, because of their rapid reaction rates with oxidants and their high abundance in cells, extracellular tissues, and body fluids. Additionally, oxidative stress is able to degrade lipids and carbohydrates to highly reactive intermediates, which eventually attack proteins at various functional sites. Consequently, a wide variety of distinct posttranslational protein modifications is formed by protein oxidation, glycoxidation, and lipoxidation. Reversible modifications are relevant in physiological processes and constitute signaling mechanisms (“redox signaling”), while non-reversible modifications may contribute to pathological situations and several diseases. A rising number of publications provide evidence for their involvement in the onset and progression of diseases as well as aging processes.

 

Certain protein oxidation products are chemically stable and formed in large quantity, which makes them promising candidates to become biomarkers of oxidative damage. Moreover, progress in the development of detection and quantification methods facilitates analysis time and effort and contributes to their future applicability in clinical routine. The present review outlines the most important classes and selected examples of oxidative protein modifications, elucidates the chemistry beyond their formation and discusses available methods for detection and analysis. Furthermore, the relevance and potential of protein modifications as biomarkers in the context of disease and aging is summarized.

 

요약

 

활성산소와 관련 산화제의 생성은 

생명의 불가피한 결과입니다. 

 

단백질은 

산화제와 빠르게 반응하고 

세포, 세포 외 조직, 체액에 풍부하게 존재하기 때문에 

산화 반응의 주요 표적입니다. 

 

또한, 

산화 스트레스는 

지질과 탄수화물을 반응성이 높은 중간체로 분해하여 

결국 다양한 기능 부위의 단백질을 공격할 수 있습니다. 

 

결과적으로, 

단백질 산화, 당산화, 지질산화 등에 의해 

다양한 종류의 특이한 번역 후 단백질 변형이 형성됩니다. 

 

glycoxidation

protein glycoxidation

가역적 변형은 

생리학적 과정과 관련이 있으며 

신호 전달 메커니즘(“산화 환원 신호 전달”)을 구성하는 반면, 

비가역적 변형은 병리학적 상황과 여러 질병에 기여할 수 있습니다. 

 

점점 더 많은 출판물들이 

노화 과정뿐만 아니라 

질병의 발병과 진행에 관여한다는 증거를 제시하고 있습니다. 

 

특정 단백질 산화 생성물은 

화학적으로 안정적이고 대량으로 형성되기 때문에 

산화 손상의 바이오마커가 될 수 있는 유망한 후보입니다. 

 

 

또한, 검출 및 정량화 방법의 발전으로 

분석 시간과 노력이 줄어들고 임상 일상에서 향후 적용 가능성에 기여하고 있습니다. 

 

이 리뷰에서는 

가장 중요한 종류와 산화 단백질 변형의 선택된 예시를 설명하고, 

그 형성을 넘어서는 화학적 작용을 설명하며, 

검출과 분석에 사용할 수 있는 방법에 대해 논의합니다. 

 

또한, 

질병과 노화의 맥락에서 

단백질 변형의 관련성과 잠재력을 요약합니다.

 

 

Keywords: Protein oxidation, Protein modification, Biomarker, Aging, Oxidative stress

 

Graphical abstract

Open in a new tab

Highlights

Abbreviations3-NT

3-Nitrotyrosine

4-HNE

4-Hydroxy-2-nonenal

AD

Alzheimer's disease

AGE

Advanced glycation endproduct

ALC

Alcoholic liver cirrhosis

ALD

Alcoholic liver disease

ALE

Advanced lipoxidation endproduct

ALS

Amyotrophic lateral sclerosis

AOPP

Advanced oxidation protein product

CAD

Coronary artery disease

CHD

Chronic heart disease

CKD

Chronic kidney disease

CML

Carboxymethyl lysine

COPD

Chronic obstructive pulmonary disease

CSF

Cerebrospinal fluid

CVD

Cardiovascular disease

DHP

Dihydropyridine

DNPH

2,4-Dinitrophenylhydrazine

DOPA

Dihydroxyphenylalanine

DTT

Dithiothreitol

ELISA

Enzyme linked immunosorbent assay

EPR

Electron paramagnetic resonance

ESI

Electrospray ionization

FLD

Fluorescence detection

HBV

Hepatitis B virus

HIV

Human immunodeficiency virus

IHC

Immunohistochemistry

HPLC

High pressure liquid chromatography

MALDI

Matrix assisted laser desorption ionization

MCI

Mild cognitive impairment

MDA

Malondialdehyde

MetS

Metabolic syndrome

MRM

Multiple reaction monitoring

MS

Mass spectrometry

NAFLD

Non-alcoholic fatty liver disease

NOS

Nitric oxide synthase

PBMC

Peripheral blood mononuclear cells

PD

Parkinson's disease

RA

Rheumatoid arthritis

RCS

Reactive carbonyl species

RNS

Reactive nitrogen species

ROS

Reactive oxygen species

Skin AF

Skin autofluorescence

T2D

Type 2 diabetes

TBARS

Thiobarbituric acid reactive substances

WB

Western Blot

 

1. Introduction

Biological macromolecules are constantly exposed to oxidants and oxidative damage to cellular components has been increasingly recognized as a significant pathophysiological event leading to disease and aging processes. Free radicals and other oxidizing species are derived from both endogenous sources such as mitochondria, peroxisomes, and phagocytic cells, but also exogenous sources such as tobacco smoke, pollution, alcohol, and certain drugs.

The most important oxidants originate from oxygen (reactive oxygen species, ROS) and nitrogen (reactive nitrogen species, RNS). The oxygen molecule itself is a biradical with two unpaired electrons. Additionally, important primary oxygen-containing compounds with reactive properties are superoxide (O2•-) and the most reactive hydroxyl radical (•OH), formed from O2•- and hydrogen peroxide (H2O2) in the presence of metal ions (Fenton reaction) with a very short half-life of approximately 10−9 s [1]. Less powerful ROS are the alkoxyl radical (RO) as well as peroxyl radical (ROO), both key intermediates in lipid peroxidation chain reactions. Nitric oxide (•NO) is a slowly reacting molecule, with a high relevance as signaling molecule. However, nitric oxide reacts with superoxide at a high rate constant to give peroxynitrite (ONOO), able to decompose spontaneously to yield nitrogen dioxide (•NO2) and hydroxyl radicals [2].

 

Under normal circumstances, the formation and subsequent degradation of reactive species is regulated by cellular defense systems, including scavenging enzymes able to remove oxidants or their precursors such as superoxide dismutases, catalase, thioredoxin/thioredoxin reductase, and glutathione peroxidase. Non-enzymatic antioxidants such as tocopherols and ascorbic acid, but also metal binding proteins delay oxidation reactions or prevent the development of reactive species. Repair and removal systems such as methionine sulfoxide reductases, disulfide reductases/isomerases, and the ubiquitin-proteasome-system complete the damage defense. However, even if these preventive and repair systems are interconnected and work efficiently, they cannot fully prevent oxidative damage to cellular components. Furthermore, a higher level of damage may arise from increased oxidant generation and/or a decrease or failure of defense systems under several conditions such as diseases and aging [3,4]. This imbalance between the excessive production of reactive species and the ability to detoxify them or repair the resulting damage is termed “oxidative stress” (the full concept on oxidative stress is reviewed in Ref. [5]).

Generally, reactive species can generate damage to all cellular components, including proteins, carbohydrates, lipids, and DNA. It has been estimated that proteins can scavenge a majority (50%–75%) of generated reactive species [6]. Highly reactive species damage numerous sites at side-chains and backbones of proteins, while less reactive species have higher selectivity regarding targeted residues [7]. The variety of reaction sites generates a wide range of posttranslational protein modifications consequently changing composition and folding, the net charge, as well as the hydrophobicity/hydrophilicity of proteins. This affects their functions as receptors, enzymes, carrier or structural proteins [8]. It has been established that reversible modifications are thought to be relevant in physiological processes and constitute signaling mechanisms under appropriate conditions (“redox signaling”), while non-reversible modifications may contribute to pathological situations and several diseases [9].

 

Since free radicals are very reactive and short-lived, their detection is challenging and techniques with fast response times such as electron paramagnetic resonance (EPR) are needed. However, detection of more stable products, resulting from reactions with free radicals, such as oxidative protein modifications yield more convincing data and often result in higher-quality quantitative data. Over the last years considerable advances have been made in the development of techniques to detect, identify, and quantify protein modifications.

 

Studies reveal an age-related increase in the level of oxidatively modified proteins [10,11] and many diseases have an oxidative etiology [9,[12][13][14]]. It can be therefore assumed that proteins also accumulate evidence of oxidative damage in relation to disease, although some of these are only associations and oxidation is not always causal, but a contributing factor. To function as suitable biomarkers, it is critical that protein oxidation products are stable, accumulate in detectable concentrations, and correlate with disease severity. Sample availability is another important factor limiting the reliability of a biomarker. Protein oxidation products can be determined in blood and urine samples, but also in specific tissue or cell samples.

In this review, we focus on the chemistry of reversible and irreversible protein modifications by oxidants and available methods for detection and analysis. Discussion whether protein oxidation provides suitable biomarkers in the context of disease and aging is another major aim of this review.

 

1. 서론

 

생물학적 거대 분자는

끊임없이 산화제에 노출되어 있으며,

세포 구성 요소의 산화적 손상은

질병과 노화 과정을 유발하는 중요한 병리 생리학적 사건으로 점점 더 인식되고 있습니다.

 

자유 라디칼과 기타 산화성 물질은

미토콘드리아, 퍼옥시좀, 식세포와 같은 내인성 원인과

담배 연기, 오염, 알코올, 특정 약물과 같은 외인성 원인에 의해 생성됩니다.

 

가장 중요한 산화제는

산소(활성산소, ROS)와 질소(활성질소, RNS)에서 비롯됩니다.

 

산소 분자 자체는

두 개의 짝을 이루지 않은 전자를 가진 이원자입니다.

 

또한,

반응성을 가진 중요한 일차 산소 함유 화합물은

초산화물(O2•-)과 가장 반응성이 강한 수산화기(•OH)인데,

이들은 금속 이온(펜톤 반응)이 존재할 때

O2•-와 과산화수소(H2O2)로부터 형성되며,

반감기가 약 1나노초(10에 마이너스 9승초)로 매우 짧습니다[1].

 

덜 강력한 ROS는

지질 과산화 반응의 주요 중간체인

알콕실 라디칼(RO•)과 퍼옥실 라디칼(ROO•)입니다.

 

산화질소(•NO)는

반응 속도가 느린 분자로서,

신호 전달 분자로서 높은 관련성을 가지고 있습니다.

 

그러나,

산화질소는 초산화물과 높은 반응 속도로 반응하여

퍼옥시니트라이트(ONOO)를 생성하는데,

이 물질은 자연 분해되어 이산화질소(•NO2)와 하이드록실 라디칼[2]을 생성할 수 있습니다.

 

정상적인 상황에서 반응성 종의 형성 및 후속 분해는

세포 방어 시스템에 의해 조절되는데,

여기에는 과산화물 디스뮤타제, 카탈라제, 티오레독신/티오레독신 환원효소, 글루타티온 퍼옥시다아제 등과 같은

산화제 또는 그 전구체를 제거할 수 있는 청소 효소를 포함합니다.

 

토코페롤과 아스코르브산과 같은 비효소성 항산화제뿐만 아니라

금속 결합 단백질도 산화 반응을 지연시키거나

반응성 종의 발생을 방지합니다.

 

메티오닌 설폭사이드 환원효소,

디설파이드 환원효소/이소머라제,

유비퀴틴-프로테아좀 시스템과 같은 복구 및 제거 시스템은

손상 방어를 완성합니다.

 

그러나

이러한 예방 및 복구 시스템이 서로 연결되어 효율적으로 작동한다고 하더라도,

세포 구성 요소의 산화 손상을 완전히 방지할 수는 없습니다.

 

또한,

질병이나 노화와 같은 여러 조건 하에서

산화제 생성 증가 및/또는 방어 시스템의 감소 또는 실패로 인해

더 높은 수준의 손상이 발생할 수 있습니다 [3,4].

 

과도한 활성 산소 생성 및 이를 해독하거나

그로 인한 손상을 복구하는 능력 사이의 이러한 불균형을 “산화 스트레스”라고 합니다

(산화 스트레스에 대한 전체 개념은 참고 문헌 [5]에서 검토할 수 있습니다).

 

일반적으로 반응성 물질은

단백질, 탄수화물, 지질, DNA를 포함한

모든 세포 구성 요소에 손상을 줄 수 있습니다.

 

단백질이 생성된 반응성 물질의 대부분(50%~75%)을

제거할 수 있는 것으로 추정됩니다[6].

 

반응성이 높은 물질은

단백질의 측쇄와 백본에 있는 수많은 부위를 손상시키는 반면,

반응성이 낮은 물질은 표적 잔류물에 대해 더 높은 선택성을 가집니다[7].

 

다양한 반응 부위는 결과적으로

단백질의 구성과 폴딩, 순 전하, 소수성/친수성을 변화시키는

광범위한 번역 후 단백질 변형을 생성합니다.

 

이것은

수용체, 효소,

운반체 또는

구조 단백질로서의 기능에 영향을 미칩니다 [8].

 

가역적 변형은

생리적 과정과 관련이 있고

적절한 조건 하에서 신호 전달 메커니즘을 구성하는 것으로 여겨지는 반면,

비가역적 변형은 병리학적 상황과 여러 질병에 기여할 수 있는 것으로 밝혀졌습니다 [9].

 

자유 라디칼은

반응성이 매우 높고 수명이 짧기 때문에 탐지가 어렵고,

전자 상자성 공명(EPR)과 같이 반응 시간이 빠른 기술이 필요합니다.

 

그러나, 산화 단백질 변형과 같은 자유 라디칼과의 반응으로 인해 생성되는 보다 안정적인 제품의 탐지는 보다 설득력 있는 데이터를 산출하고, 종종 더 높은 품질의 정량 데이터를 산출합니다. 지난 몇 년 동안 단백질 변형을 탐지, 식별, 정량화하는 기술의 개발에 상당한 진전이 있었습니다.

 

연구에 따르면,

산화적 변형 단백질 수준은

나이가 들수록 증가하는 것으로 나타났습니다 [10,11]

 

https://pmc.ncbi.nlm.nih.gov/articles/PMC3646577/

단백질 산화 변형은 단백질 산화라고도 하며, 단백질 번역 후 변형의 주요 유형입니다. 이 변형은 단백질 아미노산 잔기와 활성 산소(ROS) 또는 활성 질소(RNS) 사이의 반응에 의해 발생하며, 비가역적 변형과 가역적 변형의 두 가지 범주로 분류할 수 있습니다. 단백질 산화는 종종 표적 단백질의 기능 저하와 관련이 있으며, 이는 정상적인 노화와 노화 관련 병인에 기여하는 것으로 여겨집니다. 그러나, 단백질 산화 변형이 질병과 건강에 유익한 역할을 할 수 있다는 사실이 밝혀졌습니다. 이 리뷰에서는 문헌에 기록된 단백질 산화 변형의 긍정적인 역할을 요약하고 강조합니다. 산화 변형 단백질 부가물에는 카르보닐화, 3-니트로티로신, s-설페네이트화, s-니트로실화, s-글루타티온화, 이황화 형성 등이 포함됩니다. 이 모든 것들은 산화 스트레스 조건과 관련된 수많은 실험 시스템에서 광범위하게 분석되었습니다. 저자들은 선제적 접근법이나 허혈성 내성과 같은 예방적 접근법에서 가역적인 방식으로 변형된 선택된 단백질 표적은 건강을 유지하고 질병과 싸우는 데 잠재적인 가능성을 제공할 수 있다고 믿습니다.

https://www.jbc.org/article/S0021-9258%2820%2938847-5/fulltext

ROS-카르보닐화 사이클. 지방세포의 ROS가 증가하면 지질 과산화수소 생성물과 4-HNE, 4-HHE와 같은 반응성 지질 친핵체의 생성이 촉진됩니다. 반응성 지질 알데하이드가 지방세포의 단백질, 특히 미토콘드리아와 핵에 있는 단백질을 공유 결합으로 변형시켜 유전자 발현, 단백질 분비, 인슐린 작용을 포함한 주요 대사 과정을 조절합니다.

 

그리고

많은 질병은 산화적 원인으로 발생합니다 [9,[12], [13], [14]].

 

따라서

단백질도

질병과 관련된 산화적 손상의 증거를 축적한다고 가정할 수 있습니다.

 

물론,

이러한 증거 중 일부는 단지 연관성일 뿐이고,

산화가 항상 원인이 되는 것은 아니지만,

산화는 기여하는 요인입니다.

 

적절한 바이오마커로 기능하기 위해서는

단백질 산화 산물이 안정적이고,

검출 가능한 농도로 축적되며,

질병의 심각성과 관련이 있어야 합니다.

 

샘플의 가용성은 바이오마커의 신뢰성을 제한하는 또 다른 중요한 요소입니다. 단백질 산화 산물은 혈액과 소변 샘플뿐만 아니라 특정 조직이나 세포 샘플에서도 확인할 수 있습니다.

 

이 리뷰에서는 산화제에 의한 가역적 및 비가역적 단백질 변형의 화학적 특성과 이를 감지하고 분석하는 데 사용할 수 있는 방법에 초점을 맞춥니다.

 

질병과 노화의 맥락에서

단백질 산화가 적절한 바이오마커를 제공하는지에 대한 논의는

이 리뷰의 또 다른 주요 목표입니다.

 

 

2. Mechanisms of oxidative protein modifications

2.1. Oxidation of sulfur-containing amino acids

Sulfur-containing moieties such as the sulfhydryl group of cysteine and the thioether group of methionine are targeted by oxidative stress and a plethora of posttranslational protein modifications is formed (Fig. 1) [15]. Formation of cysteine thiyl radical and sulfenic acid is a reversible process and both intermediates are highly unstable. Both serve as precursors for several oxidized cysteine modifications (Fig. 1A) [16].

 

2. 산화적 단백질 변형의 메커니즘

2.1. 황 함유 아미노산의 산화

 

시스테인의 설프히드릴기와 메티오닌의 티오에테르기와 같은 황 함유 모이어티는

산화적 스트레스의 표적이 되고,

수많은 번역 후 단백질 변형이 형성됩니다(그림 1) [15].

 

 

시스테인 티일 라디칼과 설펜산의 형성은

가역적인 과정이며,

두 중간체 모두 매우 불안정합니다.

 

둘 다 여러 가지 산화된 시스테인 변형의 전구체로 작용합니다(그림 1A) [16].

 

Fig. 1.

Open in a new tab

Oxidation of sulfur-containing amino acids. Cysteine is oxidized in a multi-step reaction to the respective sulfenic, sulfinic, and sulfonic acid modifications or oxidatively conjugated with glutathione (GSH) or another cysteine residue (A). Methionine is reversibly oxidized to methionine sulfoxide and irreversibly oxidized to methionine sulfone (B).

 

황 함유 아미노산의 산화.

시스테인은

여러 단계의 반응을 거쳐 각각 설펜산, 설핀산, 설폰산으로 산화되거나

글루타티온(GSH) 또는 다른 시스테인 잔기(A)와 산화적으로 결합됩니다.

 

메티오닌은

메티오닌 설폭사이드로 가역적으로 산화되고

메티오닌 설폰(B)으로 비가역적으로 산화됩니다.

 

One example with huge biological relevance is the formation of disulfide bonds between cysteine and thiols under oxidative conditions. Reaction of cysteine with another cysteine under non-enzymatic as well as enzyme mediated conditions leads to cystine. Cystine is a vitally important modification, because it stabilizes protein structures via intra- and intermolecular disulfide bridges. Formation and cleavage of disulfide bonds is a reversible process, which is controlled by several enzymes in vivo [17]. Cysteine residues can be protected against “overoxidation” by S-glutathionylation, which is the reversible addition of glutathione via disulfide linkage. Overoxidation describes the further oxidation of cysteine sulfenic acid to cysteine sulfinic and finally sulfonic acid [18]. Cysteine sulfenic and sulfinic acid modifications can be reversed by glutaredoxin mediated reduction of sulfinic acid, conjugation of sulfenic acid via S-glutathionylation, and deglutathionylation by glutaredoxin or sulfiredoxin. The overoxidation product cysteine sulfonic acid is irreparably damaged and the affected protein has to be degraded by the proteasome [19].

Another sulfur containing amino acid targeted by oxidative modification is methionine (Fig. 1B). In contrast to the non-enzymatic oxidation of methionine to methionine sulfoxide, the reduction is catalyzed by methionine sulfoxide reductases [20]. Further oxidation results in methionine sulfone formation, which is not targeted by methionine sulfoxide reductases and has to be considered as a stable modification [21].

 

생물학적으로 매우 중요한 예로 산화 조건에서

시스테인과 티올 사이에

이황화 결합이 형성되는 것을 들 수 있습니다.

 

 

비효소적 조건과 효소 매개 조건에서

시스테인과 다른 시스테인이 반응하면

시스틴이 생성됩니다.

 

시스틴은

분자 내 및 분자 간 이황화 결합을 통해

단백질 구조를 안정화하기 때문에 매우 중요한 변형입니다.

 

디설파이드 결합의 형성 및 분해는

생체 내에서 여러 효소에 의해 조절되는

가역적 과정입니다 [17].

 

시스테인 잔기는

디설파이드 결합을 통해 글루타티온을 가역적으로 추가하는

S-글루타티온화 작용에 의해

“과산화”로부터 보호될 수 있습니다.

 

과산화는

시스테인 설펜산을 시스테인 설핀산으로,

그리고 최종적으로 술폰산으로 더 산화시키는 과정을 말합니다 [18].

 

시스테인 설페닉산과 설핀산 변형은

글루타레독신에 의한 설핀산의 환원,

S-글루타티온화를 통한 설핀산의 접합,

글루타레독신 또는 설피레독신에 의한 탈글루타티온화에 의해 역전될 수 있습니다.

 

과산화 생성물인 시스테인 설폰산은

돌이킬 수 없는 손상을 입게 되고,

향을 받은 단백질은 프로테아좀에 의해 분해되어야 합니다 [19].

 

산화적 변형이 일어나는

또 다른 황 함유 아미노산은

메티오닌입니다(그림 1B).

 

메티오닌이

메티오닌 설폭사이드로 비효소적으로 산화되는 것과는 대조적으로,

메티오닌의 환원은 메티오닌 설폭사이드 환원효소에 의해 촉매됩니다[20].

 

추가적인 산화는 메티오닌 설폰의 형성을 초래하는데,

이것은 메티오닌 설폭사이드 환원효소에 의해 촉매되지 않으며,

안정적 변형으로 간주되어야 합니다[21].

 

2.2. Oxidation of aromatic moieties

Aromatic functionalities of amino acids are excellent targets of protein oxidation (Fig. 2). In particular, tyrosine is a redox active structure. The phenolic side-chain is easily oxidized, because the intermediary tyrosyl radical is stabilized by mesomeric delocalization of the unpaired electron (Fig. 2A) [22]. The tyrosyl radical can react with another tyrosyl radical. After enolization, the main product of this reaction is the fluorescent protein crosslink ortho,ortho-dityrosine [23].

 

2.2. 방향족 작용기의 산화

 

아미노산의 방향족 작용기는

단백질 산화의 훌륭한 표적입니다(그림 2).

 

방향족 아미노산 --- 페닐알라닌, 티로신, 트립토판

 

 

특히,

티로신은

산화 환원 활성 구조입니다.

 

페놀 측쇄는

중간 티로실 라디칼이 짝을 이루지 않은 전자의 메조머리 전이 화합물에 의해 안정화되기 때문에

쉽게 산화됩니다(그림 2A) [22].

 

티로실 라디칼은

다른 티로실 라디칼과 반응할 수 있습니다.

 

에놀화 반응 후,

이 반응의 주요 생성물은 형광 단백질 교차결합 오르토, 오르토-디티로신 [23]입니다.

 

Fig. 2.

Open in a new tab

Oxidation of aromatic amino acids. Oxidation of tyrosine is favored by the intermediary tyrosyl radical and leads to the stable modifications dihydroxyphenylalanine and dityrosine (A). Unusual tyrosine isomers like ortho-tyrosine are generated by oxidation of phenylalanine residues (B). Oxidation of tryptophan is the initial step of the N-formyl kynurenine reaction cascade (C). The stable modification 2-oxohistidine is formed by histidine oxidation (D).

 

방향족 아미노산의 산화.

티로신의 산화는 티로실 라디칼에 의해 촉진되며, 디하이드록시페닐알라닌과 디티로신(A)의 안정적인 변형으로 이어집니다.

 

오르소-티로신과 같은 특이한 티로신 이성질체는 페닐알라닌 잔기의 산화에 의해 생성됩니다(B).

 

트립토판의 산화는 N-포르밀 키누레닌 반응 캐스케이드의 초기 단계입니다(C).

 

안정적인 변형 2-옥소히스티딘은 히스티딘의 산화(D)에 의해 형성됩니다.

 

Reaction of protein bound tyrosyl radicals with hydroxyl radicals leads to 3-hydroxytyrosine, which is an analogue of the neurotransmitter 3,4-dihydroxyphenylalanine (DOPA) [24]. Beside proteinogenic para-tyrosine, the abnormal isomers ortho- and meta-tyrosine can be formed by oxidation of phenylalanine residues via hydroxyl radicals (Fig. 2B) [25]. Tryptophan is oxidized by hydroxyl radicals to hydroxytryptophan, which is cleaved by oxygen to yield N-formyl kynurenine (Fig. 2C) [26]. Oxidation of histidine by metal catalyzed reaction with hydroxyl radicals leads to 2-oxohistidine (Fig. 2D) [27,28].

 

단백질 결합 티로실 라디칼과 하이드록실 라디칼의 반응은

신경 전달 물질인 3,4-디하이드록시페닐알라닌(DOPA)의 유사체인

3-하이드록시티로신을 생성합니다[24].

 

단백질 생성 파라티로신 외에도,

페닐알라닌 잔기의 산화에 의해 수산기를 통해

비정상적인 이성질체인 오르토티로신과 메타티로신이 형성될 수 있습니다(그림 2B)[25].

 

트립토판은

하이드록실 라디칼에 의해 산화되어

하이드록시트립토판이 되고,

이 물질은 산소에 의해 분해되어 N-포르밀 키누레닌(그림 2C)이 생성됩니다[26].

 

히스티딘은

금속 촉매 하에 하이드록실 라디칼과 반응하여

2-옥소히스티딘(그림 2D)이 생성됩니다[27,28].

 

2.3. Glycoxidation

The basic amino acids lysine and arginine are readily modified by glycation. The reaction results in the formation of intermediate Amadori products and subsequently advanced glycation endproducts (AGEs). The protein modifications are formed by the nucleophilic reaction of amino acid residues with reductive sugars or their reactive degradation products (α-dicarbonyl compounds). It is important to note that the formation of AGEs does not generally require oxidative conditions and only selected AGEs are generated by oxidation. This special subset of AGEs is called glycoxidation products, because they are formed by a combination of glycation and oxidation (Fig. 3) [29]. This review focuses on glycoxidation products as feasible markers of combined oxidative and carbonyl stress. A more general overview of AGE structures and underlying mechanisms of the Maillard reaction in vivo can be found elsewhere [30,31].

 

2.3. 글리코옥시화

 

기본 아미노산인 라이신과 아르기닌은

당화에 의해 쉽게 변형됩니다.

 

이 반응의 결과로

중간체 아마도리 생성물 Amadori products 과

그 이후의 최종 당화 산물(AGE)이 형성됩니다.

 

 

단백질 변형은

환원성 당 또는 그 반응성 분해 생성물(α-디카르보닐 화합물)과

아미노산 잔기의 친핵성 반응에 의해 형성됩니다.

 

AGE의 형성은

일반적으로 산화 조건을 필요로 하지 않으며,

선택된 AGE만이 산화에 의해 생성된다는 점에 유의해야 합니다.

 

AGE의 이 특별한 하위 집합은

당화(glycation)와 산화(oxidation)의 결합에 의해 형성되기 때문에

당산화 산물(glycoxidation products)이라고 불립니다(그림 3) [29].

 

이 리뷰는

산화 스트레스와 카르보닐 스트레스의 결합을 나타내는 가능한 지표로서

당산화 산물에 초점을 맞추고 있습니다.

 

생체 내 Maillard 반응의 AGE 구조와 근본적인 메커니즘에 대한

보다 일반적인 개요는 다른 곳에서 찾을 수 있습니다 [30,31].

 

 

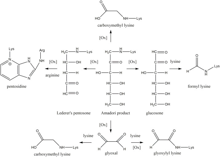
Fig. 3.

Open in a new tab

Formation of glycoxidation products.

A special subset of advanced glycation endproducts is exclusively formed under oxidative conditions including the prominent modifications carboxymethyl lysine and pentosidine. The novel modifications glyoxylyl and formyl lysine are potential biomarkers of oxidative stress based on their formation pathways.

 

당화 산물 형성.

 

고급 당화 최종 산물 중 특별한 하위 집합은

산화 조건 하에서 독점적으로 형성되며,

여기에는 카르복시메틸라이신과 펜토시딘의 두 가지 주요 변형이 포함됩니다.

 

 

글리옥실릴과 포르밀라이신의 새로운 변형은

형성 경로를 기반으로

산화 스트레스의 잠재적 바이오마커입니다.

 

The most prominent and one of the most abundant AGEs in vivo is carboxymethyl lysine (CML), which was extensively reviewed before [[32][33][34]]. CML was the first discovered glycoxidation product and is formed by oxidative degradation of fructoselysine (Amadori product) [35]. An alternative pathway is the reaction between the α-dicarbonyl compound glyoxal and lysine leading to CML formation via an isomerization mechanism [36]. Although the latter mechanism is non-oxidative, the reactive precursor glyoxal is mainly formed by oxidative degradation of carbohydrates, lipids, nucleotides, and serine [37]. The oxidation of the central enaminol intermediate of this isomerization cascade results in the formation of the α-oxoamide AGE glyoxylyl lysine. Compared to CML this structure is an even more sensitive marker of oxidative stress, because the precursor glyoxal and in addition the formation of glyoxylyl lysine itself rely on oxidative processes [38].

 

Another well-known glycoxidation product is pentosidine, a crosslink between lysine and arginine residues. Despite the rather low abundance of pentosidine, it was one of the first discovered AGEs due to its specific fluorescence [39]. Pentoses were at first postulated as the main source of the C5 backbone in pentosidine [40]. Later studies proved the oxidative cleavage of C6 structures such as glucose to yield pentosidine as well [41]. Beside oxidatively formed glycoxidation products some AGEs are mainly formed by precursors which are generated by oxidation. An excellent example is the oxidation of glucose or Amadori product thereof to glucosone [42]. A major product of lysine mediated cleavage of glucosone is formyl lysine [43]. Recently, formyl lysine was discovered in very high quantities in various murine tissues and histones [44,45]. Alternative pathways of formyl lysine formation such as formyl phosphate [46] and formaldehyde metabolism [47] were reported in the literature. All postulated mechanisms require an oxidation step and first experiments in cell culture give rising evidence of correlation between formyl lysine concentration and oxidative stress [46].

 

가장 눈에 띄고

생체 내에서 가장 풍부한 AGE 중 하나는

카르복시메틸라이신(CML)입니다.

 

이 물질은 이전에 광범위하게 검토된 바 있습니다[[32], [33], [34]].

 

CML은

최초로 발견된 당산화 산물이며,

프럭토세린(아마도리 생성물)의 산화 분해에 의해 형성됩니다[35].

 

또 다른 경로는

α-디카르보닐 화합물인 글리옥살과 리신이 이성질체화 메커니즘을 통해

CML을 형성하는 반응입니다 [36].

 

후자의 메커니즘은

비산화적이지만, 반응성 전구체인 글리옥살은

주로 탄수화물, 지질, 뉴클레오티드, 세린의 산화 분해에 의해 형성됩니다 [37].

 

이 이성질체화 캐스케이드의 중심적인 에나미놀 중간체의 산화는

α-옥소아미드 AGE 글리옥실릴 리신의 형성을 초래합니다.

 

CML과 비교했을 때,

이 구조는 산화 스트레스의 훨씬 더 민감한 지표입니다.

 

왜냐하면

전구체 글리옥살과 글리옥실릴 리신 자체의 형성이

산화 과정에 의존하기 때문입니다 [38].

 

또 다른 잘 알려진 글리코옥시드화 산물은

라이신과 아르기닌 잔기 사이의 교차결합체인

펜토시딘입니다.

 

펜토시딘의 존재량은 매우 적지만,

특정한 형광을 띠기 때문에

최초로 발견된 AGE 중 하나입니다 [39].

 

펜토시딘의 C5 골격의 주요 공급원으로 펜토스가 처음에 가정되었습니다 [40]. 이후의 연구에 따르면, 포도당과 같은 C6 구조가 산화 분해되어 펜토시딘도 생성된다는 사실이 밝혀졌습니다 [41]. 산화적으로 형성된 당산화 산물 외에도, 일부 AGE는 주로 산화에 의해 생성되는 전구체에 의해 형성됩니다. 그 대표적인 예가 포도당 또는 그 아마다리 생성물의 글루코손으로의 산화입니다 [42]. 글루코손의 리신 매개 분해의 주요 산물은 포르밀 리신입니다 [43]. 최근에 포르밀 라이신이 다양한 쥐 조직과 히스톤에서 매우 많은 양으로 발견되었습니다 [44,45]. 포르밀 포스페이트 [46]와 포름알데히드 대사 [47]와 같은 포르밀 라이신의 대체 형성 경로가 문헌에 보고되었습니다. 모든 가정된 메커니즘은 산화 단계를 필요로 하며, 세포 배양에서의 첫 번째 실험은 포르밀 라이신 농도와 산화 스트레스 사이의 상관 관계에 대한 증거를 제시합니다 [46].

 

 

2.4. Lipoxidation

As mentioned above the CML precursor glyoxal can be formed by carbohydrate degradation and lipid oxidation. Hence, CML is not only considered as an AGE, but also as an advanced lipoxidation endproduct (ALE) [48]. ALEs are protein modifications formed by the nucleophilic reaction of proteins with reactive carbonyl species (RCS) originating from oxidative lipid degradation [49]. A complete overview of ALE structures with their respective precursors and mechanisms of formation was previously published [50].

 

During lipid oxidation, a plethora of distinct RCS is formed, which can be categorized as α/β unsaturated, keto aldehyde, and dialdehyde RCS. One of the most abundant dialdehyde RCS resulting from lipid peroxidation is malondialdehyde (MDA). MDA is less reactive compared to other RCS, because at physiological pH it enolizes to β-hydroxyacrolein and the enolate is formed by loss of a proton [51]. Only the protonated β-hydroxyacrolein is attacked by lysine yielding the key intermediate N-propenal lysine (Fig. 4A) [52]. An enamine crosslink is formed by reaction of N-propenal lysine with a second lysine residue [53]. Alternatively, reaction with a second MDA molecule and acetaldehyde, which is a MDA degradation product, results in formation of the fluorescent dihydropyridine (DHP) product lysine 4-methyl-1,4-dihydro-3,5-dicarbaldehyde [54]. This DHP derivative can react with another lysine residue and MDA to form the fluorescent 3,5-diformyl-1,4-dihydropyridin-4-yl-pyridinium crosslink [55]. Reaction between N-propenal lysine and arginine is the main source of the lysine-arginine crosslink 2-ornithinyl-4-methyl(1ε-lysyl)-1,3-imidazole [56].

 

2.4. 지질산화

위에서 언급한 바와 같이, CML의 전구체인 글리옥살은 탄수화물의 분해와 지질의 산화에 의해 형성될 수 있습니다. 따라서, CML은 AGE로 간주될 뿐만 아니라, 지질산화 최종 산물(ALE)로도 간주됩니다 [48]. ALE는 산화 지질 분해에서 비롯된 반응성 카르보닐 종(RCS)과 단백질의 친핵성 반응에 의해 형성되는 단백질 변형입니다 [49]. ALE 구조와 각각의 전구체, 형성 메커니즘에 대한 전체적인 개요는 이전에 출판된 바 있습니다 [50].

 

지질 산화 과정에서, α/β 불포화, 케토 알데히드, 디알데히드 RCS로 분류될 수 있는 수많은 독특한 RCS가 형성됩니다. 지질 과산화로 인해 생성되는 가장 풍부한 디알데히드 RCS 중 하나는 말론디알데히드(MDA)입니다. MDA는 다른 RCS에 비해 반응성이 낮습니다. 생리학적 pH에서 β-하이드록시아크롤레인으로 에놀화되고, 에놀레이트는 양성자 손실에 의해 형성되기 때문입니다[51]. 양성자화된 β-하이드록시아크롤레인만이 리신에 의해 공격받아 주요 중간체 N-프로페날리신(그림 4A)을 생성합니다[52]. 엔아민 가교는 N-프로펜알라이신과 두 번째 라이신 잔기 사이의 반응에 의해 형성됩니다 [53]. 또는, 두 번째 MDA 분자와 MDA 분해 산물인 아세트알데히드와의 반응은 형광성 디하이드로피리딘(DHP) 생성물인 라이신 4-메틸-1,4-디하이드로-3,5-디카르발데히드 [54]의 형성을 초래합니다. 이 DHP 유도체는 다른 리신 잔기와 MDA와 반응하여 형광성 3,5-디포르밀-1,4-디하이드로피리딘-4-일-피리디늄 가교 [55]를 형성할 수 있습니다. N-프로페닐라이신과 아르기닌 사이의 반응은 라이신-아르기닌 교차결합 2-오르니티닐-4-메틸(1ε-라이실)-1,3-이미다졸 [56]의 주요 원천입니다.

 

Fig. 4.

Open in a new tab

Formation of lipoxidation products. Complex reaction cascades of malondialdehyde (A) and 4-hydroxynonenal (B) are briefly summarized and important protein modifications presented.

 

Another important example for α/β unsaturated RCS is 4-hydroxy-2-nonenal (4-HNE). The carbonyl function pulls away electrons from the alkene group resulting in electron deficiency at the β-carbon of 4-HNE. This positive partial charge is attacked by nucleophiles such as cysteine and histidine and stable Michael adducts are formed (Fig. 4B) [50]. Nucleophilic attack of lysine forms unstable Michael adducts, which require reduction, e.g., by sodium borohydride prior to analysis [57]. The open forms of Michael adducts of 4-HNE and nucleophiles are in an equilibrium with their favored cyclic hemiacetal form [58]. Beside nucleophilic attack at the alkene group, reversible formation of Schiff bases between the carbonyl function and lysine residues is a common reaction. In analogy to the Michael adduct the Schiff Base is stabilized by cyclization as a pyrrole [59]. Alternatively, attack of nucleophiles results in a mixed Michael adduct and Schiff base intermediate [60], which is stabilized as a cyclic hemiaminal [61]. Oxidation of the Schiff base and attack of a second lysine residue yields a fluorescent pyrrolinium crosslink [62].

 

α/β 불포화 RCS의 또 다른 중요한 예는 4-하이드록시-2-노네날(4-HNE)입니다. 카르보닐 작용기가 알켄 그룹으로부터 전자를 끌어내어 4-HNE의 β-탄소에 전자 결핍이 발생합니다. 이 양전하 부분 전하는 시스테인이나 히스티딘과 같은 친핵체에 의해 공격받고, 안정적인 마이클 부가물이 형성됩니다(그림 4B) [50]. 리신의 친핵성 공격은 불안정한 마이클 부가물을 형성하는데, 이 부가물은 분석 전에 수소화붕소나트륨 등을 이용하여 환원되어야 합니다 [57]. 4-HNE와 친핵체의 마이클 부가물의 개방형 형태는 선호하는 고리형 반쪽 아세탈 형태와 평형을 이루고 있습니다 [58]. 알켄 그룹에서의 친핵성 공격 외에도, 카르보닐기와 리신 잔기 사이의 쉬프 염기의 가역적 형성이 일반적인 반응입니다. 마이클 부가 반응과 유사하게, 쉬프 염기는 피롤[59]로서 고리화되어 안정화됩니다. 또는, 친핵체의 공격은 혼합 마이클 부가 반응과 쉬프 염기 중간체[60]를 생성하며, 이는 고리형 반아민[61]으로서 안정화됩니다. 쉬프 염기의 산화와 두 번째 리신 잔기의 공격은 형광 피롤리늄 가교[62]를 생성합니다.

 

2.5. Carbonylation

Protein carbonylation is a stable modification induced by ROS via three pathways: direct oxidation of protein-bound amino acids, oxidative cleavage of the protein backbone, and incorporation of carbonyls from glycoxidation or lipoxidation [63]. The latter option has been described in the above chapters. Aminoadipic and glutamic semialdehyde are examples for direct oxidation of amino acids and responsible for about 60% of total protein carbonylation in liver [64]. Formation of aminoadipic semialdehyde requires hydroxyl radical mediated abstraction of the hydrogen located next to the N6-amino function of lysine, metal-catalyzed oxidation of the carbon-centered radical, and hydrolysis of the resulting imine (Fig. 5A). A similar reaction scheme leads to glutamic semialdehyde, in which the proton next to the guanidino function of arginine or the proton next to the nitrogen of the proline pyrrole ring is abstracted, the carbon radical is oxidized, and the intermediate is hydrolyzed (Fig. 5B) [65].

 

2.5. 카르보닐화

단백질 카르보닐화는 세 가지 경로를 통해 ROS에 의해 유도되는 안정적인 변형입니다:

 

단백질에 결합된 아미노산의 직접 산화,

단백질 골격의 산화적 절단, 그리고

당산화 또는 지질산화로부터의 카르보닐의 통합 [63].

 

후자의 옵션은 위의 장에서 설명되었습니다.

 

아미노아디픽산과 글루탐산 반산화물은 아미노산의 직접 산화를 보여주는 예이며, 간에서 전체 단백질 카르보닐화의 약 60%를 담당합니다 [64]. 아미노아디픽산 반산화물의 형성은 리신의 N6-아미노 작용기 옆에 위치한 수소의 수산기 라디칼 매개 추상화, 탄소 중심 라디칼의 금속 촉매 산화, 그리고 그 결과로 생성된 이미인의 가수분해(그림 5A)를 필요로 합니다. 비슷한 반응 체계는 글루탐산 반알데히드로 이어지며, 이 과정에서 아르기닌의 구아니딘 작용기 옆에 있는 양성자 또는 프롤린 피롤 고리의 질소 옆에 있는 양성자가 추출되고, 탄소 라디칼이 산화되며, 중간체가 가수분해됩니다(그림 5B) [65].

 

Fig. 5.

Open in a new tab

Pathways of protein carbonylation. Lysine and proline residues are vitally important precursors of protein carbonylation by oxidative formation of aminoadipic semialdehyde (A) and glutamic semialdehyde (B), respectively. Oxidative cleavage of peptide backbone results in protein carbonylation via diamide and α-amidation pathways (C). Formation of 2-pyrrolidone by oxidation of prolyl containing peptide (D).

 

Generally, oxidative cleavage of the peptide backbone is initiated by superoxide mediated alkoxyl radical formation at the α-carbon next to a peptide bond. The alkoxyl radical fragments either by the homolytic cleavage of the carbon-carbon bond (diamide pathway) or the carbon-nitrogen bond (α-amidation pathway) (Fig. 5C). The diamide pathway results in a diamide and isocyanate, while a Nα-ketoacyl derivative and an amide are the endproducts of the α-amidation pathway [66]. Additionally, oxidative cleavage of the peptide backbone by specific mechanism can be facilitated by prolyl, glutamyl, and aspartyl residues [67]. As an example, protein bound proline is oxidized to the 2-pyrrolidone peptide under carbon-carbon cleavage (Fig. 5D) [68].

 

단백질 카르보닐화의 경로. 라이신과 프롤린 잔기는 각각 아미노아디프산(A)과 글루탐산(B)의 산화적 형성을 통해 단백질 카르보닐화의 중요한 전구물질이 됩니다. 펩타이드 골격의 산화적 분해는 디아미드와 α-아미드화 경로를 통해 단백질 카르보닐화를 초래합니다(C). 프롤릴 함유 펩타이드의 산화에 의한 2-피롤리돈의 형성(D).

 

일반적으로, 펩타이드 골격의 산화적 절단은 펩타이드 결합 옆의 α-탄소에서 슈퍼옥사이드 매개 알콕실 라디칼 형성에 의해 시작됩니다. 알콕실 라디칼은 탄소-탄소 결합(디아미드 경로) 또는 탄소-질소 결합(α-아미드화 경로)의 동분해적 절단에 의해 파편화됩니다(그림 5C). 디아미드 경로는 디아미드와 이소시아네이트를 생성하는 반면, Nα-케토아실 유도체와 아미드는 α-아미드화 경로의 최종 산물입니다 [66]. 또한, 프롤릴, 글루타민, 아스파르트 잔기들은 특정한 메커니즘에 의해 펩타이드 골격의 산화 분해를 촉진할 수 있습니다 [67]. 예를 들어, 단백질 결합 프로틴은 탄소-탄소 절단(그림 5D) [68]에 의해 2-피롤리돈 펩티드로 산화됩니다.

 

2.6. Nitration/nitrosylation

Nitric oxide (•NO) is an important signaling molecule involved in vasodilation and neurotransmission via activation of soluble guanylate cyclase and generation of the second messenger cGMP [69]. Formation of •NO is catalyzed by three isoforms of nitric oxide synthase (NOS) (Fig. 6): endothelial NOS, neuronal NOS or inducible NOS. All NOS isoforms use arginine and oxygen to produce citrulline and •NO [70]. Apart from its role in cell signaling •NO readily reacts with superoxide anions forming RNS such as peroxynitrite and nitrogen dioxide [71]. These RNS are potent oxidizing agents in vivo [72]. Additionally, •NO or higher nitrogen oxides including dinitrogen trioxide (N2O3) can directly and reversibly modify cysteine residues by S-nitrosation [73]. The irreversible modification 3-nitrotyrosine (3-NT) is formed by nitration of tyrosine via attack of the nitrogen dioxide radical at the ortho-position of the aromatic ring [74].

 

2.6. 질화/니트로화

산화질소(•NO)는 수용성 구아닐레이트 사이클라제의 활성화와 두 번째 메신저 cGMP의 생성을 통해 혈관 확장 및 신경 전달에 관여하는 중요한 신호 전달 분자입니다 [69]. •NO의 형성은 세 가지 형태의 산화질소 합성효소(NOS)에 의해 촉매 작용을 받습니다(그림 6): 내피 NOS, 신경질 NOS 또는 유도성 NOS. 모든 NOS 이소폼은 아르기닌과 산소를 사용하여 시트룰린과 •NO를 생성합니다 [70]. 세포 신호 전달에서의 역할 외에도 •NO는 슈퍼옥사이드 음이온과 쉽게 반응하여 퍼옥시니트라이트와 이산화질소와 같은 RNS를 형성합니다 [71]. 이러한 RNS는 생체 내에서 강력한 산화제입니다 [72]. 또한, •NO 또는 그 이상의 질소산화물(삼산화질소(N2O3) 포함)은 S-니트로화 작용을 통해 시스테인 잔기를 직접적이고 가역적으로 변형시킬 수 있습니다 [73]. 비가역적 변형 3-니트로티로신(3-NT)은 방향족 고리의 오르토 위치에서 이산화질소 라디칼의 공격에 의한 티로신의 니트로화에 의해 형성됩니다 [74].

 

Fig. 6.

Open in a new tab

Generation of reactive nitrogen species (RNS). Nitric oxide synthase (NOS) catalyzes the generation of nitric oxide, which is the precursor of S-nitrosylation and nitration.

 

3. Analysis of oxidative protein modifications

The high chemical diversity and plethora of oxidative protein modifications is reflected in various techniques which are currently used to detect modified proteins. This can be accomplished by analyzing the whole proteome, specific proteins, and even solely certain modifications. The following section focuses on general techniques to analyze protein oxidation which are summarized in Fig. 7.

 

3. 산화 단백질 변형 분석

높은 화학적 다양성과 산화 단백질 변형의 과다함은 현재 변형 단백질을 검출하는 데 사용되는 다양한 기술에 반영되어 있습니다. 이것은 전체 단백질체, 특정 단백질, 심지어 특정 변형만을 분석함으로써 달성할 수 있습니다. 다음 섹션에서는 그림 7에 요약되어 있는 단백질 산화를 분석하는 일반적인 기술에 초점을 맞춥니다.

 

Fig. 7.

Open in a new tab

Analysis of oxidative protein modifications. Proteins are oxidized by ROS. Subsequent molecular changes can be analyzed for individual proteins, peptides or modified amino acids. Depending on the choice of analytes, different analysis techniques are available. Among the presented methods, mass spectrometry is the most accurate technique and its application shall be further increased for biological samples to advance the knowledge regarding protein oxidation.

 

산화 단백질 변형 분석. 단백질은 ROS에 의해 산화됩니다. 이후의 분자 변화는 개별 단백질, 펩타이드 또는 변형된 아미노산에 대해 분석할 수 있습니다. 분석 대상의 선택에 따라 다양한 분석 기법을 사용할 수 있습니다. 제시된 방법 중 질량 분석법이 가장 정확한 기법이며, 단백질 산화에 대한 지식을 발전시키기 위해 생물학적 샘플에 대한 질량 분석법의 적용이 더욱 증가할 것입니다.

 

3.1. Sample preparation

Great attention should be paid on sample preparation to ensure reliable and reproducible analysis results. Preservation of biologically oxidized modifications and minimization of artifactual events at the same time are the biggest challenges and of utmost importance. Rogowska-Wrzesinska et al. [75] point out that proteins are not the only target of oxidation processes in biological samples. Oxidized molecules, such as nucleic acids and lipids, can cause high background signals, interfere with analysis procedures or can further promote oxidation reactions. An example for the latter is the formation of AGEs and ALEs from reaction of oxidized carbohydrates or lipids with proteins. Extraction steps might be applied to reduce the number of interfering compounds. Simultaneously, this leads to enrichment of proteins-of-interest which might be of importance for low abundant proteins [76]. Chemicals used for protein extraction should be chosen with caution since some of them can interfere with the protein oxidation analysis. For example, mild reducing agents such as dithiothreitol (DTT) and mercaptoethanol may reduce some protein oxidation products such as disulfides and carbonyl groups, respectively, making them unavailable for detection [77,78]. In addition, atmospheric oxygen and free metal ions can accelerate oxidation. To avoid overestimation of modified proteins due to sample preparation, it might be helpful to use derivatization reagents such as 2,4-dinitrophenylhydrazine (DNPH) or p-aminobenzaldehyde [75]. With derivatization, biological modifications are captured and stabilized and new modifications, resulting from further sample handling, are not contributing to the measured values. Chemical labeling of modifications offers the possibility of enrichment by isolating a specific modification from complex samples by affinity chromatography. Enrichment can be performed based on chemical reactivity, resin capture agents or antibodies for the modification or chemical tag [79]. Depending on the subsequent analysis technique, chemical tags might be removed or can even facilitate downstream analysis (e.g. DNPH as a matrix for matrix assisted laser desorption ionization mass spectrometry (MALDI-MS) of carbonylated proteins) or chemical tags function as reporters during MS analysis [80]. It can be crucial to perform sample preparation as quickly as possible after sampling to prevent changes from the biological oxidation pattern or formation of artifacts. Moreover, standardization of methods and reference material can help to obtain consistent results. There are commercially available oxidized proteins which can be used to regularly check analytical results. However, data on exact degree of modification provided by the supplier is limited. In most cases, the specific types and sites of modifications are not identified.

 

3.2. Analysis of specific oxidation products

The analysis of specific oxidation products is crucial to reveal the chemistry behind oxidation and give information about the protein involved in oxidation. Furthermore, depending on the method, targeted analysis provides quantitative or at least semi-quantitative data.

 

3.2.1. Spectrophotometric methods

Protein oxidation can lead to the introduction of carbonyl groups into amino acid residues of the protein (see Fig. 5). The derivatization of this functional group with carbonyl-specific reagents provides a method to detect and quantify protein carbonylation [81]. The most common method to analyze protein carbonylation is the reaction with 2,4- dinitrophenylhydrazine (DNPH) (Fig. 8).

Fig. 8.

Open in a new tab

Quantitation of protein carbonylation. Carbonyl groups are stabilized by derivatization with 2,4-dinitrophenylhydrazine (DNPH). The resulting hydrazones are quantified using a spectrophotometer, specific antibodies, or are analyzed using LC-MS.

The resulting hydrazones are quantified spectrophotometrically or by immunological methods. Sample preparation and derivatization conditions for the determination of protein carbonyls were extensively reviewed elsewhere [82]. In brief, oxidized proteins are incubated with an excess of DNPH for complete derivatization of carbonyl groups. Unbound DNPH needs to be removed from the sample, because it absorbs at the same wavelength as hydrazones (λ = 370 nm). Several washing steps of the protein are required to remove unbound DNPH leading to an inevitable loss of protein of up to 10–15% [75]. An alternative assay to overcome the limitations of the classical DNPH assay was developed by Mesquita et al. [83]. DNPH-derivatized protein solution is neutralized with sodium hydroxide prior to spectrophotometric measurement. Neutralization shifts the absorbance of protein-conjugated hydrazones from 370 nm to 450 nm, thereby eliminating the interference with unbound DNPH. According to the authors, no further washing steps are required. It is important to notice that carbonyl compounds can also be formed during lipid peroxidation and the Maillard reaction, leading to an overestimation of protein oxidation. The accessibility and reactivity of carbonyl groups depends on the tertiary structure of proteins. Protein crosslinking or pronounced tertiary structures can hide DNPH-active carbonyl structures inside of proteins making them unavailable for detection. An important drawback of the DNPH method is its unspecific nature towards other oxidation products besides carbonyl groups. It was mentioned by Hellwig [84] that sulfenic acids, which are not of carbonyl form, still react in the assay.

In 2019, Ma and colleagues described a novel method for the detection of carbonylated proteins by frequency-shift based surface-enhanced Raman spectroscopy immunoassay, eliminating potential interferences by introducing a capture antibody [85]. Besides this, LC-MS/MS has been also used for proteomic analysis to identify carbonylated proteins, providing a more sensitive approach, but reveal limitations for quantitative assessments [86].

 

3.2.2. Fluorescence

Fluorescence spectroscopy can serve as a sum parameter for overall protein oxidation. It needs to be considered that several oxidative and also glycoxidative modifications of amino acid residues can contribute to fluorescence signals. The limited selectivity is a major drawback of fluorescence spectroscopy for studying protein oxidation products. However, because of its sensitivity, robustness and the minimal instrumental requirements, fluorescence spectroscopy became a popular approach in protein modification analysis. A selection of fluorescent oxidation products is shown in Table 1. Dityrosine and N-formyl kynurenine are formed by oxidation, whereas other compounds, such as pentosidine and the “aging pigment” lipofuscin, are formed by glycation and/or oxidation reactions. Since several fluorophores, each with a different specific fluorescence, contribute to the total fluorescence of biological samples, no quantitative calibration can be achieved. Since fluorescence is not limited to oxidation products, the method without prior chromatographic separation is only of minor importance for biomarker analysis of protein oxidation.

 

Table 1.

Fluorophores derived from oxidation or glycation reactions [84,163].

Fluorescent structureëex/em [nm]Reference

Dityrosine283/409[201]
N-Formyl kynurenine325/434[202]
Kynurenine365/480[202]
Lipofuscin366/570-605[203]
“AGE fluorescence”330-350/420-440[204,205]
Imidazolone320/398[206]
Argpyrimidine320/385[207]
Pentosidine335/385[40]

Open in a new tab

3.2.3. Immunochemical methods

Immunological techniques are widely used to identify modified protein residues. Reduced antibody binding to native epitopes indicates modification of binding sites and can be a marker of oxidative changes. Depending on the degree of modification, oxidative damage can also lead to increased antibody binding. This was shown in several studies examining the effect of hypochlorous acid on extracellular matrix proteins [87,88]. The rather high sensitivity of immunological methods and easy-to-carry-out protocols boosted the number of biological studies working with immunoblotting or enzyme linked immunosorbent assay (ELISA). Various commercially available monoclonal and polyclonal antibodies promise to detect specific protein oxidation products. Due to minimal instrumental requirements and straightforward experimental implementation, immunoassays became very popular for the analysis of protein modifications, especially in clinical applications. Immunological detection can be performed in complex mixtures or after separation, e.g., gel electrophoresis. Full chemical and structural characterization of antibody binding is crucial for the eval‎uation of its selectivity and sensitivity [89,90]. However, most commercial antibodies lack this characterization and their target epitopes remain unknown. Most antibodies detect different oxidation products which can be explained by poor antigen preparation and characterization. An alternative to the rather unspecific binding of antibodies to oxidation products might be the use of more selective antibodies raised against derivatization reagents. A prominent example is the anti-DNP antibody, which detects hydrazones resulting from the reaction of DNPH and carbonyl groups [91]. Besides structural uncertainty, absolute quantification is problematic with immunochemical methods. Most commercial suppliers of immunoassays provide standards in their kits. Since there is no market wide standardization of reference material, concentration values may vary depending on the used kit. Protein carbonyls, 3-NT and methionine sulfoxide are biomarkers of protein oxidation which are commonly analyzed via immunochemical methods [75,82,92].

 

3.2.4. Mass spectrometric methods

Mass spectrometry (MS) has been used for many years to identify and characterize proteins. Consequently, MS-based methods were developed to analyze protein oxidation products. Compared to other methods available, MS is currently the gold standard and arguably the most informative technique for protein analysis. It can be divided in “top-down” or “bottom-up” approaches which basically describes the protein treatment prior to analysis. “Top-down” means that intact proteins are introduced in the MS and their fragmentation patterns are assessed, whereas “bottom-up” requires enzymatic digestion of proteins to peptide fragments prior to MS analysis [79]. The latter is more common in proteome research and helped to sequence and identify proteins in biological samples. A special case of the “bottom-up” approach is complete digestion of the protein down to individual (modified) amino acids followed by MS analysis. It was used to investigate a wide range of oxidized amino acids, thus, identifying new oxidation products and allowing total quantification of a particular product. A drawback of complete digestion is the lack of information on the specific protein that has been modified, or the exact site of modification.

 

3.2.4.1. Top-down

The mass of intact proteins can be analyzed via MALDI (matrix-assisted laser desorption/ionization) or ESI (electrospray ionization) ionization techniques connected to high resolution mass analyzers, such as quadrupole-time-of-flight or orbitrap instruments. ESI results in various m/z ratios of the protein of interest, since more than one charge during ionization is usually acquired. Regarding ionization, ESI is the more common and often sensitive technique since the compilation of peaks can be used to calculate protein mass more accurately. Analysis of intact proteins requires no extensive handling of protein samples prior to MS analysis. However, since experimental spectra are compared to theoretical spectra to determine the modification status of proteins, mostly individual proteins are processed. Purification of complex protein mixture is especially challenging in biological samples. Top-down approaches can be helpful to eval‎uate the total modification status on an individual protein [[93][94][95][96]]. Small modifications with low abundancies require more sophisticated, high-resolution instruments such as Q-TOFs, Orbitraps or FT-ICR MS. Another option to explore minor modifications occurring on a small percentage of proteins is fragmentation of intact proteins. A selected protein ion (“precursor ion”) can be dissociated resulting in smaller charged fragments (“product ions”). Dissociation methods such as electron capture dissociation (ECD) and electron transfer dissociation (ETD) are particularly good at preserving labile posttranslational protein modifications. Besides recent advances in top-down MS approaches, a number of disadvantages require the additional performance of bottom-up measurements to receive valid data. For example, sequence coverage in biological samples remains quite low using top-down MS due to overlapping and deconvolution effects [79]. Moreover, complex proteins often need to be dissolved in buffer systems or detergents to ensure complete solubility, but ESI mass spectrometers are not compatible with many buffers and especially not with detergents. Thus, buffer salts need to be removed before analysis and if a protein is insoluble in detergent-free solutions, it cannot be analyzed by top-down MS. With regard to biological samples the main drawback of top-down MS is its limitation to analyze mostly individual proteins and its focus on targeted analysis of known proteins. Complex mixtures need to be purified extensively by liquid chromatography before top-down analysis. Finally, top-down analysis requires high amounts of purified proteins to acquire highly resolved peaks of precursor and product ions with sufficient intensity [97]. Taken together, top-down MS remains an attractive technique to eval‎uate the overall modification status of proteins, but due to its various drawbacks, complementary techniques, such as bottom-up proteomics, need to be employed to acquire a comprehensive understanding of the protein structure.

 

3.2.4.2. Bottom-up

Digestion of proteins to the peptide level prior to analysis is characteristic for bottom-up MS approaches. After digestion, specific labels (also called “tags”) can be introduced into the molecule, whereby a specific modification reacts with a chemical label which can then be analyzed with reporter ions. This technique facilitates the analysis of specific modifications in a peptide and is also able to determine the modification status of peptides. A prominent example for a labeling approach is the tagging of cysteine to monitor the reversible oxidation status [98,99]. However, more common in standard proteomics are unlabeled methods which have the advantage of less sample manipulation.

Bottom-up approaches can be divided in untargeted (“discovery” or “shot-gun”) and targeted approaches. For the detection of oxidative protein modifications, untargeted methods are only of limited help. The selection of precursor ions for subsequent fragmentation is usually performed automatically and depends on the abundancy of the corresponding ion in the MS scan. However, modified peptides often occur only at low abundancies making it unlikely that they are covered by untargeted approaches. New techniques use upstream scanning methods, which identify unique ions of oxidized residues that reveal the presence of oxidative modifications and subsequent fragmentation of the according peptides. In general, untargeted approaches are mostly used to scan for certain proteins in biological samples and check for proteome changes in samples of healthy versus diseased individuals and not to analyze specific protein modifications. The specificity for the identification of oxidative modifications is improved with semi-targeted and targeted methods. In the latter, precursor and product ion are known, whereas in semi-targeted approaches only the product ion can be used as a diagnostic tool. The presence of a specific fragment ion serves as a reporter for a certain modification. Especially on low resolution instruments, data eval‎uation should be treated with caution since isobaric ions from non-modified peptides can yield false-positive results [100]. At best, it is recommended to confirm‎ modification sites with synthetic modified peptides. Fully targeted analysis of oxidative protein modifications is the strategy with the highest sensitivity and most accurate quantification. This includes single reaction monitoring (SRM) and multiple reaction monitoring (MRM), where both the precursor ion and product ion masses are known for the corresponding analyte. For quantification, the abundance of the analyte ion intensities after appropriate normalization can directly be compared. The modification of a peptide may alter its ionization properties greatly, especially when ionizable groups are introduced or removed. This needs to be considered when comparing ion intensities between a certain peptide and its modified form. The most accurate method is certainly quantification with standard material of the oxidative modification of interest. However, since standard material is often not available, especially not in peptide form, this approach requires synthesis efforts or cannot always be implemented. To gain as much information as possible about the modification status of a protein of interest, it is useful to combine top down and bottom up mass spectrometric approaches and check whether a specific modification analyzed by targeted approaches can be confirmed by the loss of parent structures.

 

3.3. Analysis of total protein modification

A major challenge in analyzing protein modifications in biological samples is that unmodified reference material is commonly not available. However, the comparison of different sample groups (such as healthy and diseased) can provide important information without examining the exact modification site. One plausible approach is the analysis of protein structure that can provide information concerning the degree of protein modification without analyzing specific oxidation products. For example, aggregate formation can be monitored by gel electrophoresis or biophysical methods, such as light scattering or X-ray crystallography. However, these methods do not give any information about the type or site of modification and are therefore only of limited use for biomarker studies. A method which reveals modification site, but not the type of modification is amino acid analysis. By analyzing hydrolysates of native and modified protein samples, the amino acid composition can provide information about the loss of parent proteins, but also the formation of products [101]. Various protocols for the analysis of amino acids exist using derivatization with dansyl chloride or ortho-phthalaldehyde and subsequent HPLC-FLD [102,103] or HPLC-UV [104,105] or preparation of butyl esters followed by ion-pair LC-MS/MS [106]. For analysis of protein-bound amino acids, hydrolytic cleavage needs to be performed. Acid hydrolysis conditions lead to a loss of cysteine, cystine, and some tryptophan species, whereas alkaline conditions preserve tryptophan species, but breaks down arginine, serine, threonine and cysteine [107]. A mild method for proteolysis is enzymatic cleavage with nonspecific proteases. Depending on the parent protein, it might be useful to apply multistep enzymatic approaches [108]. Quantitative data can easily be achieved by using external calibration and, in case of MS analysis, internal isotope-labeled standards. Thus, amino acid analysis provides valuable information about the modification state of proteins. For detailed information on modification products and the types of proteins, MS analysis of peptides, as described above, is inevitable.

 

3.3. 총 단백질 변형 분석

생물학적 샘플에서 단백질 변형을 분석할 때 가장 큰 어려움은 변형되지 않은 기준 물질이 일반적으로 존재하지 않는다는 점입니다. 그러나 건강한 샘플과 병든 샘플 등 서로 다른 샘플 그룹을 비교하면 정확한 변형 부위를 조사하지 않고도 중요한 정보를 얻을 수 있습니다. 그럴듯한 접근법 중 하나는 특정 산화 생성물을 분석하지 않고도 단백질 변형 정도에 관한 정보를 제공할 수 있는 단백질 구조 분석입니다. 예를 들어, 겔 전기영동이나 광산란 또는 X-선 결정학 같은 생물물리학적 방법을 통해 응집체 형성을 모니터링할 수 있습니다. 그러나 이러한 방법은 변형 유형이나 변형 부위에 대한 정보를 제공하지 않으므로 바이오마커 연구에 사용하기에는 한계가 있습니다. 변형 부위는 알 수 있지만 변형 유형은 알 수 없는 방법은 아미노산 분석입니다. 천연 단백질과 변형 단백질 샘플의 가수분해물을 분석함으로써, 아미노산 조성은 모체 단백질의 손실뿐만 아니라 생성물의 형성에 대한 정보를 제공할 수 있습니다 [101]. 단실클로라이드 또는 오르토프탈알데하이드를 이용한 유도체화 후 HPLC-FLD [102,103] 또는 HPLC-UV [104,105] 또는 부틸 에스테르의 제조 후 이온쌍 LC-MS/MS [106]를 이용한 분석에 대한 다양한 프로토콜이 존재합니다. 단백질 결합 아미노산을 분석하려면 가수분해 분해가 필요합니다. 산 가수분해 조건은 시스테인, 시스틴, 그리고 일부 트립토판 종을 잃게 만드는 반면, 알칼리 조건은 트립토판 종을 보존하지만, 아르기닌, 세린, 트레오닌, 그리고 시스테인을 분해합니다 [107]. 단백질 분해의 온화한 방법은 비특이적 프로테아제를 이용한 효소 분해입니다. 모단백질에 따라 다단계 효소 접근법을 적용하는 것이 유용할 수 있습니다 [108]. 외부 교정을 사용하면 정량적 데이터를 쉽게 얻을 수 있으며, MS 분석의 경우 내부 동위원소 표지 표준을 사용할 수 있습니다. 따라서 아미노산 분석은 단백질의 변형 상태에 대한 중요한 정보를 제공합니다. 변형 산물과 단백질 유형에 대한 자세한 정보를 얻으려면 위에서 설명한 것처럼 펩티드의 MS 분석이 필수적입니다.

 

4. The relevance of biomarkers of protein oxidation in the context of human disease and aging

Research over the past decades displayed a substantial impact of protein oxidation in various human diseases, among others diabetes, cardiovascular disease (CVD), cancer, atherosclerosis, arthritis and neurodegenerative disease. It has been shown that most of these pathologic conditions increase as a function of age, indicating that oxidation of proteins occurs simultaneously to aging and age-related diseases [[109][110][111]]. Therefore, the identification of valid biomarkers of protein oxidation has an indispensable relevance to improve the understanding of human disease pathogenesis and provide an important tool to capture disease state as well as develop potential treatment strategies. In general, biomarkers for clinical application, typically measured in samples from body fluids and diverse tissues, have to fulfill certain requirements ranging from high sensitivity, specificity, reproducibility to reliability. Moreover, due to high sample throughput in clinical studies, methods should be affordable, convenient and robust as well as rapid and easy to perform [[112][113][114][115]]. Here, we aim to review the most chemically stable and frequently used biomarkers of protein oxidation in routine clinical diagnostics (summarized in Fig. 9), and discuss their strengths and limitations, based on the current state of research. Since several outstanding reviews of single or multiple biomarkers and their clinical and biological relevance have been published previously [110,116,117], we selected and focused on recent clinical studies between 2015 and 2020. The search strategy on PubMed database in November 2020 was composed of search terms of the individual biomarkers plus “human disease”, “human age-related disease”, or “human aging”.

 

4. 인간 질병과 노화의 맥락에서 단백질 산화 지표의 관련성

지난 수십 년 동안의 연구는 당뇨병, 심혈관 질환(CVD), 암, 죽상 동맥 경화증, 관절염, 신경 퇴행성 질환 등 다양한 인간 질병에서 단백질 산화가 상당한 영향을 미친다는 사실을 보여주었습니다. 이러한 병리학적 상태의 대부분은 나이가 들면서 증가하는 것으로 나타났습니다. 이는 단백질의 산화가 노화와 노화 관련 질병과 동시에 발생한다는 것을 의미합니다 [[109], [110], [111]]. 따라서, 단백질 산화에 대한 유효한 바이오마커를 확인하는 것은 인간 질병의 병인에 대한 이해를 높이고 질병 상태를 파악하고 잠재적인 치료 전략을 개발하는 데 중요한 도구가 될 것입니다. 일반적으로 임상적 응용을 위한 바이오마커는 체액과 다양한 조직의 샘플에서 측정되며, 높은 민감도, 특이성, 재현성, 신뢰성 등 특정 요구 사항을 충족해야 합니다. 또한 임상 연구에서 샘플 처리량이 많기 때문에, 방법은 저렴하고 편리하며 견고해야 할 뿐만 아니라 빠르고 쉽게 수행할 수 있어야 합니다 [[112], [113], [114], [115]]. 여기서는 일상적인 임상 진단에서 단백질 산화 반응의 화학적 안정성이 가장 높고 자주 사용되는 바이오마커를 검토하고(그림 9에 요약), 현재 연구 상태를 바탕으로 그 강점과 약점에 대해 논의하고자 합니다. 단일 또는 다중 바이오마커와 그 임상적, 생물학적 관련성에 대한 몇 가지 뛰어난 리뷰가 이전에 발표되었기 때문에(110,116,117), 2015년부터 2020년까지의 최근 임상 연구에 초점을 맞추어 선택했습니다. 2020년 11월 PubMed 데이터베이스의 검색 전략은 개별 바이오마커의 검색어와 “인간 질병”, “인간 노화 관련 질병”, 또는 “인간 노화”로 구성되었습니다.

 

Fig. 9.

Open in a new tab

Schematic overview of frequently used biomarkers of protein oxidation. Their strengths, limitations, and relevance as biomarkers in human diseases and aging are discussed in sections 4.1–4.6, based on the current state of research. For further details see also Table 2Table 3Table 4Table 5Table 6Table 7 3-NT – 3-Nitrotyrosine, 4-HNE – 4-Hydroxy-2-nonenal, AD – Alzheimer's disease, AGE – Advanced glycation endproduct, ALD – Alcoholic liver disease, AOPP – Advanced oxidation protein product, AS – Amino acids, CAD – Coronary artery disease, CML – Carboxymethyl lysine, COPD – Chronic obstructive pulmonary disease, CSF – Cerebrospinal fluid, Cys-SO3H – Cysteine sulfonic acid, ELISA – Enzyme linked immunosorbent assay, HIV – Human immunodeficiency virus, HPLC – High pressure liquid chromatography, IHC – Immunohistochemistry, NAFLD – Non-alcoholic fatty liver disease, MCI – Mild cognitive impairment, MDA – Malondialdehyde, MetS – Metabolic syndrome, MetSO – Methionine sulfoxide, MS – Mass spectrometry, PBMC – Peripheral blood mononuclear cells, PD – Parkinson's disease, RA – Rheumatoid arthritis, Skin AF – Skin autofluorescence, T2D – Type 2 diabetes, TBARS – Thiobarbituric acid reactive substances, WB – Western Blot. *among others.

 

4.1. Sulfur-containing amino acids in human diseases and aging

Sulfur-containing amino acids, such as cysteine and methionine are highly susceptible to diverse forms of oxidation processes [118,119]. In particular, cysteine residues are major targets of ROS undergoing a large number of posttranslational modifications, leading to functional and structural alterations of proteins. Thus, cysteine and its oxidized forms, such as cystine and further cysteine disulfide species, are considered as potential biomarkers of protein oxidation in human disease [120,121]. However, a strong limitation for the analysis of cysteine species is their instability due to the dynamic nature, since oxidation products of protein cysteine residues can be easily reduced by other thiols [122,123]. Cysteine residues have been detected in serum and plasma samples via HPLC or different combinations of chromatographic techniques with MS or MS/MS. In particular, the latter approaches have been used in recent human studies, providing high sensitivity, specificity and reproducibility, but are limited for routine clinical applications, because of high costs for laboratory equipment and low sample throughput. By using these methods, researchers found higher cystine levels in patients with Parkinson's disease (PD) and human immunodeficiency virus (HIV) compared to healthy individuals as well as elevated serum cystine levels associated with reduced risk for lethal prostate cancer (Table 2). Another promising method has been described in 2019 by Fu and colleagues. They used a UPLC-MS/MS approach for simultaneous quantification of thiols as well as disulfides and found higher levels of cysteine disulfides in plasma of patients with sickle-cell disease and sepsis compared to healthy donors [124]. All of these studies are related to the oxidation of free amino acids or glutathione and can therefore not be considered as studies investigating direct protein oxidation. Quantitative detection of cysteine trioxidation, a stepwise and irreversible cysteine modification generating sulfonic acid motifs, has been recently developed by Paramasivan and colleagues. By using a LC-MS/MS approach, they found elevated cysteine sulfonic acid in human serum albumin of type 2 diabetes (T2D) patients compared to control subjects, indicating the potential of trioxidized peptides as prognostic biomarker of protein oxidation in human disease [125]. The use of cysteine modifications as biomarkers of aging has not been investigated in recent years, but a review by Oliveira and Laurindo in 2018 highlights the association of changes in the thiolred/thiolox redox couple in aging and age-related disease, including cancer, CVD, and neurodegenerative disease [121].

 

4.1. 인간 질병과 노화에 있어서의 황 함유 아미노산

시스테인이나 메티오닌과 같은 황 함유 아미노산은 다양한 형태의 산화 과정에 매우 취약합니다 [118,119]. 특히, 시스테인 잔기는 번역 후 변형이 많이 일어나는 주요 표적이며, 이로 인해 단백질의 기능적, 구조적 변화가 일어납니다. 따라서, 시스테인과 그 산화 형태인 시스틴과 추가적인 시스테인 디설파이드 종은 인간 질병에서 단백질 산화의 잠재적 바이오마커로 간주됩니다 [120,121]. 그러나, 시스테인 종의 분석에 대한 강력한 제한은 동적 특성으로 인한 불안정성입니다. 단백질 시스테인 잔기의 산화 생성물은 다른 티올에 의해 쉽게 환원될 수 있기 때문입니다 [122,123]. 시스테인 잔류물은 HPLC 또는 MS 또는 MS/MS를 이용한 다양한 크로마토그래피 기법의 조합을 통해 혈청 및 혈장 샘플에서 검출되었습니다. 특히, 후자의 접근법은 최근 인간 연구에 사용되어 높은 민감도, 특이성 및 재현성을 제공하지만, 실험실 장비의 높은 비용과 낮은 샘플 처리량 때문에 일상적인 임상 적용에는 제한적입니다. 연구자들은 이러한 방법을 사용하여 파킨슨병(PD)과 인간 면역결핍 바이러스(HIV) 환자에서 건강한 사람에 비해 높은 시스틴 수치를 발견했으며, 치명적인 전립선암 위험 감소와 관련된 혈청 시스틴 수치 상승을 발견했습니다(표 2). 2019년 Fu와 동료 연구자들은 또 다른 유망한 방법을 설명했습니다. 그들은 티올과 디설파이드의 동시 정량화를 위해 UPLC-MS/MS 접근법을 사용했고, 건강한 기증자에 비해 겸상적혈구병과 패혈증 환자의 혈장에서 더 높은 수준의 시스테인 디설파이드를 발견했습니다 [124]. 이 모든 연구는 유리 아미노산 또는 글루타티온의 산화와 관련이 있으므로 직접적인 단백질 산화를 조사하는 연구로 간주할 수 없습니다. 설폰산 모티프를 생성하는 단계적이며 비가역적인 시스테인 변형인 시스테인 삼산화물의 정량적 검출이 최근 파라마시반과 동료 연구진에 의해 개발되었습니다. 그들은 LC-MS/MS 접근법을 사용하여 제2형 당뇨병(T2D) 환자의 인간 혈청 알부민에서 대조군과 비교하여 상승된 시스테인 설폰산을 발견했으며, 이는 삼산화 펩티드가 인간 질병에서 단백질 산화의 예후 바이오마커로서 잠재력을 가지고 있음을 나타냅니다 [125]. 노화의 바이오마커로서 시스테인 변형의 사용은 최근 몇 년 동안 연구되지 않았지만, 2018년 올리베이라와 라우리두의 리뷰는 노화와 암, 심혈관 질환, 신경 퇴행성 질환을 포함한 연령 관련 질병에서 티올레드/티올록 산화 환원 쌍의 변화의 연관성을 강조합니다 [121].

 

Table 2.

Selected studies using modifications of sulfur-containing amino acids as biomarkers of protein oxidation in clinical settings.

Disease/agingSpecimenStudy populationMethodMain outcomeReference

Cystine and cysteine sulfonic acid

Coronary artery disease (CAD)PlasmaN = 247 patients (of n = 1411) experienced primary outcome of deathHPLCHigher cystine levels associated with increased risk for all-cause mortality in CAD patients[208]
Lethal prostate cancerSerumControl subjects vs. lethal prostate cancer patients (n = 523 per group)LC-MS/MSHigher serum cystine levels are associated with reduced risk for lethal prostate cancer[209]
PDSerumControl subjects (n = 30) vs. PD patients
(n = 20)
UPLC-MSHigher cystine levels in PD patients[210]
HIVSerumHIV-negative (n = 21) vs. HIV-positive (n = 113) patientsGC-MSIncreased levels of cystine in HIV-positive patients[211]
Sickle-cell disease and sepsisPlasmaHealthy donors (n = 18) vs. sickle-cell disease
(n = 9) and sepsis patients (n = 6)
UPLC-MS/MSElevated levels of cysteine disulfides (protein-bound cysteine) in disease patients[124]
T2DPlasmaHealthy subjects vs. T2D patients (n = 8 per group)LC-MS/MSHigher cysteine sulfonic acid levels in T2D patients[125]

Methionine sulfoxide

T2D and diabetic complicationsSerum (serum albumin)Healthy subjects (n = 18) vs. T2D patients with (n = 23) and w/o (n = 12) renal failureLC-MSHigher levels of methionine sulfoxide in T2D patients with and w/o renal failure compared to controls[212]
ADPlasmaHealthy subjects (n = 23) vs. patients with mild-cognitive impairment (MCI) (n = 13) or AD (n = 25)WBElevated levels of methionine sulfoxide in plasma of AD patients compared to other groups[130]

Open in a new tab

Besides cysteine, methionine is another sulfur-containing amino acid that reacts to methionine sulfoxide under oxidative stress conditions. In contrast to other thiol oxidation products, methionine sulfoxide shows higher stability and is easily detectable via a conventional amino acid analyzer [116,126,127]. Only a few publications are available, determining levels of methionine sulfoxide in clinical settings. However, higher methionine sulfoxide levels have been found in plasma and serum samples of T2D patients with and without renal failure and Alzheimer's disease (AD) in comparison to control subjects, measured via immunoblotting or LC-MS (Table 2). To our knowledge, studies investigating methionine sulfoxide levels as a function of age have not been published, recently. The fact that methionine sulfoxide levels increase age-dependently in human skin collagen, as shown earlier [128,129], and are elevated in AD patients, suggests an impact in the aging process [130].

 

시스테인 외에도 메티오닌은 산화 스트레스 조건에서 메티오닌 설폭사이드와 반응하는 또 다른 황 함유 아미노산입니다. 다른 티올 산화 생성물과 달리, 메티오닌 설폭사이드의 안정성은 더 높고, 기존의 아미노산 분석기를 통해 쉽게 검출할 수 있습니다 [116,126,127]. 임상 환경에서 메티오닌 설폭사이드의 수준을 결정하는 몇 가지 출판물만 이용 가능합니다. 그러나 면역 블로팅 또는 LC-MS를 통해 측정한 결과, 대조군과 비교하여 신부전 및 알츠하이머병(AD)이 있거나 없는 T2D 환자의 혈장 및 혈청 샘플에서 메티오닌 설폭사이드 수치가 더 높게 나타났습니다(표 2). 우리가 아는 한, 최근에 나이와 관련된 메티오닌 설폭사이드 수치를 조사한 연구는 발표된 바가 없습니다. 앞서 언급한 바와 같이 [128,129], 메티오닌 설폭사이드는 사람의 피부 콜라겐에서 나이에 따라 증가하며, 알츠하이머 환자에서 증가한다는 사실은 노화 과정에 영향을 미친다는 것을 시사합니다 [130].

 

4.2. Aromatic amino acids in human diseases and aging

Aromatic amino acid residues are major targets for several forms of ROS and RNS, leading to the formation of dityrosine-containing crosslinks, classified as AOPPs [131,132]. In clinical settings, AOPPs have been primarily detected via spectrophotometric assays, based on the oxidation reaction of iodide to iodate, as firstly described by Witko-Sarsat and colleagues in 1996 [133]. This technique has been modulated and optimized by different groups in recent years [134,135]. For instance, Taylor and colleagues described a modification by determining total iodide ion oxidizing capacity of plasma and eliminating the effect of sample precipitation that improves accuracy and reproducibility of the assay [135]. Due to the assay's simplicity, allowing for high sample throughput, most researchers used this technique in recent years. However, spectrophotometric assays for the determination of AOPPs are highly unspecific, detecting a wide range of optically absorbing species or total oxidative capacity of plasma and the exact contribution of AOPPs to this reaction remains unknown. Therefore, studies performed with this assay and subsequent conclusions regarding AOPPs should be treated with caution. Nevertheless, groups using this method indicated higher AOPP levels in patients with several diseases, including T2D, rheumatoid arthritis (RA), neurodegenerative disease as well as aging, but conflicting results have been found for psoriasis, a common immune-mediated skin disorder (Table 3). While Haberka et al. and Yazici et al. showed higher concentrations of AOPPs in psoriasis patients compared to healthy subjects, no differences have been found in the study by Skoie and colleagues [[136][137][138]]. This might be explained by the inclusion of patients with only mild severity of the disease, generally associated with lower levels of oxidative stress [138]. In line with previous findings [139,140], Maciejczyk et al. and Taylor et al. found elevated AOPP levels in plasma and saliva of humans at advanced age, suggesting their relevance in the aging process [135,141].

 

4.2. 인간 질병과 노화에 관여하는 아로마틱 아미노산

방향족 아미노산 잔기는 여러 형태의 ROS와 RNS의 주요 표적이 되어 디티로신 함유 가교 결합을 형성하게 되는데, 이것을 AOPPs[131,132]로 분류합니다. 임상 환경에서 AOPPs는 1996년 Witko-Sarsat과 동료 연구자들이 최초로 기술한 바와 같이 요오드화물의 요오드산염으로의 산화 반응을 기반으로 하는 분광광도 분석을 통해 주로 검출되어 왔습니다[133]. 이 기술은 최근 몇 년 동안 여러 그룹에 의해 변형되고 최적화되었습니다 [134,135]. 예를 들어, Taylor와 동료들은 플라즈마의 총 요오드화 이온 산화 능력을 결정하고 분석의 정확성과 재현성을 향상시키는 샘플 침전 효과를 제거함으로써 변형을 설명했습니다 [135]. 분석의 단순성으로 인해 높은 샘플 처리량을 가능하게 하는 이 기술은 최근 몇 년 동안 대부분의 연구자들이 사용했습니다. 그러나, AOPP를 측정하는 분광광도계 분석법은 광학 흡수 물질의 광범위한 종류를 감지할 수 있을 뿐 아니라, 혈장의 총 산화 용량을 측정할 수 있기 때문에, 이 반응에 대한 AOPP의 정확한 기여도는 아직 밝혀지지 않았습니다. 따라서, 이 분석법으로 수행된 연구와 AOPP에 대한 후속 결론은 신중하게 다루어야 합니다. 그럼에도 불구하고, 이 방법을 사용하는 그룹은 T2D, 류마티스 관절염(RA), 신경 퇴행성 질환, 노화를 포함한 여러 질병을 가진 환자에서 AOPP 수준이 더 높다는 것을 나타내었지만, 일반적인 면역 매개 피부 질환인 건선(표 3)에 대해서는 상반되는 결과가 발견되었습니다. Haberka 등.과 Yazici 등.은 건선 환자에서 건강한 피험자에 비해 AOPP의 농도가 더 높다는 것을 보여 주었지만, Skoie 등.의 연구에서는 차이가 발견되지 않았습니다 [[136], [137], [138]]. 이는 일반적으로 낮은 수준의 산화 스트레스와 관련된 경미한 질병의 환자들을 포함시켰기 때문일 수 있습니다 [138]. 이전의 연구 결과 [139,140]에 따라, Maciejczyk et al.과 Taylor et al.은 고령의 인간 혈장과 타액에서 AOPP 수치가 상승하는 것을 발견했으며, 이는 노화 과정과 관련이 있음을 시사합니다 [135,141].

 

Table 3.

Selected clinical studies using AOPP and dityrosine-containing crosslinks as biomarkers of protein oxidation.

Disease/agingSpecimenStudy populationMethodMain outcomeReference

AOPP

T2D or rheumatoid arthritis (RA)SerumControl subjects (n = 17) vs. T2D or RA patients (n = 20 per group)SpectrophotometryHigher AOPP levels in RA and T2D patients[213]
T2D and agingPlasmaNon-diabetic subjects (n = 38) vs. T2D patients (n = 50)SpectrophotometryAge-dependent increase of AOPP levels
No differences between non-diabetic subjects and T2D patients
[135]
ADPlasmaControl subjects (n = 34) vs. AD patients (n = 38)SpectrophotometryHigher levels of AOPPs in AD patients[214]
PDPlasmaControl subjects (n = 46) vs. PD patients (n = 40)SpectrophotometryElevated AOPP levels in PD patients[185]
Mild to moderate psoriasisSerumHealthy individuals (n = 40) vs. patients with mild to moderate psoriasis (n = 80)SpectrophotometryIncreased levels of AOPP in psoriasis patients[136]
Mild psoriasisPlasmaHealthy subjects vs. patients with mild psoriasis (n = 84 per group)SpectrophotometryNo difference in AOPP levels[138]
Mild and moderate to severe psoriasis
Plasma
Healthy subjects (n = 14) vs. psoriasis patients (n = 29; mild n = 14, moderate to severe n = 15)
Spectrophotometry
Higher levels of AOPP in mild and moderate to severe psoriasis patients compared to controls
[137]
AgingSaliva and plasmaChildren (2–14 years), adults (25–45 years), elderly (65–85 years, n = 30 per group)SpectrophotometryHigher AOPP levels in saliva and plasma of elderly people compared to other groups[141]

Dityrosine

Interstitial lung diseasePlasmaHealthy individuals vs. patients with interstitial lung disease (n = 42 per group)LC-MS/MSElevated levels of dityrosine in patients with interstitial lung disease[142]
Autism spectrum disordersPlasma, urineHealthy children (n = 31) vs. children with autism spectrum disorders (n = 38)LC-MS/MSElevated plasma and urine dityrosine levels in children with autism spectrum disorders[143]
ADSerumControl subjects (n = 32) vs. AD patients (n = 52)SpectrofluorometryHigher dityrosine levels in AD patients[215]
Chronic liver diseasesPlasmaHealthy subjects vs. patients with chronic liver disease (n = 30 per group)SpectrophotometryElevated dityrosine levels in patients with chronic liver diseases[216]
Multiple sclerosisPlasmaHealthy subjects (n = 11) vs. patients with multiple sclerosis (n = 14)SpectrophotometryEstimated dityrosine levels were higher in patients with multiple sclerosis[217]

Open in a new tab

Besides this, crosslinks such as dityrosine are implicated in a number of pathologies and have not been only detected via spectrophotometric or spectrofluorimetric assays, but also by chromatographic separation followed by MS. Although MS approaches are expensive, require special laboratory equipment and are therefore often not applicable in routine clinical diagnostics, MS is the most specific and sensitive technique for the detection of dityrosine. With this, elevated concentrations of dityrosine have been found in plasma and urine samples of patients with interstitial lung disease and autism spectrum disorders [142,143]. Dityrosine levels have not been determined as a function of age in recent years, but in 2011 Campos et al. found a positive correlation between age and levels of dityrosine in urine samples of healthy smoker and non-smoker controls using unspecific spectrofluorometric detection [144]. Moreover, dityrosine crosslinks have been previously observed in amyloid plaques and cerebrospinal fluid (CSF) of AD patients via LC-ESI-MS/MS, indicating a potential role in aging and age-related diseases [145].

 

이 외에도, 디티로신과 같은 교차 연결은 여러 가지 병리에 관여하고 있으며, 분광광도법이나 분광형광법을 통해서만 검출된 것이 아니라, 크로마토그래피 분리 후 MS를 통해서도 검출되었습니다. MS 접근법은 비용이 많이 들고 특수 실험실 장비가 필요하기 때문에 일상적인 임상 진단에 적용하기 어려운 경우가 많지만, 디티로신의 검출에 가장 구체적이고 민감한 기술입니다. 이를 통해 간질성 폐질환과 자폐 스펙트럼 장애 환자의 혈장과 소변 샘플에서 디티로신의 농도가 높은 것으로 나타났습니다 [142,143]. 디티로신의 수치는 최근 몇 년 동안 연령의 함수로 결정되지 않았지만, 2011년 Campos 등은 비특이적 분광형광검출법을 사용하여 건강한 흡연자와 비흡연자 대조군의 소변 샘플에서 연령과 디티로신 수치 사이에 양의 상관관계가 있음을 발견했습니다 [144]. 또한, dityrosine crosslinks는 이전에 LC-ESI-MS/MS를 통해 AD 환자의 아밀로이드 플라크와 뇌척수액(CSF)에서 관찰된 바 있으며, 이는 노화와 노화 관련 질병에 잠재적인 역할을 할 수 있음을 시사합니다 [145].

 

4.3. Carbonylation in human diseases and aging

Protein carbonylation is an irreversible protein modification, associated with crucial alterations in their functional and structural integrity, contributing to cellular dysfunction and tissue damage [146,147]. Due to relatively early formation during oxidative stress, higher stability in comparison to other oxidation products and simple analysis methods, protein carbonyls are one of the most commonly analyzed biomarkers in human metabolic and age-related diseases [63,111]. Traditionally, protein carbonyls are determined in plasma, serum, and tissue samples, but also in aqueous humor and saliva (Table 4). The latter provides advantages for patients due to convenient, non-invasive, pain- and infection-free sample collection, but might be affected by oral hygiene [148]. Protein carbonyls can be determined by ELISA, immunoblot techniques, immunohisto- and cytochemistry via specific anti-DNP antibodies, and direct spectrophotometric or HPLC measurements. These methods are based on the derivatization of carbonyl groups with DNPH, forming a stable hydrazone adduct, as described in section 3.2. In 2015, two independent articles compared the available standard methods for the detection of protein carbonylation and highlighted advantages and disadvantages of the individual techniques in detail. Since immunoblotting and LC-MS/MS approaches rather provides insights into molecular mass and the nature of carbonyl modifications, the use of ELISAs has been declared as the method of choice for quantification of protein carbonyls [82,86]. As shown in Table 4, this technique has been primarily used to determine protein carbonyls in clinical studies, because of its suitability for high-throughput analysis, small sample volumes and minimal laboratory requirements. Although Goycheva et al. and Almogbel and colleagues included T2D patients with different diabetic complications (vascular complications vs. diabetic nephropathy), protein carbonyls levels measured by ELISA were comparable in control as well as disease groups [149,150]. Independent of the used methods and specimens, almost all selected studies consistently revealed elevated levels of protein carbonyls in multiple diseases, including T2D and diabetic complications, lung, liver, infectious, or rheumatological disease (Table 4). The study by Sharma and colleagues, however, found lower levels of protein carbonyls in female AD patients compared to healthy control subjects, whereas male AD patients revealed higher concentrations. These sex-specific differences were also observed for other markers of protein oxidation, including AGEs, MDA, or 3-NT, and should be considered in future clinical assessments [151]. Although Weber et al. found no correlation between protein carbonyls and aging in two of three cohorts from the European MARK-AGE study, presumably related to genetic and lifestyle factors, all other recent studies revealed higher concentrations of protein carbonyls in adults and elderly compared to younger individuals (Table 4). In addition, elevated protein carbonyl levels have been found in neurodegenerative disease, such as AD, together indicating the relevance of protein carbonyls in aging and age-related diseases [63,151].

 

4.3. 인간 질병과 노화에 있어서의 카르보닐화

단백질 카르보닐화는 돌이킬 수 없는 단백질 변형으로, 기능적, 구조적 완전성의 중대한 변화와 관련되어 있으며, 세포 기능 장애와 조직 손상에 기여합니다 [146,147]. 산화 스트레스 동안 비교적 일찍 형성되기 때문에, 다른 산화 생성물보다 안정성이 높고 분석 방법이 간단하기 때문에, 단백질 카르보닐은 인간 대사 및 노화 관련 질병에서 가장 일반적으로 분석되는 바이오마커 중 하나입니다 [63,111]. 전통적으로, 단백질 카르보닐은 혈장, 혈청, 조직 샘플뿐만 아니라 방수 및 타액에서도 측정됩니다(표 4). 후자는 편리하고, 비침습적이며, 통증과 감염이 없는 샘플 채취로 인해 환자에게 이점이 있지만, 구강 위생에 영향을 받을 수 있습니다 [148]. 단백질 카르보닐은 ELISA, 면역 블롯 기술, 특정 항-DNP 항체를 통한 면역 조직 및 세포 화학, 직접 분광 광도계 또는 HPLC 측정을 통해 측정할 수 있습니다. 이 방법은 3.2절에 설명된 대로 DNPH를 이용한 카르보닐기의 유도체화 과정을 통해 안정적인 히드라존 부가물을 형성하는 방법을 기반으로 합니다. 2015년에 발표된 두 개의 독립적인 논문은 단백질 카르보닐화의 검출을 위한 이용 가능한 표준 방법을 비교하고, 개별 기술의 장점과 단점을 자세히 설명했습니다. 면역 블로팅과 LC-MS/MS 접근법은 분자량과 카르보닐 변형의 특성에 대한 통찰력을 제공하기 때문에, ELISA의 사용은 단백질 카르보닐의 정량화를 위한 선택의 방법으로 선언되었습니다 [82,86]. 표 4에 나와 있듯이, 이 기술은 주로 임상 연구에서 단백질 카르보닐을 측정하는 데 사용되어 왔습니다. 이는 고처리량 분석, 적은 시료량, 최소한의 실험실 요구 사항에 적합하기 때문입니다. Goycheva 외.와 Almogbel 외.가 다른 당뇨 합병증(혈관 합병증 대 당뇨병성 신장병증)을 가진 T2D 환자를 포함시켰음에도 불구하고, ELISA로 측정한 단백질 카르보닐의 수준은 대조군과 질병군에서 비슷했습니다 [149,150]. 사용된 방법과 표본에 관계없이, 선택된 거의 모든 연구에서 T2D와 당뇨 합병증, 폐, 간, 감염성 또는 류마티스성 질환을 포함한 여러 질병에서 단백질 카르보닐의 수치가 상승한 것으로 일관되게 나타났습니다(표 4). 그러나 샤르마와 동료들의 연구에 따르면, 여성 알츠하이머 환자에서 건강한 대조군과 비교했을 때 단백질 카르보닐의 농도가 낮게 나타났고, 남성 알츠하이머 환자에서는 농도가 높게 나타났습니다. 이러한 성별에 따른 차이는 AGEs, MDA, 3-NT를 포함한 단백질 산화의 다른 지표에서도 관찰되었으며, 향후 임상 평가에서 고려되어야 합니다 [151]. Weber et al.은 유럽 MARK-AGE 연구의 3개 집단 중 2개 집단에서 단백질 카르보닐과 노화 사이에 상관관계가 없음을 발견했지만, 이는 아마도 유전적 요인과 생활습관적 요인과 관련이 있을 것으로 추정됩니다. 그러나 최근의 다른 모든 연구에서는 젊은 사람에 비해 성인과 노인의 단백질 카르보닐 농도가 더 높은 것으로 나타났습니다(표 4). 또한, AD와 같은 신경 퇴행성 질환에서 상승된 단백질 카르보닐 레벨이 발견되어, 노화와 노화 관련 질병에서 단백질 카르보닐의 관련성을 나타내고 있습니다 [63,151].

 

Table 4.

Selected studies using protein carbonyls as a biomarker of protein oxidation in clinical settings.

Disease/agingSpecimenStudy populationMethodMain outcomeReference

T2D with vascular complicationsSerumHealthy individuals (n = 94) vs. T2D patients with vascular complications
(n = 94)
ELISAHigher protein carbonyl levels in T2D patients with vascular complications[149]
T2D with NASHSerumControl subjects (n = 50) vs. T2D patients with NASH (n = 60) or T2D w/o NAFLD (n = 50)ELISAElevated protein carbonyl levels in T2D patients with NASH compared to other groups[218]
T2D with and w/o CKDSerumHealthy subjects vs. T2D patients with and w/o CKD (n = 50 per group)Spectrophotometry/HPLCHigher protein carbonyl levels in T2D patients with and w/o CKD compared to control subjects[219]
Diabetic nephropathySerumControl subjects (n = 142) vs. T2D patients with diabetic nephropathy
(n = 153)
ELISAElevated levels of protein carbonylation in patients with diabetic nephropathy[150]
CADPlasmaControl subjects vs. premature CAD or normal CAD (n = 30 per group)ELISAHigher plasma protein carbonyl levels in premature and normal CAD patients compared to control groups[220]
Acute coronary syndrome or chronic periodontitisSalivaControl subjects vs. patients with acute coronary syndrome, chronic periodontitis or both (n = 24 per group)SpectrophotometryHigher protein carbonyl levels in all disease groups compared to controls[221]
Alcoholic liver cirrhosis (ALC)SerumHealthy control subjects (n = 130) vs. ALC patients (n = 57)SpectrophotometryNo difference between control and ALC groups[222]
Normal and end stage ALDHepatic tissueNormal ALD (n = 8) vs. end stage ALD
(n = 9)
IHC, WBIncreased protein carbonylation in liver sample of end stage ALD patients[223]
PD and ADPlasmaControl subjects (n = 34) vs. AD (n = 40) and PD patients (n = 70)ELISAHigher protein carbonyl levels in male AD patients compared to PD patients and controls[151]

MCI, ADPlasmaHealthy control (n = 24) vs. MCI (n = 24) and AD patients (n = 18 mild AD, n = 15 moderate AD, n = 14 severe AD)WBHigher levels of protein carbonyls in all AD groups compared to control and MCI groups[224]
RASerumHealthy control subjects (n = 41) vs. RA patients (n = 29)SpectrophotometryHigher levels of protein carbonyls in RA patients[225]
RAPlasmaControl subjects (n = 53) vs. RA patients (n = 120)SpectrophotometryHigher protein carbonyl levels in RA patients[226]
Acute rheumatic fever in childrenSerumHealthy control (n = 31) vs. patients with acute rheumatic fever (n = 31)Spectrophotometry/HPLCHigher serum protein carbonyl levels in patients with acute rheumatic fever[227]
HIVPlasmaControl group (n = 300) vs. HIV infected Antiviral Therapy (ART) naive (n = 100), on first line ART (n = 100), on second line ART (n = 100)ELISAHigher protein carbonyl content in HIV-infected patients on first- and second-line ART[228]
Chronic obstructive pulmonary disease (COPD)PlasmaControl patients (n = 15) vs. COPD patients (n = 42)ELISAElevated levels of protein carbonyls in COPD patients[229]
MetSSerumHealthy women (n = 77) vs. women with MetS (n = 106)SpectrophotometryHigher levels or protein carbonyls in women with MetS[230]
LeptospirosisSerumControl subjects (n = 30) vs. mild
(n = 50), severe (n = 60) Leptospirosis or Dengue Leptospirosis (n = 30)
ELISA, SpectrophotometryHigher serum protein carbonyl levels in severe Leptospirosis patients compared to all other groups[231]
GlaucomaSerum, aqueous humorControl subjects (n = 64) vs. glaucoma patients (n = 96)ELISAHigher levels of protein carbonyls in plasma and aqueous humor of glaucoma patients[232]
AgingSaliva, plasmaYoung (n = 104) vs. middle-aged (n = 90) and elderly subjects (n = 79)ELISAAge-dependent increase in saliva and plasma protein carbonyl levels[148]
SerumAdolescents (n = 30, mean age 17.1 years) vs. adults (n = 34, mean age 33.3 years) with bipolar disorderELISAHigher protein carbonyl content in adults[233]
PlasmaHealthy individuals divided into 4 groups: group 30 (28–34 years), group 40 (35–45 years), group 50 (47–54 years) and group above 60 (57–79 years)ELISAHigher protein carbonyl levels in groups 40, 50 and 60 compared to group 30[234]
Plasma3 study groups from MARK-AGE project:
RASIG (n = 794), GO (n = 493), SGO
(n = 272)
Participants divided in 4 groups:
55-59, 60–64, 65–69 and 70–75 years
ELISAPositive correlation between protein carbonyl levels and age in RASIG group
No correlation between protein carbonyl levels and age in GO and SGO groups
[194]

Open in a new tab

4.4. Glycoxidation in human diseases and aging

The formation and accumulation of glycoxidation products occurs during normal, but especially under certain physiological conditions, such as hyperglycemia, hyperlipidemia, and oxidative stress. This indicates their relevance in the progression of metabolic diseases, including neurodegenerative disease, chronic kidney disease (CDK), CVD, and cancer, but in particular, T2D and related complications as reviewed elsewhere [152]. Moreover, a growing body of evidence reveals that levels of glycoxidation products increase as a function of age in several tissues, dependent on the dietary intake and the presence of hyperglycemic conditions [152,153]. One major difficulty in detection of glycoxidation products for standardized clinical research is their structural complexity and heterogeneity, deriving from various formation mechanisms [154,155]. Among glycoxidation structures, CML and pentosidine are most frequently measured in clinical studies [156,157]. Several methods for their detection in blood, urine, and tissue samples have been established in recent years, such as spectrophotometry, immunohistochemistry (IHC), immunoblot, and ELISA techniques, whereas the latter has been most commonly used. Although ELISAs are easy to perform and ensure high sample throughput, their specificity and reproducibility have been criticized, especially by the limited description of applied antibodies, associated with different outcomes [158]. This becomes obvious by the comparison of two studies. Guerin-Duborg and colleagues used an AGE-ELISA Kit preferentially quantifying CML and revealed no differences between non-diabetic subjects and T2D patients as well as T2D patients with and without vascular diseases. In contrast, Farhan et al. found elevated AGE levels comparing the latter groups by using a competitive ELISA Kit without specification of detected glycoxidation products [159,160]. AGEs can be also detected via non-invasive skin autofluorescence (skin AF) readers [161]. The measurement correlates well with the total amount of AGEs in skin biopsies and has been applied in clinical settings, indicating elevated AGE levels in several diseases and aging, as shown in Table 5. However, this technique is highly unspecific to capture glycoxidation products since several other fluorescent structures, such as non-oxidatively formed AGEs or nicotinamide adenine dinucleotide are detected simultaneously. The method has to be standardized in terms of using the same (tattoo-free) body region as well as multiple determination and might be limited by the use of body creams, bronzer as well as solarium [162]. The most sensitive approaches for detection of glycoxidation products are methods based on chromatography, including HPLC und UPLC that are mainly combined with MS/MS. These methods represent the gold standard for the identification of glycoxidation structures and detection in free and protein-bound forms, but their use in routine clinical studies is limited, in particular, due to high costs [158,163,164]. For a detailed review of advantages and disadvantages of various immunochemical, bioanalytical, and biochemical methods for the measurement of AGEs, including glycoxidation products, see Ashraf et al. [158]. Studies from recent years, using UPLC- or LC-MS/MS approaches show very heterogenous outcomes in different diseases, depending on the detected structure. This emphasizes the importance of discrimination and selective analysis of the various structures formed by glycoxidation reactions and the limited usefulness of some methods in this field. For instance, O'Grady et al. found higher CML levels in plasma of T2D patients compared to healthy subjects but similar pentosidine concentrations [165]. The latter finding is in contrast to previous investigations, using ELISA or HPLC techniques, revealing higher serum pentosidine levels in diabetes patients compared to healthy controls [166,167]. Moreover, Wetzels and colleagues as well as Teichert et al. show similar plasma levels of various AGE structures, including free and protein-bound CML between non-demented subjects and patients with multiple sclerosis or non-diabetic and pre-diabetic women, respectively [168,169]. In line with earlier findings on glycoxidation levels in aging [153], studies from 2019 suggest an age-related increase in skin AF, pentosidine levels and total amount of AGEs [141,170,171]. In particular, Kida and colleagues performed their analysis in different specimens of spinal surgery patients and found strong correlations between serum, urine, bone, and skin pentosidine levels with age [170]. The fundamental role of AGEs, including glycoxidation products, in human aging, but also in aging of vertebrate and invertebrate model organism has been reviewed in 2018 by Chaudhuri and colleagues [153], together indicating the relevance of AGEs as biomarkers of aging and age-related diseases.

 

4.4. 인간 질병과 노화에 있어서의 당산화

당산화 산물의 형성 및 축적은 정상적인 상태에서도 발생하지만, 특히 고혈당증, 고지혈증, 산화 스트레스와 같은 특정 생리적 조건 하에서 발생합니다. 이것은 신경 퇴행성 질환, 만성 신장 질환(CDK), 심혈관 질환, 암을 포함한 대사성 질환의 진행과 관련이 있음을 나타내지만, 특히 다른 곳에서 검토된 바와 같이 T2D 및 관련 합병증과 관련이 있음을 나타냅니다 [152]. 또한, 여러 조직에서 글리코옥시드 생성물의 수준이 나이가 들면서 증가한다는 증거가 늘어나고 있으며, 이는 식이 섭취와 고혈당 상태의 존재에 따라 달라집니다 [152,153]. 표준화된 임상 연구를 위해 글리코옥시드 생성물을 검출하는 데 있어 가장 큰 어려움은 다양한 형성 메커니즘에서 비롯되는 구조적 복잡성과 이질성입니다 [154,155]. 글리코옥시드화 구조 중 CML과 펜토시딘은 임상 연구에서 가장 빈번하게 측정되는 물질입니다 [156,157]. 최근 몇 년 동안 혈액, 소변, 조직 샘플에서 이들을 검출하는 여러 가지 방법이 확립되었습니다. 예를 들어, 분광광도법, 면역조직화학(IHC), 면역블롯, ELISA 기법 등이 있으며, 그 중에서도 ELISA 기법이 가장 일반적으로 사용되고 있습니다. ELISA는 수행하기 쉽고 높은 표본 처리량을 보장하지만, 특히 적용된 항체에 대한 제한된 설명과 관련된 다양한 결과와 관련하여 특이성과 재현성에 대한 비판을 받아 왔습니다 [158]. 이는 두 연구의 비교를 통해 명백해집니다. Guerin-Duborg와 동료들은 CML을 우선적으로 정량화하는 AGE-ELISA 키트를 사용했으며, 비당뇨병 환자 및 T2D 환자, 그리고 혈관 질환이 있거나 없는 T2D 환자 간의 차이를 발견하지 못했습니다. 이와는 대조적으로, Farhan 등은 검출된 당산화 산물(glycoxidation products)의 특성에 대한 설명 없이 경쟁 ELISA 키트를 사용하여 후자의 그룹과 비교했을 때 AGE 수치가 상승한 것을 발견했습니다 [159,160]. AGE는 비침습적 피부 자가형광(skin AF) 판독기를 통해서도 검출할 수 있습니다 [161]. 이 측정법은 피부 생검에서 발견되는 AGE의 총량과 잘 상관관계가 있으며, 임상 환경에서 적용되어 여러 질병과 노화에서 AGE 수치가 상승한다는 것을 보여줍니다(표 5 참조). 그러나 이 기술은 비산화적으로 형성된 AGE나 니코틴아미드 아데닌 디뉴클레오티드와 같은 다른 여러 형광 구조가 동시에 검출되기 때문에 당산화 산물 포착에 매우 비특이적입니다. 이 방법은 동일한 신체 부위(문신이 없는)를 사용하는 것과 다중 측정이라는 측면에서 표준화되어야 하며, 바디 크림, 브론저, 일광욕실 사용에 의해 제한될 수 있습니다 [162]. 당산화 산물 검출을 위한 가장 민감한 접근법은 주로 MS/MS와 결합된 HPLC 및 UPLC를 포함한 크로마토그래피 기반의 방법입니다. 이 방법들은 당산화 구조의 식별과 유리 및 단백질 결합 형태의 검출을 위한 황금 표준을 대표하지만, 특히 높은 비용 때문에 일상적인 임상 연구에서의 사용이 제한적입니다 [158,163,164]. 당산화 산물을 포함한 AGE 측정을 위한 다양한 면역화학적, 생체 분석적, 생화학적 방법의 장단점에 대한 자세한 검토는 Ashraf et al. [158]을 참조하십시오. 최근 몇 년 동안의 연구에서, UPLC 또는 LC-MS/MS 접근법을 사용한 결과는 검출된 구조에 따라 질병마다 매우 이질적인 결과를 보여줍니다. 이것은 당산화 반응에 의해 형성된 다양한 구조의 차별과 선택적 분석의 중요성을 강조하고, 이 분야에서 일부 방법의 유용성이 제한적임을 보여줍니다. 예를 들어, O'Grady 등은 건강한 피험자에 비해 T2D 환자의 혈장에서 더 높은 CML 수치를 발견했지만, 펜토시딘 농도는 비슷하다는 것을 발견했습니다 [165]. 후자의 결과는 ELISA 또는 HPLC 기법을 사용한 이전의 연구 결과와 대조적이며, 당뇨병 환자의 혈청 펜토시딘 수치가 건강한 대조군에 비해 더 높다는 것을 보여줍니다 [166,167]. 또한, Wetzels와 동료들, 그리고 Teichert 외.는 비치매 환자들과 다발성 경화증 환자들, 비당뇨병 환자들과 당뇨병 전증 환자들 사이에서 각각 자유 및 단백질 결합 CML을 포함한 다양한 AGE 구조의 유사한 혈장 수준을 보여줍니다 [168,169]. 노화에 따른 당산화 수준에 대한 이전 연구 결과[153]에 따라, 2019년의 연구에서는 피부 AF, 펜토시딘 수준, 그리고 AGE의 총량이 나이와 함께 증가한다는 사실이 밝혀졌습니다[141,170,171]. 특히, Kida와 동료 연구자들은 척추 수술 환자의 다양한 표본을 대상으로 분석을 수행한 결과, 혈청, 소변, 뼈, 그리고 피부 펜토시딘 수준과 나이가 밀접한 상관관계가 있다는 사실을 발견했습니다[170]. AGE의 근본적인 역할은 인간 노화뿐만 아니라 척추동물과 무척추동물 모델 생물의 노화에서도 검토되었으며, 2018년 Chaudhuri와 동료 연구진에 의해 검토되었습니다 [153]. 이 연구는 AGE가 노화와 노화 관련 질병의 바이오마커로서 관련성이 있음을 함께 보여줍니다.

 

Table 5.

Selected studies using glycoxidation products as biomarkers of protein oxidation in clinical settings.

DiseaseSpecimenStudy populationMethodMain outcomeReference

T2D with or w/o vascular diseasePlasmaNon-diabetic controls (n = 31) vs. T2D patients (n = 75) with (n = 44) or w/o
(n = 31) vascular disease
Spectrophotometry, ELISANo difference in fluorescent-AGEs or AGE levels between non-diabetic subjects and T2D patients
No differences in AGE levels between T2D patients with or w/o vascular disease
Higher fluorescent-AGE levels in T2D patients with vascular disease compared to T2D patients w/o vascular disease
[160]
T2D with or w/o vascular complicationsSerumHealthy subjects (n = 20) vs. T2D patients with or w/o vascular complications (n = 25 per group)ELISAHigher AGE levels in T2D patients with and w/o vascular complications
Highest AGE levels in T2D patients with vascular complications
[159]
Renal failure or T2DSerumControl individuals vs. patients with renal failure (n = 30 per group)
Control subjects (n = 49) vs. T2D patients (n = 95)
Spectrophotometry, skin AF,
LC-MS/MS
Higher total AGE, pentosidine and free CML levels in patients with renal failure
Elevated free CML but not pentosidine and total AGE levels in T2D patients
Higher skin AF in patients with renal failure and T2D compared to controls
[165]
PrediabetesPlasmaWomen with normal fasting glucose vs. women with impaired fasting glucose (n = 30 per group)LC-MS/MSNo difference between groups in free CML levels[169]
CKDPlasmaPatients with CKD (n = 150)LC-MS/MS,
ELISA
No association between pentosidine levels and CKD[235]
PD and ADPlasmaControl subjects (n = 34) vs. AD (n = 40) and PD patients (n = 70)UPLC-MS/MSHigher protein-bound CML levels in AD and PD patients compared to controls[151]
SchizophreniaRed blood cell lysatesControl subjects vs. schizophrenia patients (n = 23 per group)WBNo differences in pentosidine levels[236]
Autism spectrum disordersPlasmaHealthy children (n = 31) vs. children with autism spectrum disorders (n = 38)LC-MS/MSIncreased plasma CML levels in children with autism spectrum disorders[143]
RASerumControl subjects (n = 30) vs. RA patients (n = 80)ELISAHigher CML and pentosidine levels in RA patients[237,238]
PsoriasisSkin, serumHealthy individuals and psoriasis patients (n = 40 per group)Skin AF,
ELISA
Higher skin AF, total AGEs and pentosidine levels in patients with psoriasis[239]
Multiple sclerosis
CSF, plasma, brain tissue
Non-demented control subjects (n = 10) vs. multiple sclerosis patients (n = 15)
UPLC-MS/MS,
IHC
No difference in plasma free and protein-bound CML levels
[168]
>Aging (and Diabetes)SkinAge groups: group 20–30 years, n = 18
group 30–40 years, n = 10
group 40–50 years, n = 14
group 50–60 years, n = 12
group >60 years, n = 11
diabetes group, n = 13
Skin AFSkin AF increases with age
Higher skin AF in diabetes patients compared to groups aged <50 years
[171]
Skin, urine, serum, bonePatients with spine diseaseSkin AF,
ELISA,
HPLC
Age-related increase in serum, urine, bone and skin pentosidine levels[170]
Saliva, plasmaChildren (2–14 years), adults (25–45 years), elderly (65–85 years, n = 30 per group)SpectrophotometryHigher AGE levels in saliva and plasma of elderly people compared to children and adults[141]

Open in a new tab

 

4.5. Lipoxidation in human diseases and aging

The biological process of lipid peroxidation has been implicated in a high number of human pathologic conditions [172,173]. Recent clinical studies focused mainly on reactive intermediates 4-HNE and MDA, which are prominent precursors of ALE formation [174]. Qualitative and semiquantitative immunological methods, such as ELISA and IHC, using commercially available antibodies, have been primarily performed to detect 4-HNE in biological samples of various human diseases, as shown in Table 6 and reviewed elsewhere [175]. These antibodies are raised against protein-bound 4-HNE, ensuring relatively high specificity. In general, detection by IHC is valuable for the eval‎uation of morphological alterations in tissue samples, but not advisable for parallel quantitative assessments due to several limitations, such as the use of different fixatives, potential background staining, quality of dyes or humidity [176]. A more sensitive approach has been used by Luczaj and colleagues via GC-MS, but also ELISA, measuring free 4-HNE and protein-bound 4-HNE, respectively, in two independent studies [177,178]. For instance, RA patients consistently revealed higher levels of free and protein-bound 4-HNE in urine and plasma compared to control subjects [177]. To our knowledge, levels of 4-HNE have not been determined as a function of age in recent years. However, 4-HNE is activating or inhibiting certain age-related signaling pathways, including NF-ĸB, Nrf2 or mTOR pathways, and might be therefore contributing to the aging process [179,180].

 

4.5. 인간 질병과 노화에 있어서의 지질 과산화

지질 과산화라는 생물학적 과정은 많은 인간 병리학적 조건과 관련이 있습니다 [172,173]. 최근의 임상 연구는 주로 ALE 형성의 두드러진 전구체인 반응성 중간체 4-HNE와 MDA에 초점을 맞추었습니다 [174]. 상업적으로 이용 가능한 항체를 사용하는 정성 및 준정성 면역학적 방법(예: ELISA 및 IHC)은 주로 표 6에 나와 있는 바와 같이 다양한 인간 질병의 생물학적 샘플에서 4-HNE를 검출하기 위해 수행되었으며, 다른 곳에서도 검토되었습니다 [175]. 이 항체는 단백질 결합 4-HNE에 대해 생성되어 상대적으로 높은 특이성을 보장합니다. 일반적으로 IHC 검사는 조직 샘플의 형태학적 변화를 평가하는 데 유용하지만, 다른 고정액 사용, 잠재적 배경 염색, 염료의 품질 또는 습도 등 여러 가지 제한 사항으로 인해 병렬 정량 평가에는 적합하지 않습니다 [176]. Luczaj와 동료들은 GC-MS를 통해 보다 민감한 접근법을 사용했지만, 두 개의 독립적인 연구에서 각각 유리 4-HNE와 단백질 결합 4-HNE를 측정하는 ELISA도 사용했습니다 [177,178]. 예를 들어, RA 환자는 대조군과 비교하여 소변과 혈장에서 유리 4-HNE와 단백질 결합 4-HNE의 수치가 지속적으로 높게 나타났습니다 [177]. 저희가 아는 한, 최근 몇 년 동안 4-HNE의 수준이 연령의 함수로 결정되지 않았습니다. 그러나 4-HNE는 NF-ĸB, Nrf2 또는 mTOR 경로를 포함한 특정 연령 관련 신호 전달 경로를 활성화하거나 억제하므로 노화 과정에 기여할 수 있습니다 [179,180].

 

 

Table 6.

Selected clinical studies using 4-HNE and MDA as biomarkers in different diseases.

DiseaseSpecimenStudy populationMethodMain outcomeReference

4-HNE

T2DSerumControl subjects (n = 9) vs. T2D patients (n = 11)ELISAHigher levels of 4-HNE in patients with T2D[240]
Alcoholic liver disease (ALD)Human hepatic tissueNormal ALD (n = 8) vs. end stage ALD
(n = 9)
IHCElevated 4-HNE in liver sample of ALD patients[223]
Lung cancerSerumControl subjects (n = 40) vs. lung cancer patients (n = 92)ELISAHigher levels of 4-HNE in male and female lung cancer patients[183]
RAPlasma, urineHealthy subjects vs. RA patients (n = 73 per group)GC-MS, ELISAElevated levels of free and protein-bound 4-HNE in RA patients[177]
Thick-born encephalitisCSF, plasma, urineHealthy subjects (n = 56) vs. patients with thick-born encephalitis (n = 60)GC-MS, ELISAElevated free and protein-bound 4-HNE levels in plasma of thick-born encephalitis patients[178]

MDA

T2D and NAFLDSerumT2D patients with (n = 73) and w/o NAFLD (n = 51)TBARS assayHigher MDA levels in T2D patients with NAFLD[241]
T2D and CKDPlasmaHealthy subjects vs. T2D patients with or w/o CKD (n = 50 per group)TBARS assayHigher MDA levels in T2D patients with and w/o CKD compared to control subjects[219]
T2D with vascular complicationsPlasmaHealthy individuals (n = 94) vs. T2D patients with vascular complications
(n = 93)
TBARS assayHigher levels of MDA in T2D patients with vascular complications[149]
ALCSerumHealthy subjects (n = 130) vs. ALC patients (n = 57)TBARS assayHigher MDA levels in patients with ALC[222]
NAFLDPlasmaHealthy subjects (n = 40) vs. NAFLD patients (n = 67)TBARS assayHigher MDA levels in NAFLD patients[85]
Lung cancerSerumControl subjects (n = 40) vs. lung cancer patients (n = 92)TBARS assayNo differences in MDA levels between the groups[183]
PDSerumControl subjects (n = 46) vs. PD patients (n = 40)TBARS assayElevated MDA levels in PD patients[185]
PD and ADPlasmaControl subjects (n = 34) vs. AD (n = 40) and PD patients (n = 70)RP-HPLCLower MDA levels in AD and PD patients compared to control subjects[151]
RAPlasma, urineHealthy subjects vs. RA patients (n = 73 per group)GC-MSElevated levels of MDA in plasma and urine of RA patients[177]
Thick-born encephalitis
CSF, plasma, urine
Healthy subjects (n = 56) vs. patients with thick-born encephalitis (n = 60)
GC-MS
Elevated MDA levels in all specimens of thick-born encephalitis patients
[178]

AgingPlasmaHealthy individuals divided into 4 groups: group 30 (28–34 years), group 40 (35–45 years), group 50 (47–54 years) and group above 60 (57–79 years)HPLCNo differences between the groups[234]
SerumAdults (Age 20–50 years) vs. elderly (Age ≤ 60 years, n = 30 per group)TBARS assayHigher MDA levels in elderly[242]
ErythrocytesHealthy subjects aged ≤65 years (n = 27) and ≥65 years (n = 30)TBARS assayNo differences between the groups[243]
Saliva, plasmaChildren (2–14 years), adults (25–45 years), elderly (65–85 years, n = 30 per group)TBARS assayHigher MDA levels in saliva and plasma of elderly people compared to children and adults[141]
Plasma3 study groups from MARK-AGE project:
RASIG (n = 794), GO (n = 493), SGO
(n = 272)
Participants divided in 4 groups:
55-59, 60–64, 65–69 and 70–75 years
RP-HPLCNo correlation in all groups between MDA levels and age[194]

Open in a new tab

To our knowledge, MDA modified proteins have not been used as biomarkers in recent clinical investigations although antibodies are commercially available and highly selective MS methods have been established, previously [57]. Nevertheless, free MDA potentially leading to stable protein modifications, has been quantified in several studies via batch thiobarbituric acid reactive substances (TBARS) assay. This approach is the method of choice for the quantification of free MDA due to simplicity and low costs, but is often criticized as being unspecific and rather measuring total oxidative stress instead of MDA alone [181,182]. Except of Zablocka-Slowinska and colleagues, showing no differences between healthy subjects and patients with lung cancer [183], all clinical investigations using the TBARS assay consistently found elevated MDA levels in diverse human metabolic disease, as shown in Table 6. Beside this assay, further methods have been developed in order to improve the specificity of MDA measurement, such as HPLC combined with UV or fluorescence detection [182,184]. Reversed-phase HPLC coupled with fluorescence detection has been further used by Sharma and colleagues, revealing lower levels of MDA in AD and PD patients compared to controls [151]. This is in contrast to the findings by Medeiros and colleagues, indicating higher MDA concentrations in PD patients that might be explained by the use of different methods, but also potential differences in the study populations [185]. The GC-MS approach in the study by Luczaj and colleagues as mentioned above, has been also used for the measurement of MDA, revealing elevated levels in different specimens of RA and thick-born encephalitis patients compared to controls [177,178]. Independent of the applied method, three of five studies found no correlation between MDA and advanced age although they partially included large cohorts, e.g., from the European MARK-AGE study (Table 6). In combination with lower MDA levels in elderly male and female AD and PD patients compared to healthy subjects as well as unchanged concentrations between lung cancer patients and control individuals at advanced age [151,183], this suggests that MDA is no suitable marker for human aging and age-related diseases.

 

우리가 아는 한, MDA 변형 단백질은 최근 임상 연구에서 바이오마커로 사용된 적이 없습니다. 비록 항체가 상업적으로 이용 가능하고, 선택성이 높은 MS 방법이 확립되었음에도 불구하고 말입니다[57]. 그럼에도 불구하고, 잠재적으로 안정적인 단백질 변형을 유도하는 유리 MDA는 여러 연구에서 티오바르비투르산 반응성 물질(TBARS) 분석을 통해 정량화되었습니다. 이 접근법은 단순성과 낮은 비용 때문에 유리 MDA의 정량화에 선택되는 방법이지만, 비특이적이며 MDA 단독이 아닌 총 산화 스트레스를 측정하는 것으로 종종 비판을 받습니다 [181,182]. Zablocka-Slowinska와 동료들을 제외한 모든 임상 연구에서 건강한 피험자와 폐암 환자 사이에 차이가 없음을 보여줍니다[183]. 표 6에 나와 있는 바와 같이, TBARS 분석을 사용한 모든 임상 연구에서 다양한 인간 대사 질환에서 MDA 수치가 상승하는 것으로 나타났습니다. 이 분석법 외에도, MDA 측정의 특이성을 향상시키기 위해 UV 또는 형광 검출과 결합된 HPLC와 같은 추가적인 방법이 개발되었습니다[182,184]. 형광 검출과 결합된 역상 고성능 액체 크로마토그래피(Reversed-phase HPLC)는 Sharma와 동료들에 의해 더 많이 사용되어, 대조군에 비해 알츠하이머병과 파킨슨병 환자의 MDA 수치가 더 낮다는 사실이 밝혀졌습니다 [151]. 이것은 Medeiros와 동료들의 연구 결과와는 대조적입니다. 그들은 파킨슨병 환자의 MDA 농도가 더 높다는 사실을 발견했는데, 이는 다른 방법을 사용했기 때문일 수도 있지만, 연구 집단의 잠재적인 차이 때문일 수도 있습니다 [185]. 위에서 언급한 바와 같이, 루차즈와 동료 연구자들이 사용한 GC-MS 접근법은 MDA 측정에 사용되어, 대조군과 비교했을 때, RA와 두꺼비 뇌염 환자의 여러 표본에서 높은 수치가 나타났습니다 [177,178]. 적용된 방법에 관계없이, 다섯 개의 연구 중 세 개는 부분적으로 대규모 집단을 포함하고 있었지만(예: 유럽 MARK-AGE 연구(표 6)), MDA와 고령의 상관관계가 없음을 발견했습니다. 건강한 피험자에 비해 노인 남성 및 여성 알츠하이머 및 파킨슨병 환자의 MDA 수준이 낮고, 폐암 환자 및 고령 대조군 간의 농도가 변하지 않는다는 사실과 함께 [151,183], 이것은 MDA가 인간 노화 및 노화 관련 질병에 대한 적절한 지표가 아니라는 것을 시사합니다.

 

4.6. Nitration in human diseases and aging

3-NT, the stable endproduct of peroxynitrite-mediated oxidation formed via nitration of free or protein-bound tyrosine, has been primarily used for the determination of protein nitration and nitrosative stress in clinical settings [186,187]. Already in 2008, Pacher et al. published an outstanding and detailed review about the role of peroxynitrite and 3-NT formation in human health and disease, indicating their relevance as diagnostic biomarker for several pathologic conditions [188]. Elevated levels of 3-NT have been also found in a variety of human diseases in recent research, including T2D, cancer, and neurodegenerative diseases, but the available data are partially conflicting (Table 7). For instance, while Ravassa et al. found higher 3-NT levels in T2D patients with additional cardiovascular events, no differences were observed by Segre and colleagues although baseline parameters of the study populations and the used methods were similar [189,190]. Moreover, recent research in AD patients revealed higher 3-NT levels compared to healthy volunteers, whereas no differences were found in a previous investigation by Ryberg and colleagues, but these studies are only partially comparable since different specimens and methodological approaches have been used [151,[191][192][193]]. To our knowledge, only Weber et al. determined 3-NT as a function of age in three different cohorts of the MARK-AGE study [194]. Two of three cohorts showed no differences between the age groups, but elevated 3-NT levels in age-related diseases, such as AD and PD, indicate the impact of 3-NT accumulation in human aging [191,192,195]. The measurement of 3-NT can be performed in plasma, serum as well as tissue samples by different methods, including IHC, ELISA, HPLC or the combination of LC with MS/MS, whereas MS approaches have been considered as gold standard. Nevertheless, commercially available ELISAs are preferentially used for 3-NT quantification in clinical studies due to standardization, easy sample preparation, the need of conventional equipment, and high sample throughput, as described for other biomarkers. In turn, several limitations have been highlighted in the literature, such as low sensitivity, minor specificity of applied antibodies, the susceptibility to errors, or missing detection of free 3-NT [[196][197][198][199]]. However, Weber et al. provided a simple and fast indirect ELISA method for the measurement of protein-bound 3-NT in human serum and plasma samples. High detection limits, small sample volumes, and the opportunity for high throughput-screening makes this method useful for clinical applications [196]. Moreover, Tramutola and colleagues used a slot blot approach to detect total 3-NT levels in PBMC (peripheral blood mononuclear cells) of AD patients, followed by a MS/MS-based proteomic analysis of 3-NT-modified proteins [191]. In 2016, Ng et al. demonstrated a novel detection scheme of 3-NT by using a nickel-doped graphene synthetic receptor combined with a localized surface plasmon resonance biosensor that might be of potential relevance for the diagnosis of 3-NT in clinical settings. As declared by the authors, this approach provides advantages compared to other techniques, such as immunoassays, due to label-free detection, higher specificity and capture of 3-NT by direct chemisorption [200]. The most accurate detection of 3-NT, however, requires the combination of LC with MS/MS providing the opportunity to distinguish between free, protein-bound, or total 3-NT, but the use of this method is not feasible for clinical research, because of high costs and low throughput [198].

 

4.6. 인간 질병과 노화에 있어서의 니트로화

자유 티로신 또는 단백질 결합 티로신의 니트로화를 통해 형성되는 퍼옥시니트라이트 매개 산화의 안정적 최종 산물인 3-NT는 주로 임상 환경에서 단백질 니트로화 및 니트로화 스트레스의 측정에 사용되어 왔습니다 [186,187]. 2008년에 이미 Pacher 등은 퍼옥시니트라이트와 3-NT의 역할에 대한 탁월하고 상세한 리뷰를 발표하여, 여러 병리학적 조건에 대한 진단 바이오마커로서의 관련성을 제시했습니다 [188]. 최근 연구에서 3-NT의 높은 수치는 T2D, 암, 신경 퇴행성 질환을 포함한 다양한 인간 질병에서도 발견되었지만, 이용 가능한 데이터는 부분적으로 상충됩니다(표 7). 예를 들어, Ravassa 등은 심혈관 질환이 추가적으로 발생한 제2형 당뇨병 환자에서 3-NT 수치가 더 높게 나타났지만, Segre 등은 연구 집단의 기준 매개변수와 사용된 방법이 유사했음에도 불구하고 차이가 관찰되지 않았습니다 [189,190]. 또한, 최근의 연구에 따르면, AD 환자에서 3-NT 수치가 건강한 지원자에 비해 더 높게 나타났습니다. 그러나 Ryberg와 동료 연구자들이 이전에 실시한 조사에서는 차이가 발견되지 않았습니다. 그러나 이러한 연구는 서로 다른 표본과 방법론적 접근 방식을 사용했기 때문에 부분적으로만 비교할 수 있습니다 [151,[191], [192], [193]]. 저희가 아는 바로는, Weber et al.만이 MARK-AGE 연구의 세 집단에서 3-NT를 연령의 함수로 결정했습니다 [194]. 세 집단 중 두 집단은 연령 집단 간에 차이가 없었지만, AD와 PD와 같은 연령 관련 질병에서 3-NT 수치가 상승한 것은 3-NT가 인간의 노화에 영향을 미친다는 것을 나타냅니다 [191,192,195]. 3-NT 측정은 IHC, ELISA, HPLC 또는 LC와 MS/MS의 조합을 포함한 다양한 방법으로 혈장, 혈청 및 조직 샘플에서 수행할 수 있으며, MS 접근법이 표준으로 간주되어 왔습니다. 그럼에도 불구하고, 다른 바이오마커에 대해 설명한 바와 같이, 표준화, 쉬운 샘플 준비, 기존 장비의 필요성, 높은 샘플 처리량 등의 이유로 임상 연구에서 3-NT 정량화에 상업적으로 이용 가능한 ELISA가 우선적으로 사용됩니다. 그 결과, 낮은 민감도, 적용된 항체의 낮은 특이성, 오류 발생 가능성, 또는 3-NT의 검출 누락과 같은 여러 가지 제한 사항이 문헌에서 강조되었습니다 [[196], [197], [198], [199]]. 그러나 Weber 등은 인간 혈청 및 혈장 샘플에서 단백질 결합 3-NT를 측정하기 위한 간단하고 빠른 간접 ELISA 방법을 제공했습니다. 높은 검출 한계, 적은 샘플 용량, 높은 처리량 검사의 가능성 때문에 이 방법은 임상 응용에 유용합니다 [196]. 또한, Tramutola와 동료들은 AD 환자의 PBMC(말초혈액 단핵세포)에서 총 3-NT 수준을 검출하기 위해 슬롯 블롯 접근법을 사용했고, 그 다음에는 3-NT 변형 단백질에 대한 MS/MS 기반의 단백질체 분석을 실시했습니다 [191]. 2016년, Ng 등은 니켈 도핑 그래핀 합성 수용체를 국소 표면 플라즈몬 공명 바이오센서와 결합하여 3-NT를 진단하는 데 잠재적으로 관련이 있을 수 있는 새로운 3-NT 검출 체계를 시연했습니다. 저자들이 밝힌 바에 따르면, 이 접근법은 라벨이 없는 검출, 더 높은 특이성, 직접 화학 흡착에 의한 3-NT 포획[200]으로 인해 면역 분석과 같은 다른 기술에 비해 장점이 있습니다. 그러나 3-NT의 가장 정확한 검출을 위해서는 LC와 MS/MS의 조합이 필요하며, 이를 통해 유리 3-NT, 단백질 결합 3-NT, 총 3-NT를 구분할 수 있지만, 이 방법은 비용이 많이 들고 처리량이 적기 때문에 임상 연구에 사용하기에는 적합하지 않습니다 [198].

 

 

Table 7.

Selected studies using 3-NT as biomarker of protein oxidation in clinical studies.

DiseaseSpecimenStudy populationMethodMain outcomeReference

T2DSerumNon-diabetic subjects (n = 14) vs. T2D patients (n = 72)
T2D patients with (n = 14) or w/o (n = 46) cardiovascular events
ELISAElevated levels of 3-NT in T2D patients
Higher 3-NT levels in T2D patients with cardiovascular events
[189]
T2DSerumNon-diabetic subjects (n = 35) vs. T2D patients (n = 60)ELISAHigher levels of protein-bound 3-NT in T2D patients[244]
T2D and CADPlasmaT2D patients with (n = 36) and w/o (n = 32) CADELISANo differences between the groups[190]
Mortality in CHD patientsSerumPatients with acute coronary syndrome (n = 342)ELISANo relationship between 3-NT and mortality during 4-years of follow-up[245]
Oral squamous cell carcinomaTissue samples (oral mucosa)Normal oral mucosa (n = 16) vs. oral leukoplakia (n = 42) or oral squamous cell carcinoma with (n = 46) and w/o (n = 39) metastasesIHCHigher 3-NT levels in oral squamous cell carcinoma samples with metastases compared to samples w/o metastases[246]
PD and ADPlasmaControl subjects (n = 34) vs. AD (n = 40) and PD patients (n = 70)ELISAHigher 3-NT levels in male AD patients compared to PD patients and controls[151]
ADPBMCNon-demented subjects vs. AD patientsSlot blotIncreased total 3-NT levels in PBMC of AD patients[191]
ADPlasmaHealthy subjects (n = 37) vs. AD patients (n = 48)ELISAHigher plasma 3-NT concentrations in AD patients[192]
Interstitial lung diseasePlasmaHealthy individuals vs. patients with interstitial lung disease (n = 42 per group)MS/MSElevated levels of 3-NT in patients with interstitial lung disease[142]
MetSPlasmaHealthy vs. MetS subjects (n = 25 per group)LC-ESI-MS/MSHigher protein-bound 3-NT levels in MetS subjects[247]

AgingPlasma3 study groups from MARK-AGE project:
RASIG (n = 794), GO (n = 493), SGO
(n = 272)
Participants divided in 4 groups:
55-59, 60–64, 65–69 and 70–75 years
ELISAPositive correlation between 3-NT levels and age in RASIG group
No correlation in GO and SGO groups between 3-NT levels and age
[194]

Open in a new tab

5. Conclusion

Reactive oxygen and nitrogen species are ubiquitous side-products of metabolism. Impaired balance between their generation and degradation in aging and disease causes oxidative and nitrosative stress. As a result, an incredible number of distinct protein modifications is formed. These modifications are generally more stable compared to their reactive precursors and, thus, important biomarkers for monitoring medium-to long-term oxidative and nitrosative stress. Selection of the appropriate technique to study protein oxidation in biological samples is the responsibility of the user and depends on the experimental question and the available equipment. Many biological disciplines use immunoassays as routine methods. Immunological methods are often based on monoclonal antibodies or polyclonal antisera obtained after immunization with immunogens, lacking full chemical or structural characterization. In many cases, the epitopes recognized by the antibodies remain unknown. To advance the knowledge in protein oxidation and its structural mysteries, a further increase of MS analysis for biological samples would be desirable. Among the presented methods, MS is certainly the most accurate and informative technique, capable of resolving remaining questions regarding protein modifications.

 

Since many frequently used routine methods are less than optimal, the clinical relevance of most protein modifications as biomarkers is questionable, although protein oxidation seems to play a critical role in several pathologies and in the aging process. Reversible modifications, including cysteine disulfide and methionine sulfoxide have been associated with various human and age-related diseases, but in most studies only oxidized free amino acids have been determined, not reflecting the extent of protein oxidation. Also, the widely used spectrophotometric detection of AOPPs is highly unspecific and detects a wide range of oxidative species, therefore, these studies should be treated with caution. The determination of specific crosslinks such as dityrosine by chromatographic separation followed by MS analysis is more reliable. Moreover, drawing a final conclusion on glycoxidation products as relevant biomarkers of protein oxidation is hardly possible based on the included studies published in the last years. The selection of specific and reliable analytes and detection methods is of utmost importance and can influence the study outcome significantly. Thus, further longitudinal studies with standardized methods and conditions are needed to determine the relationship between these oxidation products and human diseases in more detail. Regarding advanced lipoxidation endproducts, recent studies mainly focused on the reactive intermediates 4-HNE and MDA, which presumably correlate with the amount of protein modifications formed by reaction with this carbonyl species. However, future studies should focus on measuring the corresponding stable protein modifications. Despite partially inconsistent results in studies of recent years, elevated 3-NT levels are associated with multiple diseases and aging, indicating its potential as biomarker for protein oxidation in clinical research. Also, elevated levels of protein carbonyls have been observed in several human diseases and are associated with the aging process. Therefore, protein carbonyl content can be seen as a biomarker of global oxidative protein damage, with the advantage of early formation and long circulation periods compared to other parameters of oxidative stress.

 

5. 결론
활성산소와 활성질소 종은 신진대사의 부수적인 부산물입니다. 노화와 질병에서 이들의 생성 및 분해 사이의 균형이 깨지면 산화적 스트레스와 니트로사이드 스트레스가 발생합니다. 그 결과, 믿을 수 없을 정도로 많은 종류의 단백질 변형이 발생합니다. 이러한 변형은 일반적으로 활성 전구물질에 비해 안정성이 더 높기 때문에, 중장기적인 산화적 스트레스와 니트로사이드 스트레스를 모니터링하는 데 중요한 바이오마커입니다. 생물학적 샘플에서 단백질 산화를 연구하는 데 적합한 기법을 선택하는 것은 사용자의 책임이며, 실험의 질문과 사용 가능한 장비에 따라 달라집니다. 많은 생물학 분야에서는 면역 분석을 일상적인 방법으로 사용합니다. 면역학적 방법은 종종 면역원(immunogen)으로 면역화한 후 얻은 단일 클론 항체 또는 다클론 항혈청을 기반으로 하며, 완전한 화학적 또는 구조적 특성화가 부족합니다. 대부분의 경우, 항체에 의해 인식되는 에피토프는 아직 알려지지 않았습니다. 단백질 산화 및 그 구조적 미스터리에 대한 지식을 발전시키기 위해서는 생물학적 샘플에 대한 MS 분석을 더욱 늘리는 것이 바람직합니다. 제시된 방법들 중에서 MS는 확실히 가장 정확하고 유용한 기술이며, 단백질 변형에 관한 나머지 의문점을 해결할 수 있습니다.

자주 사용되는 일상적인 방법들이 최적의 수준에 미치지 못하기 때문에, 단백질 산화가 여러 병리학 및 노화 과정에서 중요한 역할을 하는 것으로 보이지만, 대부분의 단백질 변형이 바이오마커로서 임상적 관련성이 있는지는 의문입니다. 시스테인 디설파이드와 메티오닌 설폭사이드를 포함한 가역적 변형은 다양한 인간 및 노화 관련 질병과 관련이 있는 것으로 밝혀졌지만, 대부분의 연구에서는 단백질 산화 정도를 반영하지 않는 산화된 유리 아미노산만 측정했습니다. 또한, 널리 사용되는 AOPPs의 분광광도계 검출은 매우 비특이적이며 광범위한 산화 종을 검출하므로 이러한 연구는 주의해서 다루어야 합니다. 크로마토그래피 분리 후 MS 분석을 통해 디티로신과 같은 특정 교차 결합을 결정하는 것이 더 신뢰할 수 있습니다. 또한, 최근 몇 년 동안 발표된 연구 결과를 바탕으로 글리코산화 산물(glycoxidation products)을 단백질 산화의 관련 바이오마커로 최종 결론을 내리는 것은 거의 불가능합니다. 특정하고 신뢰할 수 있는 분석 물질과 검출 방법을 선택하는 것이 가장 중요하며, 연구 결과에 큰 영향을 미칠 수 있습니다. 따라서, 이러한 산화 생성물과 인간 질병 사이의 관계를 보다 상세하게 파악하기 위해서는 표준화된 방법과 조건을 적용한 추가적인 종단 연구가 필요합니다. 고급 지방산화 최종 산물에 관한 최근의 연구는 주로 반응성 중간체 4-HNE와 MDA에 초점을 맞추고 있는데, 이는 아마도 이 카르보닐 종과의 반응에 의해 형성되는 단백질 변형 양과 관련이 있을 것으로 추정됩니다. 그러나, 향후 연구에서는 해당되는 안정적인 단백질 변형을 측정하는 데 초점을 맞추어야 합니다. 최근 몇 년 동안의 연구에서 부분적으로 일관되지 않은 결과가 나왔음에도 불구하고, 3-NT 수치의 증가는 여러 질병과 노화와 관련이 있으며, 이는 임상 연구에서 단백질 산화에 대한 바이오마커로서의 잠재력을 나타냅니다. 또한, 여러 인간 질병에서 단백질 카르보닐의 수치가 증가하는 것이 관찰되었으며, 이는 노화 과정과 관련이 있습니다. 따라서, 단백질 카르보닐 함량은 전신 산화 단백질 손상의 바이오마커로 볼 수 있으며, 산화 스트레스의 다른 매개변수에 비해 조기 형성 및 긴 순환 주기의 이점이 있습니다.

 

Acknowledgement

This work was supported by the German Ministry of Education and Research (BMBF) and the State of Brandenburg (DZD grant 82DZD00302).

Contributor Information

Richard Kehm, Email: Richard.Kehm@dife.de.

Tim Baldensperger, Email: Tim.Baldensperger@dife.de.

Jana Raupbach, Email: Jana.Raupbach@dife.de.

Annika Höhn, Email: Annika.Hoehn@dife.de.

References

  • 1.Sies H. Strategies of antioxidant defense. Eur. J. Biochem. 1993;215:213–219. doi: 10.1111/j.1432-1033.1993.tb18025.x. [DOI] [PubMed] [Google Scholar]
  • 2.Hughes M.N., Nicklin H.G. A possible role for the species peroxonitrite in nitrification. Biochim. Biophys. Acta. 1970;222:660–661. doi: 10.1016/0304-4165(70)90192-3. [DOI] [PubMed] [Google Scholar]
  • 3.Kregel K.C., Zhang H.J. An integrated view of oxidative stress in aging: basic mechanisms, functional effects, and pathological considerations. Am. J. Physiol. Regul. Integr. Comp. Physiol. 2007;292:R18–R36. doi: 10.1152/ajpregu.00327.2006. [DOI] [PubMed] [Google Scholar]
  • 4.Liguori I., Russo G., Curcio F., Bulli G., Aran L., Della-Morte D., Gargiulo G., Testa G., Cacciatore F., Bonaduce D., Abete P. Oxidative stress, aging, and diseases. Clin. Interv. Aging. 2018;13:757–772. doi: 10.2147/CIA.S158513. [DOI] [PMC free article] [PubMed] [Google Scholar]
  • 5.Sies H., Berndt C., Jones D.P. Oxidative stress. Annu. Rev. Biochem. 2017;86:715–748. doi: 10.1146/annurev-biochem-061516-045037. [DOI] [PubMed] [Google Scholar]
  • 6.Davies M.J., Fu S., Wang H., Dean R.T. Stable markers of oxidant damage to proteins and their application in the study of human disease. Free Radic. Biol. Med. 1999;27:1151–1163. doi: 10.1016/s0891-5849(99)00206-3. [DOI] [PubMed] [Google Scholar]
  • 7.Davies M.J. Protein oxidation and peroxidation. Biochem. J. 2016;473:805–825. doi: 10.1042/BJ20151227. [DOI] [PMC free article] [PubMed] [Google Scholar]
  • 8.Droge W. Free radicals in the physiological control of cell function. Physiol. Rev. 2002;82:47–95. doi: 10.1152/physrev.00018.2001. [DOI] [PubMed] [Google Scholar]
  • 9.Spickett C.M., Pitt A.R. Protein oxidation: role in signalling and detection by mass spectrometry. Amino Acids. 2012;42:5–21. doi: 10.1007/s00726-010-0585-4. [DOI] [PubMed] [Google Scholar]
  • 10.Gil L., Siems W., Mazurek B., Gross J., Schroeder P., Voss P., Grune T. Age-associated analysis of oxidative stress parameters in human plasma and erythrocytes. Free Radic. Res. 2006;40:495–505. doi: 10.1080/10715760600592962. [DOI] [PubMed] [Google Scholar]
  • 11.Mutlu-Turkoglu U., Ilhan E., Oztezcan S., Kuru A., Aykac-Toker G., Uysal M. Age-related increases in plasma malondialdehyde and protein carbonyl levels and lymphocyte DNA damage in elderly subjects. Clin. Biochem. 2003;36:397–400. doi: 10.1016/s0009-9120(03)00035-3. [DOI] [PubMed] [Google Scholar]
다음검색
현재 게시글 추가 기능 열기

댓글

댓글 리스트
맨위로

카페 검색

카페 검색어 입력폼