CAFE

shoulder complex

Re: 오십견 스테로이드 주사, home exercise 2020년 jama 논문

작성자문형철|작성시간24.10.18|조회수224 목록 댓글 0

stages of pain (stage 1, lasting 2-9 months),

stiffness (stage 2, lasting 4-12 months)and

recovery (stage 3, lasting 5-24 months).

 

 

JAMA 오십견 자연경과(natural history)

구분통증기(만성염증)강직기회복기
자연경과 평균기간2~9개월(10개월)4~12개월(1년)5~24개월(2년)
문치연 치유경과2주 50%
4주 70%
0주2개월
통증, 강직특성 만성염증으로 심한 통증
관절운동도 점차 줄어듬
심한 통증 감소
어깨강직 및 운동범위 감소
통증은 거의 없음
어깨 가동범위가 점진적으로 회복
다른 치료법 건생병사 4과제
발효 항염방
NO 약침 재생치료
발효 건생탕 
관절가동 치료법
+ 세밀한 단계별 운동강도 증진치료
   섬유아세포 재생 발효한약

Original Investigation 

Orthopedics

December 16, 2020

 

Comparison of Treatments for Frozen ShoulderA Systematic Review and Meta-analysis

 

Dimitris Challoumas, MD1Mairiosa Biddle, MD1Michael McLean, MD1et alNeal L. Millar, MD, PhD1

Author Affiliations Article Information

JAMA Netw Open. 2020;3(12):e2029581. doi:10.1001/jamanetworkopen.2020.29581

Key Points

 

Question  Are any treatment modalities for frozen shoulder associated with better outcomes than other treatments?

Findings  In this meta-analysis of 65 studies with 4097 participants, intra-articular corticosteroid was associated with increased short-term benefits compared with other nonsurgical treatments, and its superiority appeared to last for as long as 6 months. The addition of a home exercise program and/or electrotherapy or passive mobilizations may be associated with added benefits.

Meaning  The results of this study suggest that intra-articular corticosteroid should be offered to patients with frozen shoulder at first contact.

 

Abstract

Importance  There are a myriad of available treatment options for patients with frozen shoulder, which can be overwhelming to the treating health care professional.

Objective  To assess and compare the effectiveness of available treatment options for frozen shoulder to guide musculoskeletal practitioners and inform guidelines.

Data Sources  Medline, EMBASE, Scopus, and CINHAL were searched in February 2020.

Study Selection  Studies with a randomized design of any type that compared treatment modalities for frozen shoulder with other modalities, placebo, or no treatment were included.

Data Extraction and Synthesis  Data were independently extracted by 2 individuals. This study followed the Preferred Reporting Items for Systematic Reviews and Meta-analyses (PRISMA) reporting guideline. Random-effects models were used.

Main Outcomes and Measures  Pain and function were the primary outcomes, and external rotation range of movement (ER ROM) was the secondary outcome. Results of pairwise meta-analyses were presented as mean differences (MDs) for pain and ER ROM and standardized mean differences (SMDs) for function. Length of follow-up was divided into short-term (≤12 weeks), mid-term (>12 weeks to ≤12 months), and long-term (>12 months) follow-up.

 

Results  From a total of 65 eligible studies with 4097 participants that were included in the systematic review, 34 studies with 2402 participants were included in pairwise meta-analyses and 39 studies with 2736 participants in network meta-analyses. Despite several statistically significant results in pairwise meta-analyses, only the administration of intra-articular (IA) corticosteroid was associated with statistical and clinical superiority compared with other interventions in the short-term for pain (vs no treatment or placebo: MD, −1.0 visual analog scale [VAS] point; 95% CI, −1.5 to −0.5 VAS points; P < .001; vs physiotherapy: MD, −1.1 VAS points; 95% CI, −1.7 to −0.5 VAS points; P < .001) and function (vs no treatment or placebo: SMD, 0.6; 95% CI, 0.3 to 0.9; P < .001; vs physiotherapy: SMD 0.5; 95% CI, 0.2 to 0.7; P < .001). Subgroup analyses and the network meta-analysis demonstrated that the addition of a home exercise program with simple exercises and stretches and physiotherapy (electrotherapy and/or mobilizations) to IA corticosteroid may be associated with added benefits in the mid-term (eg, pain for IA coritocosteriod with home exercise vs no treatment or placebo: MD, −1.4 VAS points; 95% CI, −1.8 to −1.1 VAS points; P < .001).

Conclusions and Relevance  The findings of this study suggest that the early use of IA corticosteroid in patients with frozen shoulder of less than 1-year duration is associated with better outcomes. This treatment should be accompanied by a home exercise program to maximize the chance of recovery.

 

질문 오십견 치료 중 다른 치료법보다 더 나은 결과를 가져오는 치료법이 있나요?

 

결과 4097명이 참여한 65건의 연구를 대상으로 한 이 메타 분석에서

관절 내 코르티코스테로이드는

다른 비수술적 치료법에 비해 단기적으로 더 많은 이점이 있으며,

그 우수성은 6개월까지 지속되는 것으로 나타났습니다.

 

--> 통증기(만성염증기)에 건생병사 치료법을 병행하면 1개월이내에 만성염증을 해결하면

     아마도.. 스테로이드 주사보다 효과가 더 좋을 것으로 추정

 

가정 운동 프로그램 및/또는

전기 치료 또는

수동적 운동 요법을 추가하면

추가적인 이점이 있을 수 있습니다.

 

의미 이 연구 결과는 오십견 환자에게 처음 접촉할 때 관절 내 코르티코스테로이드가 제공되어야 함을 시사합니다.

 

중요성 오십견 환자에게 사용할 수 있는 치료 옵션은 무수히 많으며, 이는 치료하는 의료 전문가에게 압도적일 수 있습니다.

 

목적 근골격계 전문의에게 지침을 제공하기 위해 오십견 치료 옵션의 효과를 평가하고 비교하여 가이드라인을 제시합니다.

 

데이터 출처 2020년 2월에 Medline, EMBASE, Scopus, CINHAL을 검색했습니다.

연구 선택 오십견 치료 방식을 다른 치료 방식, 위약 또는 무치료와 비교한 모든 유형의 무작위 배정 설계 연구가 포함되었습니다.

데이터 추출 및 종합 데이터는 2명의 개인이 독립적으로 추출했습니다. 이 연구는 체계적 문헌고찰 및 메타분석을 위한 선호 보고 항목(PRISMA) 보고 가이드라인을 따랐습니다. 무작위 효과 모델이 사용되었습니다.

 

주요 결과 및 측정값

 

통증과 기능이 1차 결과였고,

외회전 운동 범위(ER ROM)가 2차 결과였습니다.

 

쌍별 메타분석 결과는 통증과 ER ROM의 경우 평균 차이(MD)로, 기능의 경우 표준화된 평균 차이(SMD)로 제시되었습니다.

 

추적 관찰 기간은

단기(3개월 이하),

중기(3개월 초과~12개월 이하),

장기(12개월 초과) 추적 관찰로 구분했습니다.

 

short-term (≤12 weeks),

mid-term (>12 weeks to ≤12 months), and

long-term (>12 months) follow-up.

 

결과 체계적 문헌고찰에 포함된 총 65건의 적격 연구(4097명 참여)에서 2402명이 참여한 34건의 연구가 쌍별 메타분석에, 2736명이 참여한 39건의 연구가 네트워크 메타분석에 포함되었습니다. 쌍별 메타분석에서 통계적으로 유의미한 결과가 여러 건 나왔지만,

 

관절 내(IA) 코르티코스테로이드 투여만이

단기간 통증에 대해 다른 중재법(무치료 또는 위약 대비)에 비해

통계적 및 임상적 우월성과 관련이 있는 것으로 나타났습니다:

 

MD, -1.0 시각적 아날로그 척도[VAS] 점수; 95% CI, -1.5 ~ -0.5 VAS 점수; P< .001; vs 물리치료: MD, -1.1 VAS 점수; 95% CI, -1.7 ~ -0.5 VAS 점수; P< .001) 및 기능(치료 또는 위약 없음: SMD, 0.6; 95% CI, 0.3 ~ 0.9; P< .001; vs 물리치료): SMD 0.5; 95% CI, 0.2~0.7; P< .001).

 

하위 그룹 분석과 네트워크 메타 분석에 따르면

간단한 운동과 스트레칭이 포함된 가정 운동 프로그램과

물리 치료(전기 치료 및/또는 운동)를

IA 코르티코스테로이드에 추가하면

중기적으로 추가적인 이점이 있을 수 있습니다

 

(예: 가정 운동을 통한 IA 코르티코스테로이드의 통증 대 치료 또는 위약 없음): MD, -1.4 VAS 포인트; 95% CI, -1.8~-1.1 VAS 포인트; P< .001).

 

결론 및 관련성

이 연구 결과는

오십견이 1년 미만인 환자에서

IA 코르티코스테로이드를 조기에 사용하는 것이

더 나은 결과와 관련이 있음을 시사합니다.

 

이 치료는

회복 가능성을 극대화하기 위해

가정 운동 프로그램을 동반해야 합니다.

 

Introduction

Adhesive capsulitis, also known as frozen shoulder, is a common shoulder concern manifesting in progressive loss of glenohumeral movements coupled with pain.1 It is a fibroproliferative tissue fibrosis, and although the immunobiological advances in other diseases have helped dissect the pathophysiology of this condition, overall, the molecular mechanisms underpinning it remain poorly understood.2-5

Frozen shoulder manifests clinically as shoulder pain with progressive restricted movement, both active and passive, along with normal radiographic scans of the glenohumeral joint.6 It classically progresses prognostically through 3 overlapping

 

stages of pain (stage 1, lasting 2-9 months),

stiffness (stage 2, lasting 4-12 months), and

recovery (stage 3, lasting 5-24 months).7 

 

However, this is an estimated time frame, and many patients can still experience symptoms at 6 years.8 A primary care–based observational study estimated its incidence as 2.4 per 100 000 individuals per year,9 with preval‎ence varying from less than 1% to 2% of the population.10

A true evidence-based model for its medical management has not been defined, with a wide spectrum of operative and nonoperative treatments available. From the international to departmental level, management strategies vary widely, reflecting the lack of good-quality evidence.11 The British Elbow and Shoulder Society/British Orthopaedic Association (BESS/BOA) has published recommendations in a patient care pathway for frozen shoulder, with a step-up approach in terms of invasiveness advised.12 The UK Frozen Shoulder Trial, a randomized parallel trial comparing the clinical and cost-effectiveness of early structured physiotherapy, manipulation under anesthetic (MUA), and arthroscopic capsular release (ACR) is currently under way.13 The aim of this systematic review is to present the available evidence relevant to treatment and outcomes for frozen shoulder with the ultimate objective of guiding clinical practice, both in primary and secondary care.

 

소개

 

오십견으로도 알려진 유착성 관절낭염은

통증과 함께 상완골 운동의 점진적인 상실을 나타내는

흔한 어깨 질환입니다.1

 

이는

섬유 증식성 조직 섬유증 fibroproliferative tissue fibrosis으로,

다른 질환의 면역 생물학적 발전이 이 질환의 병태 생리를 해부하는 데 도움이 되었지만

전반적으로 그 기저를 이루는 분자 메커니즘은

여전히 잘 이해되지 않았습니다.2-5

 

오십견은

임상적으로 능동적 및 수동적 운동 제한을 동반한 어깨 통증과 함께

상완골 관절의 정상적인 방사선 검사 소견으로 나타납니다.6

 

일반적으로

통증(1기, 2-9개월 지속),

강직(2기, 4-12개월 지속),

회복(3기, 5-24개월 지속)의 3단계가 겹치는 예후를 보입니다.7

 

그러나

이는 추정 기간이며

많은 환자가 6년 후에도 증상을 경험할 수 있습니다.8

 

 

원발성 오십견 진단을 받은 223명의 환자 269의 어깨를 연구 대상으로 삼았습니다. 주요 결과 측정은 옥스포드 어깨 점수였습니다. 증상 발현 후 평균 추적 관찰 기간은 4.4년(범위, 2~20년)이었습니다. 증상 발현 시점의 평균 연령은 53.4세였으며, 여성이 남성보다 더 흔했습니다(1.6:1.0). 환자의 20%가 양측성 증상을 보였지만 재발한 사례는 없었습니다. 장기적으로 볼 때 환자의 59%는 어깨가 정상이거나 거의 정상이었고 41%는 일부 증상이 지속되고 있다고 보고했습니다. 이러한 지속적인 증상의 대부분은 경미한 증상(94%)이었으며, 통증이 가장 흔한 호소였습니다. 6%만이 통증과 기능 상실을 동반한 심각한 증상을 호소했습니다. 발병 당시 증상이 가장 심했던 사람들의 장기 예후가 가장 나빴습니다(P < .001).

--> 오십견은 여성 1.6배 흔함.

      20%는 양측어깨통증,

      발병당시 통증이 심한 6% 환자 예후 불량.

 

sxford shoulder score 12개 질문

https://www.ouh.nhs.uk/shoulderandelbow/information/documents/OxfordShoulderScore.pdf

 

1차 진료 기반 관찰 연구에 따르면 발병률은

연간 10만 명당 2.4명으로추정되며9

유병률은 인구의 1%에서 2% 미만까지 다양합니다.10

 

다양한 수술적 및 비수술적 치료법을 사용할 수 있지만, 의료적 관리를 위한 진정한 근거 기반 모델은 정의되지 않았습니다. 국제적 수준에서 부서별 수준에 이르기까지 관리 전략은 매우 다양하며, 이는 양질의 근거가 부족함을 반영합니다.11 영국 팔꿈치 및 어깨 학회/영국 정형외과 협회(BESS/BOA)는 오십견 환자 치료 경로에 대한 권고안을 발표했으며, 침습성 측면에서 한 단계 업그레이드된 접근법을 권고하고 있습니다.12 현재 조기 구조적 물리치료, 마취하 조작술(MUA), 관절경적 캡슐 내 석션술(ACR)의 임상 및 비용 효과를 비교하는 무작위 병행 시험인 영국 오십견 시험이 진행 중입니다.13

 

이 체계적인 검토의 목적은

1차 및 2차 진료 모두에서

임상 진료 지침을 제시하는 궁극적인 목적으로

오십견 치료 및 결과와 관련된 이용 가능한 증거를 제시하는 것입니다.

 

Methods

The present systematic review has been conducted and authored according to the Preferred Reporting Items for Systematic Reviews and Meta-analyses (PRISMA) reporting guideline.14 Our patient, intervention, comparison, and outcome (PICO) was defined as follows: patients, patients with frozen shoulder of any etiology, duration, and severity; intervention, any treatment modality for frozen shoulder; comparison, any other treatment modality, placebo, or no treatment; and outcome, pain and function (primary outcomes) and external rotation range of movement (ER ROM) (secondary outcome) in the short term, midterm, or long term.

 

방법

본 체계적 문헌고찰은 체계적 문헌고찰 및 메타분석에 대한 선호 보고 항목(PRISMA) 보고 가이드라인에 따라 수행 및 작성되었습니다.14 환자, 중재, 비교 및 결과(PICO)는 다음과 같이 정의되었습니다: 환자, 원인, 기간 및 중증도에 관계없이 오십견 환자; 중재, 오십견에 대한 모든 치료 양식; 비교, 다른 치료 양식, 위약 또는 무치료; 결과, 단기, 중기 또는 장기에서의 통증 및 기능(1차 결과) 및 외회전 운동 범위(ER ROM)(2차 결과)로 정의되었습니다.

 

Eligibility

Included studies had a randomized design of any type and compared treatment modalities for frozen shoulder with other treatment modalities, placebo, or no treatment. Additionally, at least 1 of our preset outcome measures needed to be included in the study. Studies that compared different types, regimens, dosages, or durations of the same intervention were excluded (eg, different doses of corticosteroid or different exercise types). Those assessing the effectiveness of the same modality applied in different anatomical sites (eg, subacromial vs intra-articular [IA] corticosteroid) were included. Participants had to be older than 18 years with a clinical diagnosis of adhesive capsulitis. No formal diagnostic criteria were used to define frozen shoulder; however, the use of inappropriate or inadequate diagnostic criteria was taken into account in risk-of-bias assessments. Duration of the condition was not a criterion nor were previous treatments and follow-up. Inclusion of patients with specific conditions (eg, diabetes) was not an exclusion criterion, and it was not taken into account in analyses, provided that their proportion in the treatment groups was comparable.

Nonrandomized comparative studies, observational studies, case reports, case series, literature reviews, published conference abstracts, and studies published in languages other than English were excluded. Studies including patients with the general diagnosis of shoulder pain were also excluded even if a proportion of them had frozen shoulder. Studies assessing the effectiveness of different types of physiotherapy-led interventions, exercise, or stretching regimens were also excluded.

 

Search Strategy

A thorough literature search was conducted by 3 of us (D.C., M.B., and M.M.) via Medline, EMBASE, Scopus, and CINAHL in February 2020, with the following Boolean operators in all fields: (adhesive capsulitis OR frozen shoulder OR shoulder periarthritis) AND (treatment OR management OR therapy) AND randomi*). Relevant review articles were screened to identify eligible articles that may have been missed at the initial search. Additionally, reference list screening and citation tracking in Google Scholar were performed for each eligible article.

 

연구 대상

포함된 연구는 모든 유형의 무작위 배정 설계로 오십견 치료 방식을 다른 치료 방식, 위약 또는 무치료와 비교했습니다. 또한, 사전에 설정된 결과 측정 항목 중 최소 1개 이상이 연구에 포함되어야 했습니다. 동일한 개입의 다른 유형, 요법, 용량 또는 기간을 비교한 연구(예: 다른 용량의 코르티코스테로이드 또는 다른 운동 유형)는 제외되었습니다. 다른 해부학적 부위(예: 견봉하 대 관절강 내 코르티코스테로이드)에 적용된 동일한 방식의 효과를 평가하는 연구도 포함되었습니다. 참가자는 유착성 관절낭염의 임상적 진단을 받은 18세 이상이어야 했습니다. 오십견을 정의하기 위해 공식적인 진단 기준은 사용되지 않았지만, 부적절하거나 부적절한 진단 기준의 사용은 편향성 위험 평가에서 고려되었습니다. 질환의 지속 기간은 기준이 아니었으며 이전 치료 및 후속 조치도 기준이 아니었습니다. 특정 질환(예: 당뇨병)을 가진 환자의 포함 여부는 제외 기준이 아니었으며, 치료 그룹 내 비율이 비슷하다면 분석에서 고려하지 않았습니다.

비무작위 비교 연구, 관찰 연구, 증례 보고, 증례 시리즈, 문헌 고찰, 발표된 학회 초록, 영어 이외의 언어로 발표된 연구는 제외되었습니다. 어깨 통증의 일반적인 진단을 받은 환자를 포함한 연구도 일부가 오십견을 앓고 있더라도 제외했습니다. 물리 치료 주도의 다양한 유형의 중재, 운동 또는 스트레칭 요법의 효과를 평가하는 연구도 제외되었습니다.

 

검색 전략

2020년 2월에 3명의 연구자(박사, 석사, 박사)가 Medline, EMBASE, Scopus, CINAHL을 통해 모든 분야의 부울 연산자를 사용하여 (유착성피막염 또는 오십견 또는 어깨 관절 주위염) 및 (치료 또는 관리 또는 치료) 및 란도미*)로 문헌 검색을 수행했습니다. 초기 검색에서 누락되었을 수 있는 적격 논문을 식별하기 위해 관련 리뷰 논문을 선별했습니다. 또한 각 적격 논문에 대해 참고 문헌 목록 선별 및 Google Scholar의 인용 추적을 수행했습니다.

 

Screening

From a total of 73 299 articles that were initially identified, after exclusion of duplicate and noneligible articles, title and abstract screening, and the addition of missed studies identified subsequently, 65 studies were found to fulfil the eligibility criteria. Figure 1 illustrates the article screening process.

 

Risk-of-Bias Assessment and Grading the Certainty of Evidence

The internal validity (freedom from bias) of each included study was assessed with the Cochrane Collaboration’s tool for assessing risk of bias in randomized trials separately by 2 of us (D.C. and M.B.), and a third independent opinion (M.M.) was sought when disagreements existed.15 Studies were characterized as having low, high, or unclear overall risk of bias based on the following formula: low overall risk studies had high risk of bias in 2 or fewer domains; high overall risk studies had high risk of bias in more than 2 domains; unclear overall risk studies had unclear risk of bias in more than 2 domains, unless they also had high risk of bias in more than 2 domains, in which case they were labeled as high overall risk. Risk of bias was assessed separately for outcome measures that included patient reporting (pain, function) and those that did not (ROM); all studies with nonmasked participants were labeled as high risk in the masking of outcome measures domain for patient-reported outcomes given that the assessors were the participants themselves.

 

Certainty of evidence was graded with the Grading of Recommendations, Assessment, Development and Eval‎uations (GRADE) tool (eTable 1 in the Supplement).16 The scale starts with high, and depending on how many of the 5 possible limitations used in the GRADE tool were present in each comparison, the study could be downgraded to moderate, low, and very low. Grading of evidence was performed by 2 authors (D.C. and M.B.) independently and any disagreements were resolved by discussion and involvement of a third assessor (M.M.). Each outcome measure within each comparison had its own evidence grade. Our recommendations for clinical practice were based on results of either high or moderate quality evidence with both clinical and statistical significance.

 

Data Extraction

Two of us (D.C. and M.B.) performed data extraction. The key characteristics of each eligible article were extracted and inserted in tables in Microsoft Word version 16.43 (Microsoft Corp) to facilitate analysis and presentation. For missing data, attempts were made to contact the original investigators for included studies published less than 10 years ago.

For the presentation of results, outcomes were divided into short-term (≤12 weeks), mid-term (>2 weeks to ≤12 months), and long-term (>12 months) follow-up. When sufficient data existed, short-term follow-up was subdivided into early short-term (2-6 weeks) and late short-term (8-12 weeks). All short-term follow-up points were converted to weeks, and all mid-term follow-up points to months for consistency and easier analysis.

Comparisons of interventions reported by fewer than 3 studies were included in the supplementary results table and were not analyzed or included in the article. When 3 or more studies contributed data for outcome measures at similar follow up times (ie, 2-6 weeks, 8-12 weeks, and 4-6 months), pairwise meta-analyses were conducted. Raw mean differences (MDs) with their accompanying 95% CIs were calculated and used in the tests for each comparison of pain and ER ROM because the tools used across studies were the same. Standardized mean differences (SMDs) were used for function because different functional scores were used.

When pain results were reported in different settings (eg, at rest, at night, with activity) in studies, only pain at rest was used in results. When both active and passive ROM were used as outcome measures, passive ROM was used in our results to increase homogeneity given that most studies used passive ROM. Results for the following outcome measures were recorded in tables and combined qualitatively only based on direction of effect to yield an overall effect for each comparison: abduction ROM, flexion ROM, and quality of life. However, these were not included in the results nor was the quality of the relevant evidence graded.

Additionally, comparisons that yielded both clinically and statistically significant results (ie, greater than or equal to the minimal clinically relevant difference and P < .05) underwent trial sequential analysis (TSA) to rule out a type I error and further reinforce our recommendations for clinical practice. TSA is a quantitative method applying sequential monitoring boundaries to cumulative meta-analyses in a similar fashion as the application of group sequential monitoring boundaries in single trials to decide whether they could be terminated early because of a sufficiently small P value. TSA is considered an interim meta-analysis; it helps control for type I and II errors and clarifies whether additional trials are needed by considering required information size.17 The TSA graph includes 2 horizontal lines, representing the conventional thresholds for statistical significance (Z = 1.96; P < .05); 1 vertical line, representing required information size; a curved red line, representing the TSA boundaries (ie, thresholds for statistical significance); and a blue line showing the cumulative amount of information as trials are added. A significant result is denoted by a crossing of the curved blue and red lines.

Finally, a network meta-analysis was conducted for treatments used by 3 or more studies for the primary outcome (pain) at late short-term (8-12 weeks) and mid-term (4-6 months) follow-up. Both direct and indirect comparisons were included in the model, and treatment rank probabilities were produced for the 2 follow-up time periods. The certainty of evidence deriving from network meta-analyses was not graded. Subgroup analyses for the effect of home exercise, different physiotherapy interventions, and chronicity of frozen shoulder were conducted when possible.

 

데이터 추출

데이터 추출은 두 명(D.C.와 M.B.)이 수행했습니다. 각 대상 논문의 주요 특징을 추출하여 분석 및 발표를 용이하게 하기 위해 Microsoft Word 버전 16.43(Microsoft Corp)의 표에 삽입했습니다. 누락된 데이터의 경우, 10년 이내에 발표된 연구에 대해서는 원 연구자에게 연락을 시도했습니다.

 

결과 발표를 위해 결과는 단기(12주 이하), 중기(2주 이상~12개월 이하), 장기(12개월 이상) 추적관찰로 구분했습니다. 충분한 데이터가 존재하는 경우, 단기 추적 관찰은 초기 단기(2~6주)와 후기 단기(8~12주)로 세분화했습니다. 일관성과 분석의 용이성을 위해 모든 단기 추적관찰 시점은 주 단위로, 모든 중기 추적관찰 시점은 월 단위로 변환했습니다.

 

3개 미만의 연구에서 보고된 중재 비교는 보충 결과 표에 포함되었으며 분석하거나 논문에 포함되지 않았습니다. 3개 이상의 연구에서 유사한 추적 관찰 기간(예: 2-6주, 8-12주, 4-6개월)의 결과 측정 데이터를 제공한 경우, 쌍별 메타분석을 수행했습니다. 연구 간에 사용된 도구가 동일하기 때문에 통증과 응급실 ROM의 각 비교에 대해 95% CI와 함께 원시 평균 차이(MD)를 계산하여 테스트에 사용했습니다. 기능의 경우 서로 다른 기능 점수가 사용되었기 때문에 표준화된 평균 차이(SMD)를 사용했습니다.

연구에서 서로 다른 환경(예: 휴식 중, 야간, 활동 중)에서 통증 결과가 보고된 경우, 휴식 중 통증만 결과에 사용되었습니다. 능동적 및 수동적 ROM이 모두 결과 측정치로 사용된 경우, 대부분의 연구에서 수동적 ROM을 사용했기 때문에 결과의 동질성을 높이기 위해 수동적 ROM을 사용했습니다. 다음 결과 측정값에 대한 결과는 표에 기록되었으며 각 비교에 대한 전반적인 효과를 산출하기 위해 효과의 방향에 따라 정성적으로만 결합하여 납치 ROM, 굴곡 ROM 및 삶의 질에 대한 결과를 도출했습니다. 그러나 이러한 결과는 결과에 포함되지 않았으며 관련 증거의 질에 등급을 매기지도 않았습니다.

 

또한 임상적으로나 통계적으로 유의미한 결과(즉, 최소 임상적 관련성 차이보다 크거나 같고 P< .05)를 도출한 비교는 시험 순차 분석(TSA)을 거쳐 I형 오류를 배제하고 임상 진료에 대한 권장 사항을 더욱 강화했습니다. TSA는 단일 임상시험에서 그룹 순차적 모니터링 경계를 적용하는 것과 유사한 방식으로 누적 메타분석에 순차적 모니터링 경계를 적용하여 충분히 작은 P값으로 인해 임상시험을 조기 종료할 수 있는지 여부를 결정하는 정량적 방법입니다. TSA는 중간 메타 분석으로 간주되며, 유형 I 및 II 오류를 제어하고 필요한 정보 크기를 고려하여 추가 임상시험이 필요한지 여부를 명확히 합니다.17 TSA 그래프에는 통계적 유의성에 대한 기존 임계값(Z= 1.96; P< .05)을 나타내는 2개의 가로선, 필요한 정보 크기를 나타내는 1개의 세로선, TSA 경계(즉 통계적 유의성에 대한 임계값)를 나타내는 빨간색 곡선, 임상시험이 추가됨에 따라 누적된 정보량을 나타내는 파란색 선이 포함됩니다. 유의미한 결과는 파란색과 빨간색 곡선이 교차하는 것으로 표시됩니다.

 

마지막으로, 단기(8~12주) 및 중기(4~6개월) 후기 추적 관찰에서 1차 결과(통증)에 대해 3개 이상의 연구에서 사용된 치료법에 대해 네트워크 메타분석을 실시했습니다. 직접 비교와 간접 비교가 모두 모델에 포함되었으며, 두 추적 관찰 기간에 대한 치료 순위 확률이 산출되었습니다. 네트워크 메타 분석에서 도출된 증거의 확실성은 등급이 매겨지지 않았습니다. 가능한 경우 가정 운동, 다양한 물리 치료 개입 및 오십견의 만성화에 대한 하위 그룹 분석을 수행했습니다.

 

Definitions

The term physiotherapy was used for any supervised, physiotherapist-led, noninvasive treatment (mobilizations, application of ice and heat, diathermy, electrotherapy modalities). These were grouped and analyzed together. Exercises and stretching that were performed by the participants at home (home exercise program) or under a physiotherapist’s supervision were not included in physiotherapy. Acupuncture and extracorporeal shock wave therapy (ESWT) were regarded as a separate intervention to physiotherapy. Interventions that had accompanying physiotherapy were grouped and analyzed separately from those that did not, regardless of intensity and frequency. For example, studies with a treatment group who received IA corticosteroid plus physiotherapy (eg, ice packs and diathermy) were included in the intervention category IA corticosteroid plus physiotherapy; those with a treatment group receiving only IA corticosteroid (with or without a home exercise program) were included in the IA corticosteroid category. Patients in the following groups were considered control groups and were analyzed together: no treatment, placebo, sham procedures, IA normal saline or lidocaine, simple analgesia, and home exercise alone.

The following tools and questionnaires that were found in included studies represented our function outcome measure: Shoulder Pain and Disability Index, American Shoulder and Elbow Surgeons shoulder score, Constant-Murley, and the Strengths and Difficulties Questionnaire. All patient-reported pain and function scales were uniformly converted to a scale from 0 to 10 and a scale from 0 to 100, respectively.

 

정의

물리치료라는 용어는 물리치료사가 감독하는 모든 비침습적 치료(운동, 얼음 및 온열 요법, 투열 요법, 전기 치료 방식)에 사용되었습니다. 이를 그룹화하여 함께 분석했습니다. 참가자가 집에서(가정 운동 프로그램) 또는 물리치료사의 감독 하에 수행한 운동과 스트레칭은 물리치료에 포함되지 않았습니다. 침술과 체외충격파 치료(ESWT)는 물리치료와는 별개의 중재로 간주했습니다. 물리치료가 수반된 중재는 강도와 빈도에 관계없이 그렇지 않은 중재와 별도로 그룹화하여 분석했습니다.

 

예를 들어, IA 코르티코스테로이드와 물리치료(예: 얼음팩 및 온열요법)를 함께 받은 치료 그룹을 대상으로 한 연구는 IA 코르티코스테로이드와 물리치료 중재 범주에 포함했고, 가정 운동 프로그램 유무에 관계없이 IA 코르티코스테로이드만 받은 치료 그룹을 대상으로 한 연구는 IA 코르티코스테로이드 범주에 포함했습니다. 무치료, 위약, 가짜 시술, IA 생리식염수 또는 리도카인, 단순 진통제, 가정 운동만 받은 환자 그룹은 대조군으로 간주하여 함께 분석했습니다.

 

포함된 연구에서 사용된 도구와 설문지는 어깨 통증 및 장애 지수, 미국 어깨 및 팔꿈치 외과의 어깨 점수, Constant-Murley, 강점 및 어려움 설문지 등 기능 결과 측정을 위한 도구와 설문지입니다. 환자가 보고한 모든 통증 및 기능 척도는 각각 0에서 10까지의 척도와 0에서 100까지의 척도로 균일하게 변환되었습니다

 

Statistical Analysis

The Review Manager version 5 (RevMan) software was used for pairwise meta-analyses and their accompanying forest plots and heterogeneity tests (χ2 and I2). TSA software version 0.9β (Copenhagen Trial Unit) was used for TSAs; random-effect models with 5% type I error and 20% power and O’Brien-Fleming α-spending function were used for all TSA analyses. The required information size was estimated by the software based on the power (20%), mean difference, variance, and heterogeneity. Stata version 16.1 (StataCorp) with the mvmeta extension (multivariate random-effects meta-regression) was used for network meta-analyses (frequentist approach).18

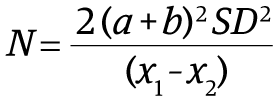
When exact mean and SD values were not reported in the included articles, approximate values (to the nearest decimal place) were derived from the graphs. When only interquartile ranges (IQRs) were reported, the SD was calculated as IQR divided by 1.35. When only the median was reported, the mean was assumed to be the same. When CIs of means were reported, SDs were calculated by dividing the length of the CI by 3.92 and then multiplying by the square root of the sample size. When SEs of mean were given, these were converted to SDs by multiplying them by the square root of the sample size. In studies in which only means and the population were given, the SD was imputed using the SDs of other similar studies using the prognostic method (ie, calculating the mean of all SDs).19 Pooled means were calculated by adding all the means, multiplied by their sample size, and then dividing this by the sum of all sample sizes. Pooled SDs were calculated with the following formula: SDpooled = √(SD12[n1-1]) + (SD22[n2-1]) + … + (SDk2[nk-1]) / (n1 + n2 + … + nk – k), where n indicates sample size and k, the number of samples. The following formula was used for the sample size calculation as part of GRADE’s assessment for imprecision20:

In which N indicates the sample size required in each of the groups; (x1 – x2) indicates the minimal clinically relevant difference (MCRD), defined as 1 point for VAS pain, effect size of 0.45 for functional scores, and 10° for ER ROM; SD2 indicates the population variance, calculated using pooled SD from our treatment groups; a = 1.96, for 5% type I error; and b = 0.842, for 80% power.

The MCRD for function on functional scales would have been set at 10 points. However, because SMDs were used, which produce effect sizes, rather than MDs, the 10 points were divided by the population SD (ie, 22) that was used to calculate the optimal information size (effect sizes can be converted back to functional scores when multiplied by SD).

Potential publication bias was eval‎uated by Egger test for asymmetry of the funnel plot in comparisons including more than 10 studies. Expecting wide-range variability in studies’ settings, a random-effects metasynthesis was employed in all comparisons.

Subgroup analyses were conducted with independent samples t tests in Graphpad version 8 (Prism) comparing pooled means and SDs. All statistical significance levels were set at P < .05, tests were 2-tailed, and clinical significance was defined as a MD or SMD being equal or higher than our predefined MCRD.

 

Results

Of the 65 eligible studies, a total of 34 studies21-54 were included in pairwise meta-analyses with a total of 2402 participants with frozen shoulder. Duration of symptoms ranged from 1 month to 7 years and length of follow-up from 1 week to 2 years, with most follow-up occurring at 6 weeks, 12 weeks, and 6 months.

Table 1 summarizes the main characteristics of the included studies.21-87 eTable 2 in the Supplement shows the results of the risk-of-bias assessment.

Table 2 summarizes the findings of the present review. Where feasible (ie, results at similar follow-up times in at least 3 studies), pairwise meta-analyses were conducted. The results of abduction ROM, flexion ROM, and quality of life were pooled only based on direction of effect, and their certainty of evidence was not graded. eTable 3 in the Supplement summarizes the results of comparisons reported by 1 or 2 studies only. eTable 4 in the Supplement demonstrates how the strength of evidence for each outcome measure within each comparison was derived for all follow-up time categories, per GRADE. eTable 5 in the Supplement shows the heterogeneity for each comparison (I2 statistic) and where studies were removed to reduce heterogeneity based on sensitivity analyses.

 

결과

 

대상 연구 65편 중 총 34편21-54편이 쌍별 메타분석에 포함되었으며, 총 2402명의 오십견 환자가 참여했습니다. 증상 지속 기간은 1개월에서 7년까지, 추적 관찰 기간은 1주에서 2년까지 다양했으며, 대부분의 추적 관찰은 6주, 12주, 6개월에 이루어졌습니다.

 

표 1에는 포함된 연구의 주요 특징이 요약되어 있습니다.21-87 e부록의 표 2에는 비뚤림 위험 평가 결과가 나와 있습니다.

표 2는 본 검토의 결과를 요약한 것입니다. 가능한 경우(즉, 최소 3개의 연구에서 유사한 추적 관찰 기간의 결과), 쌍별 메타분석을 실시했습니다. 납치 ROM, 굴곡 ROM 및 삶의 질에 대한 결과는 효과의 방향에 따라 풀링되었으며, 근거의 확실성은 등급을 매기지 않았습니다. 부록의 e표 3은 1개 또는 2개의 연구에서만 보고된 비교 결과를 요약한 것입니다. 부록의 e표 4는 각 비교 내 각 결과 측정값의 근거 강도가 모든 추적 기간 범주에 대해 등급별로 어떻게 도출되는지 보여줍니다. 부록의 e표 5는 각 비교(I2 통계)의 이질성과 민감도 분석을 기반으로 이질성을 줄이기 위해 연구를 제거한 부분을 보여줍니다.

 

 

Pairwise Meta-analysis

We conducted pairwise meta-analysis comparing the effectiveness of each intervention with other interventions (or placebo/no treatment) in the short-term (early, 2-6 weeks; late, 8-12 weeks) and mid-term (4-6 months). Data for long-term follow-up (>12 months) were inadequate for analyses. Numerical data are only presented for the statistically significant comparisons; those for nonsignificant comparisons appear in the forest plots (eFigure 1, eFigure 2, and eFigure 3 in the Supplement).

IA Corticosteroid vs No Treatment or Placebo

 

Short-term

IA corticosteroid appeared to be associated with superior outcomes compared with control for early short-term pain (moderate certainty; MD, −1.4 visual analog scale [VAS] points; 95% CI, −1.8 to −0.9 VAS points; P < .001), ER ROM (high certainty; MD, 4.7°; 95% CI, 2.7° to 6.6°; P < .001), and function (high certainty; SMD, 0.6; 95% CI, 0.3 to 0.9; P < .001) and late short-term pain (moderate certainty; MD, −1.0 VAS points; −1.5 to −0.5 VAS points; P < .001), ER ROM (high certainty; MD, 6.8°; 95% CI, 3.4° to 10.2°; P < .001), and function (moderate certainty; SMD, 0.6; 95% CI, 0.3 to 0.8; P < .001).

 

단기

 

IA 코르티코스테로이드는 초기 단기 통증(중등도 확실성; MD, -1.4 시각적 아날로그 척도[VAS] 점수; 95% CI, -1.8 ~ -0.9 VAS 점수; P< .001), ER ROM(높은 확실성; MD, 4.7°; 95% CI, 2.7° ~ 6.6°; P< . 001), 기능(높은 확실성; SMD, 0.6; 95% CI, 0.3~0.9; P< .001) 및 후기 단기 통증(중등도 확실성; MD, -1.0 VAS 포인트; -1.5~-0. 5 VAS 포인트; P< .001), ER ROM(높은 확실성; MD, 6.8°; 95% CI, 3.4° ~ 10.2°; P< .001) 및 기능(중간 확실성; SMD, 0.6; 95% CI, 0.3 ~ 0.8; P< .001)에 미치는 영향에 대해 설명합니다.

 

Mid-term

IA corticosteroid was associated with better outcomes than control only for function (moderate certainty; SMD, 0.3; 95% CI, 0.1 to 0.5; P = .01). However, effects for pain and ER ROM were similar (moderate certainty for both).

 

Physiotherapy vs No Treatment or Placebo

Physiotherapy was found to be associated with improved outcomes compared with control in the early short-term for ER ROM (moderate certainty; MD, 11.3°; 95% CI, 8.6°-14.0°; P < .001). Data for other follow-up time periods were insufficient for quantitative analysis.

 

중기

IA 코르티코스테로이드는 기능에 대해서만 대조군보다 더 나은 결과와 관련이 있었습니다(중간 정도의 확실성; SMD, 0.3; 95% CI, 0.1 ~ 0.5; P= .01). 그러나 통증과 응급실 ROM에 대한 효과는 비슷했습니다(두 가지 모두 중간 정도의 확실성).

 

물리 치료와 무치료 또는 위약 비교

물리치료는 초기 단기간에 대조군에 비해 ER ROM의 개선된 결과와 관련이 있는 것으로 밝혀졌습니다(중간 정도의 확실성; MD, 11.3°; 95% CI, 8.6°-14.0°; P< .001). 다른 추적 기간에 대한 데이터는 정량적 분석을 하기에는 불충분했습니다.

 

IA Corticosteroid Plus Physiotherapy vs No Treatment or Placebo

Combined treatment with IA corticosteroid plus physiotherapy was associated with superior outcomes vs control for early short-term ER ROM (high certainty; MD, 17.9°; 95% CI, 12.1°-23.7°; P < .001). Data for other follow-up periods were insufficient for quantitative analysis.

 

IA Corticosteroid vs Physiotherapy

Short-term

IA corticosteroid was associated with significant benefits compared with physiotherapy for early short-term function (moderate certainty; MD, 0.5; 95% CI, 0.2 to 0.7; P < .001) and late short-term pain (high certainty; MD, −1.1 VAS points; 95% CI, −1.7 to −0.5 VAS points; P < .001) only. Differences for early short-term pain (moderate certainty), late short-term function (moderate certainty), and early and late short-term ER ROM (moderate and high certainty, respectively) were insignificant.

Mid-term

IA corticosteroid was associated with better outcomes than physiotherapy for ER ROM (moderate certainty; MD, 4.6°; 95% CI, 0.7°-8.6°; P = .02). However, no significant differences in pain (low certainty) or function (moderate certainty) were observed.

 

IA 코르티코스테로이드 대 물리 치료

단기

IA 코르티코스테로이드는 초기 단기 기능(중등도 확실성; MD, 0.5; 95% CI, 0.2~0.7; P< .001) 및 후기 단기 통증(높은 확실성; MD, -1.1 VAS 포인트; 95% CI, -1.7~-0.5 VAS 포인트; P< .001)에 대해서만 물리치료와 비교하여 유의미한 이점과 관련이 있는 것으로 나타났습니다. 초기 단기 통증(중간 정도의 확실성), 후기 단기 기능(중간 정도의 확실성), 초기 및 후기 단기 ER ROM(각각 중간 및 높은 확실성)의 차이는 유의미하지 않았습니다.

 

중기

IA 코르티코스테로이드는 물리치료보다 ER ROM에 대한 더 나은 결과와 관련이 있었습니다(중간 정도의 확실성; MD, 4.6°; 95% CI, 0.7°-8.6°; P= .02). 그러나 통증(낮은 확실성) 또는 기능(중간 정도의 확실성)에서는 유의미한 차이가 관찰되지 않았습니다.

 

IA Corticosteroid Plus Physiotherapy vs IA Corticosteroid Only

Short-term

Compared with IA corticosteroid alone, combined treatment with IA corticosteroid plus physiotherapy was only associated with superior outcomes for early short-term ER ROM (moderate certainty; MD, 11.6°; 95% CI, 3.7°-19.4°; P = .004). Pain and function in the early short-term (moderate and low certainty, respectively) and late short-term function (high certainty) were similar between groups.

Mid-term

No significant differences were found between the groups in pain, function, or ER ROM. These results had high, moderate, and high certainty, respectively.

 

IA 코르티코스테로이드와 물리치료 병행 대 IA 코르티코스테로이드 단독 사용

 

단기

IA 코르티코스테로이드 단독 치료와 비교했을 때, IA 코르티코스테로이드와 물리치료를 병용한 치료는 초기 단기간의 ER ROM에 대해서만 우수한 결과와 관련이 있었습니다(중간 정도의 확실성; MD, 11.6°; 95% CI, 3.7°-19.4°; P= .004). 단기 초기(각각 중간 및 낮은 확실성)와 단기 후기(높은 확실성)의 통증 및 기능은 그룹 간에 유사했습니다.

 

중기

그룹 간 통증, 기능 또는 ER ROM에서 유의미한 차이는 발견되지 않았습니다. 이러한 결과는 각각 높은, 보통, 높은 확실성을 가졌습니다.

 

IA Corticosteroid Plus Physiotherapy vs Physiotherapy Only

Short-term

Combined therapy with IA corticosteroid plus physiotherapy was associated with significant benefits compared with physiotherapy alone only for early short-term function (low certainty; SMD, 0.7; 95% CI, 0.3-1.0; P < .001). Differences for early short-term pain and ER ROM and late short-term function were not significant (moderate certainty for all).

Mid-term

No significant differences were found between the groups for pain, function, or ER ROM. These comparisons had moderate, low, and high certainty, respectively.

 

IA Corticosteroid vs Subacromial Corticosteroid

Short-term

Compared with subacromial administration, administering corticosteroid intra-articularly was only associated with superior outcomes for early short-term pain (moderate certainty; MD, −0.6 VAS points; 95% CI, −1.1 to −0.1 VAS points; P = .02) and late short-term function (moderate certainty; SMD, 0.3; 95% CI, 0 to 0.6; P = .03). Improvements in late short-term pain (moderate certainty) and ER ROM (high certainty) and early short-term function (high certainty) were similar with the 2 interventions.

Mid-term

No significant differences were found between the groups for pain or ER ROM. These comparisons had moderate and high certainty, respectively.

 

IA 코르티코스테로이드와 물리치료 병행 대 물리치료만 병행

단기

IA 코르티코스테로이드와 물리치료를 병용한 치료는 초기 단기 기능에 대해 물리치료만 단독으로 시행한 경우에 비해 유의미한 이점이 있었습니다(낮은 확실성; SMD, 0.7; 95% CI, 0.3-1.0; P< .001). 초기 단기 통증과 ER ROM 및 후기 단기 기능에 대한 차이는 유의하지 않았습니다(모두 중간 정도의 확실성).

중기

그룹 간 통증, 기능 또는 ER ROM에 대한 유의미한 차이는 발견되지 않았습니다. 이 비교는 각각 보통, 낮음, 높은 확실성을 가졌습니다.

 

IA 코르티코스테로이드 대 견봉하 코르티코스테로이드

단기

관절강 내 투여와 비교했을 때, 관절강 내 코르티코스테로이드 투여는 초기 단기 통증(중간 정도의 확실성; MD, -0.6 VAS 포인트; 95% CI, -1.1 ~ -0.1 VAS 포인트; P= .02) 및 후기 단기 기능(중간 정도의 확실성; SMD, 0.3; 95% CI, 0 ~ 0.6; P= .03)에서만 우수한 결과와 관련이 있는 것으로 나타났습니다. 단기 통증(중간 정도의 확실성)과 ER ROM(높은 확실성) 및 초기 단기 기능(높은 확실성)의 개선은 두 가지 중재에서 비슷하게 나타났습니다.

중기

두 그룹 간 통증 또는 ER ROM에 대한 유의미한 차이는 발견되지 않았습니다. 이 비교는 각각 중간 및 높은 확실성을 가졌습니다.

 

Arthrographic Distension Plus IA Corticosteroid vs IA Corticosteroid Only

Adding arthrographic distension to IA corticosteroid appeared to be associated with greater improvements in early and late short-term pain (early: high certainty; MD, −0.9 VAS points; −1.3 to −0.4 VAS points; P < .001; late: high certainty; MD, −0.8 VAS points; 95% CI, −1.1 to −0.5 VAS points; P < .001). Early and late short-term function (moderate and high certainty, respectively) and early and late short-term ER ROM (high certainty for both) were similar with or without distension.

 

Acupuncture Plus Physiotherapy vs Physiotherapy Only

No differences were found with the addition of acupuncture to physiotherapy for early short-term pain and ER ROM. These comparisons had low and high certainty, respectively.

 

Clinically Significant Results and Trial Sequential Analysis

Despite several statistically significant differences in pairwise comparisons, most did not reach the threshold for MCRD. Only IA corticosteroid vs no treatment or placebo for early and late short-term pain and function, physiotherapy with and without IA corticosteroid vs no treatment or placebo for early short-term ER ROM, IA corticosteroid vs physiotherapy for early short-term function and late short-term pain, and combination therapy with IA corticosteroid plus physiotherapy compared with IA corticosteroid for early short-term ER ROM and with physiotherapy for early short-term function reached MCRD.

For the primary outcome measure, the clinically and statistically significant results underwent TSA, which confirmed the results ruling out a type I error in 2 comparisons (IA corticosteroid vs no treatment or placebo for early and late short-term pain) but not in the comparison of IA corticosteroid vs physiotherapy for late short-term pain. This suggests that more studies may be needed to confirm‎ the benefit of IA corticosteroid compared with physiotherapy with more confidence.

eFigures 1 to 3 in the Supplement illustrate the results of the pairwise meta-analyses and associated forest plots for early short-term, late short-term, and mid-term follow up for pain and ER ROM. eFigure 4 in the Supplement illustrates the forest plots for function, and eFigure 5 and eFigure 6 in the Supplement illustrate the TSA graphs.

 

Network Meta-analysis

Figure 2 and Figure 3 show the network maps and treatment rank probabilities for the primary outcome measure (pain) for late short-term (8-12 weeks) and mid-term (4-6 months) follow-up, respectively. eFigure 7 and eFigure 8 in the Supplement illustrates the network forests with their consistency tests.

In the late short-term, arthrographic distension plus IA corticosteroid had the highest probability (96%) of being the most effective treatment. IA corticosteroid had the highest probability (85%) of being the second most effective. Physiotherapy was the least effective treatment, followed by no treatment or placebo. No data existed in the late short-term for combined treatment with IA corticosteroid plus physiotherapy (Figure 2B).

In the mid-term, combined treatment with IA corticosteroid plus physiotherapy had the highest probability (43%) of being the best treatment with physiotherapy. IA corticosteroid had the highest probability (34%) of being the second best treatment. No treatment or placebo followed by subacromial corticosteroid had the highest probability of being the worst interventions (Figure 3B).

 

Subgroup Analysis

The potential benefit of home exercise was assessed by comparing the mean improvement in pain in patients who received (1) IA corticosteroid plus a home exercise program vs IA corticosteroid without home exercise, and (2) no treatment or placebo plus home exercise vs no treatment/placebo without home exercise. For the first comparison, a statistically significant (but clinically small) mean benefit of home exercise on pain improvement was identified at 8 to 12 weeks (MD, −0.5 VAS points; 95% CI, −0.9 to −0.1 VAS points; P = .01). The benefit of home exercise was much more substantial (clinically and statistically) in those receiving no treatment or placebo (MD, −1.4 VAS points; 95% CI, −1.8 to −1.1 VAS points; P < .001). Both results are based on 10 studies22,24,25,28,42,43,45,46,48,49 with low overall risk of bias.

Similarly, we assessed for an effect of IA placebo by comparing samples who received IA placebo and no treatment from the IA corticosteroid vs no treatment or placebo comparison. Both subgroups received a home exercise program. Based on 9 studies22,24,25,28,42,43,45,46,49 with high overall risk of bias, IA placebo was associated with statistically and clinically significant effects on pain compared with no treatment (MD, −1.6 VAS points; 95% CI, −2.1 to −1.1 VAS points; P < .001).

There was insufficient data for a similar subgroup analysis at mid-term follow-up. Subgroup analyses for the effect of chronicity on the effectiveness of treatment modalities could not be eval‎uated because studies including patients with mixed stages and chronicity of frozen shoulder did not include subgroup data. Finally, subgroup analyses according to physiotherapeutic interventions were not possible because of high clinical heterogeneity (various combinations of modalities and treatment durations used). Most studies used electrotherapy modalities (transcutaneous electrical nerve stimulation, therapeutic ultrasound, diathermy) combined with mobilizations, stretching, or exercises with or without heat and ice packs.

 

 

Discussion

To our knowledge, this is the first systematic review and network meta-analysis to comprehensively analyze all nonsurgical randomized clinical trials pertaining to the treatment of frozen shoulder as well as the largest systematic review ever published in the field. Based on the available evidence, it appears that the use of an IA corticosteroid for patients with frozen shoulder of duration less than 1 year is associated with greater benefits compared with all other interventions, and its benefits may last as long as 6 months. This has important treatment ramifications for the general and specialist musculoskeletal practitioner, providing them with an accessible, cost-effective,88 and evidence-based treatment to supplement exercise regimes, which we anticipate will inform national guidelines on frozen shoulder treatments moving forward.

 

In the short-term, IA corticosteroid appeared to be associated with better outcomes compared with no treatment in all outcome measures. Adding arthrographic distension to IA corticosteroid may be associated with positive effects that last at least as long as 12 weeks compared with IA corticosteroid alone; however, these benefits are probably not clinically significant. Compared with physiotherapy, IA corticosteroid seemed to be associated with better outcomes, with clinically significant differences. Combination therapy with IA corticosteroid plus physiotherapy may be associated with significant benefits compared with IA corticosteroid alone or physiotherapy alone for ER ROM and function, respectively, at 6 weeks. Compared with control, combined IA corticosteroid plus physiotherapy appeared to be associated with an early benefit in ER ROM (as long as 6 weeks), with clinical significance. Subacromial administration of corticosteroid appeared to be as efficacious as IA administration. The addition of acupuncture to physiotherapy did not seem to be associated with any added benefits. Based on the network meta-analysis, arthrographic distension with IA corticosteroid was probably the most effective intervention for pain at 12 weeks follow-up. IA corticosteroid alone ranked second, and as demonstrated by the pairwise meta-analysis, the benefit of adding distension appeared clinically nonsignificant.

 

Most compared interventions appeared to be associated with similar outcomes at 6-month follow up, without significant differences. The only intervention that was associated with mid-term statistically significant benefits compared with control and physiotherapy (without reaching clinical significance) was IA corticosteroid for function and ER ROM. No mid-term data exist assessing the effectiveness of adding arthrographic distension to IA corticosteroid and acupuncture to physiotherapy or comparing physiotherapy (with or without IA corticosteroid) with no treatment. Our network meta-analysis found that combined therapy with IA corticosteroid and physiotherapy, physiotherapy alone, and IA corticosteroid alone were the most effective interventions for pain at 6 months follow-up. However, according to our pairwise meta-analyses, their clinical benefit compared with other treatments (or even no treatment) appeared very small.

 

A home exercise program with simple ROM exercises and stretches administered with or without IA corticosteroid appeared to be associated with short-term pain benefits. This was statistically significant but clinically nonsignificant compared with no treatment when accompanied by IA corticosteroid. It was both clinically and statistically significant on its own.

Several systematic reviews have been published assessing the effectiveness of therapeutic interventions for frozen shoulder. Sun et al89 looked at the effectiveness if IA corticosteroid by comparing it with no treatment, and their findings were similar to ours, reporting that IA corticosteroid may be associated with benefits on pain, function, and ROM that are most pronounced in the short-term and can last as long as 6 months. The systematic review of both randomized and observational studies by Song et al90 is also in agreement with our results, showing a possible early benefit of IA corticosteroid, which likely diminishes in the mid-term. An earlier systematic review by Maund et al,88 which was only based on limited evidence (meta-analyses of 2 and 3 studies), was largely inconclusive, demonstrating possible benefits of IA corticosteroid (with and without physiotherapy) in conjunction with a home exercise program. A Cochrane review on arthrographic distension91 was also in agreement with our results, showing that arthrographic distension with IA corticosteroid may be associated with short-term benefits in pain, ROM, and function. Their comparison of combined treatment vs IA corticosteroid alone yielded no significant differences; however, it was only based on 2 studies. A 2018 systematic review by Saltychev et al92 also supports our findings, having demonstrated a small but clinically insignificant benefit of the addition of arthrographic distension to IA corticosteroid. In their systematic review, Catapano et al93 reported that the addition of arthrographic distension to IA corticosteroid may be associated with a clinically significant benefit at 3 months; however, no quantitative analyses were conducted. Finally, a Cochrane review investigating the effects of manual therapy and exercise94 concluded that they are probably associated with worse outcomes compared with IA corticosteroid in the short-term, which is in accordance with the findings of the present review, and another study95 investigating the effectiveness of electrotherapy modalities was inconclusive because of lack of sufficient evidence.

 

In this review we aimed to assess the comparative effectiveness of all interventions for frozen shoulder, both surgical and nonsurgical; however, conclusions on the former could not be reached given that included studies did not assess the same interventions, which precluded pooling their results. The existing literature is conflicting regarding the superiority of arthroscopic capsular release (ACR) over nonoperative modalities; De Carli et al62 reported no short-term or long-term benefits of ACR plus MUA compared with IA corticosteroid plus physiotherapy in function or ROM. Conversely, Mukherjee et al75 found that ACR was associated with significant improvements in pain, function, and ROM compared with IA corticosteroid in the short-term and mid-term. Gallacher et al63 demonstrated mixed results, concluding that compared with IA corticosteroid plus arthrographic distension, combined treatment with ACR and IA corticosteroid may be associated with improved function, external rotation, and flexion ROM but not quality of life and abduction ROM in the short-term and mid-term. The risk of complications, where reported, was not higher in the surgical groups.63 The existing evidence on MUA, which is not a surgical procedure per se although it is administered under general anesthesia, is more consistent, suggesting its lack of long-term superiority compared with other commonly used nonsurgical treatments or even no treatment.65,71,76

 

Because of the paucity of robust evidence, no firm recommendations exist for clinical practice. The National Institute of Health and Care Excellence (NICE) guidelines,96 influenced in turn by the BESS/BOA recommendations, recommend a stepped approach, starting with physiotherapy and only considering IA corticosteroid if there is no, or slow, progress.96 With our review, we provide convincing evidence that IA corticosteroid is associated with better short-term outcomes than other treatments, with possible benefits extending in the mid-term; therefore, we recommend its early use with an accompanying home exercise program. This can be supplemented with physiotherapy to further increase the chances of resolution of symptoms by 6 months.

Most patients in the included studies had duration of symptoms of less than 1 year; therefore, our management recommendations are strongest for this subgroup, which includes patients most commonly encountered in clinical practice. Based on the underlying pathophysiology of the condition, usual practice is to only administer IA corticosteroid in the painful and not freezing phase (also advised by NICE guidance95); however, this is not backed up by evidence. In our review, studies that included patients with symptoms for more than 1 year reported equally substantial improvements in outcome measures including ROM and function; therefore, the benefits of corticosteroids may also apply to the freezing phase of frozen shoulder.48,79

 

논의

 

우리가 아는 한,

이것은 오십견 치료와 관련된

모든 비수술적 무작위 임상시험을 종합적으로 분석한

최초의 체계적 검토 및 네트워크 메타분석이며,

이 분야에서 지금까지 발표된 것 중 가장 큰 규모의 체계적 검토입니다.

 

이용 가능한 증거에 따르면,

유병 기간이 1년 미만인 오십견 환자에게

IA 코르티코스테로이드를 사용하는 것이

다른 모든 중재에 비해 더 큰 혜택과 관련이 있으며,

그 혜택은 6개월까지 지속될 수 있는 것으로 나타났습니다.

 

이는 일반 및 전문 근골격계 의사에게

중요한 치료적 영향을 미치며,

접근 가능하고 비용 효율적이며88

운동 요법을 보완하는 근거 기반 치료를 제공함으로써

향후 오십견 치료에 대한 국가 가이드라인에 영향을 미칠 것으로 예상됩니다.

 

단기적으로, IA 코르티코스테로이드는

모든 결과 측정에서 치료하지 않은 경우에 비해

더 나은 결과와 관련이 있는 것으로 나타났습니다.

 

IA 코르티코스테로이드에 관절 조영제를 추가하면

IA 코르티코스테로이드 단독 치료에 비해

최소 12주 이상 지속되는 긍정적인 효과와 관련이 있을 수 있지만,

이러한 이점은 임상적으로 유의하지는 않을 수 있습니다.

 

물리 치료와 비교했을 때,

IA 코르티코스테로이드는 임상적으로 유의미한 차이를 보이며

더 나은 결과와 관련이 있는 것으로 보입니다.

 

IA 코르티코스테로이드와 물리치료 병용 요법은 6주 시점에서

각각 ER ROM 및 기능에 대해 IA 코르티코스테로이드 단독 또는 물리치료 단독 요법에 비해

상당한 이점과 관련이 있을 수 있습니다.

 

대조군과 비교했을 때,

IA 코르티코스테로이드와 물리치료를 병용하는 것은

임상적으로 유의미한 ER ROM의 조기 혜택(최장 6주)과 관련이 있는 것으로 나타났습니다.

 

코르티코스테로이드의 견봉하 투여는

IA 투여만큼 효과적인 것으로 나타났습니다.

 

물리치료에 침술을 추가하는 것은

추가적인 혜택과 관련이 없는 것으로 보입니다.

 

네트워크 메타 분석에 따르면,

12주 추적 관찰 결과

IA 코르티코스테로이드를 사용한 관절 조영술이

통증에 가장 효과적인 중재였을 가능성이 높습니다.

 

IA 코르티코스테로이드 단독 요법은 2위를 차지했으며,

쌍별 메타분석에서 입증된 바와 같이 팽창을 추가하는 것의 이점은

임상적으로 유의미하지 않은 것으로 나타났습니다.

 

대부분의 비교 대상 중재는

6개월 추적 관찰에서 유의미한 차이 없이 유사한 결과와 연관된 것으로 나타났습니다.

 

대조군 및 물리치료와 비교하여

중기적으로 통계적으로 유의미한 혜택과 관련이 있는 유일한 중재는

(임상적 유의성에 도달하지 않은) 기능 및 ER ROM에 대한

IA 코르티코스테로이드였습니다.

 

IA 코르티코스테로이드와 침술에 물리치료를 추가하거나

물리치료(IA 코르티코스테로이드 포함 또는 제외)와 무치료의 효과를 비교한 중기 데이터는 존재하지 않습니다.

 

네트워크 메타 분석 결과, 6개월 추적 관찰 시 IA 코르티코스테로이드와 물리치료, 물리치료 단독, IA 코르티코스테로이드 단독 요법이 통증에 가장 효과적인 치료법으로 나타났습니다. 하지만 쌍으로 비교한 메타 분석에 따르면, 다른 치료법(또는 치료를 하지 않은 경우)과 비교했을 때 임상적 이점은 매우 작은 것으로 나타났습니다.

 

IA 코르티코스테로이드의 유무에 관계없이 간단한 ROM 운동과 스트레칭으로 구성된 가정 운동 프로그램은 단기간의 통증 개선 효과와 관련이 있는 것으로 나타났습니다. 이는 통계적으로 유의미했지만, IA 코르티코스테로이드를 동반했을 때 아무런 치료를 하지 않은 경우에 비해 임상적으로 유의미하지 않았습니다. 이는 그 자체로도 임상적으로나 통계적으로 유의미했습니다.

 

오십견 치료의 효과를 평가한 여러 체계적 문헌고찰이 발표되었습니다. Sun 등89은 IA 코르티코스테로이드를 무치료와 비교하여 효과를 살펴본 결과, IA 코르티코스테로이드가 단기간에 가장 두드러지고 6개월까지 지속될 수 있는 통증, 기능 및 ROM에 대한 이점과 관련이 있을 수 있다고 보고하여 우리와 유사한 결과를 얻었습니다. 송 등90의 무작위 배정 연구와 관찰 연구에 대한 체계적 검토도 본 연구 결과와 일치하며, IA 코르티코스테로이드의 초기 혜택은 중기적으로 감소할 가능성이 있음을 보여줍니다. 제한된 증거(2, 3차 연구의 메타 분석)에만 근거한 Maund등88의 초기 체계적 문헌고찰에서는 가정 운동 프로그램과 함께 IA 코르티코스테로이드(물리 치료 유무에 관계없이)의 가능한 이점을 보여주었지만 결론은 대체로 결정적이지 못했습니다. 관절강직에 대한 코크란 리뷰91에서도 IA 코르티코스테로이드를 사용한 관절강직이 통증, 가동 범위 및 기능의 단기적 이점과 관련이 있을 수 있음을 보여주는 연구 결과가 일치했습니다. 병용 치료와 IA 코르티코스테로이드 단독 치료를 비교한 결과 유의미한 차이는 없었지만, 이는 2건의 연구만을 근거로 한 것입니다. Saltychev 등92의 2018년 체계적 문헌고찰에서도 IA 코르티코스테로이드에 관절경 확장제를 추가했을 때 작지만 임상적으로 미미한 이점이 있음을 입증하여 본 연구 결과를 뒷받침합니다. 카타파노 등93은 체계적 문헌고찰에서 IA 코르티코스테로이드에 관절조영술을 추가하면 3개월 후 임상적으로 유의미한 이점이 있을 수 있다고 보고했지만, 정량적 분석은 수행되지 않았습니다. 마지막으로, 도수 치료와 운동의 효과를 조사한 코크란 리뷰94에서는 단기적으로 IA 코르티코스테로이드에 비해 더 나쁜 결과와 관련이 있을 수 있다고 결론지었는데, 이는 본 리뷰의 결과와 일치하며 전기 치료 방식의 효과를 조사한 다른 연구95에서는 충분한 증거가 부족하여 결론을 내리지 못했습니다.

 

본 검토에서는 오십견에 대한 수술적 및 비수술적 모든 중재의 비교 효과를 평가하고자 하였으나, 포함된 연구들이 동일한 중재를 평가하지 않아 결과를 종합할 수 없었기 때문에 전자에 대한 결론에 도달할 수 없었습니다. 기존 문헌은 비수술적 방식에 비해 관절경적 캡슐 방출술(ACR)의 우월성에 대해 상반된 의견을 보이고 있으며, De Carli 등62은 기능 또는 ROM에서 IA 코르티코스테로이드와 물리치료에 비해 ACR과 MUA의 단기 또는 장기적 이점이 없다고 보고했습니다. 반대로 Mukherjee 등75은 ACR이 단기 및 중기적으로 IA 코르티코스테로이드에 비해 통증, 기능 및 ROM의 유의미한 개선과 관련이 있음을 발견했습니다. Gallacher 등63은 IA 코르티코스테로이드와 관절경적 팽창을 병용한 치료와 비교하여 ACR과 IA 코르티코스테로이드의 병용 치료가 단기 및 중기에 기능, 외회전 및 굴곡 ROM은 개선되지만 삶의 질과 외전 ROM은 개선되지 않을 수 있다는 결론을 내렸습니다. 보고된 합병증 위험은 수술 그룹에서 더 높지 않았습니다.63 전신 마취하에 시행되지만 수술 자체가 아닌 MUA에 대한 기존 증거는 더 일관성이 있으며, 일반적으로 사용되는 다른 비수술적 치료 또는 무치료에 비해 장기적인 우월성이 부족함을 시사합니다.65,71,76

 

강력한 증거가 부족하기 때문에 임상 진료에 대한 확고한 권장 사항은 존재하지 않습니다. BESS/BOA 권고안의 영향을 받은 국립보건의료연구원(NICE)가이드라인96에서는 물리치료로 시작하여 진행이 없거나 느린 경우에만 IA 코르티코스테로이드를 고려하는 단계적 접근을 권장합니다.96 저희의 검토 결과, IA 코르티코스테로이드가 다른 치료보다 단기적으로 더 나은 결과와 관련이 있으며, 중기적으로 이점이 확대될 수 있다는 설득력 있는 증거가 있으므로 가정 운동 프로그램을 동반하여 조기에 사용할 것을 권장합니다. 여기에 물리치료를 추가하면 6개월까지 증상 완화 가능성을 더욱 높일 수 있습니다.

 

연구에 포함된 대부분의 환자들은

증상이 지속된 기간이 1년 미만이었으므로,

임상에서 가장 흔히 접하는 환자를 포함하는 이 하위 그룹에 대한 관리 권장사항이 가장 강력합니다.

 

이 질환의 근본적인 병태생리에 근거하여,

일반적인 관행은 통증이 있고

동결기가 아닌 시기에만

IA 코르티코스테로이드를 투여하는 것이지만(NICE 지침95),

이는 근거에 의해 뒷받침되지 않습니다.

 

본 리뷰에서 1년 이상 증상이 지속된 환자를 대상으로 한 연구에서는

ROM 및 기능을 포함한 결과 측정에서

똑같이 상당한 개선이 보고되었으므로

코르티코스테로이드의 이점이

오십견의 동결기에도 적용될 수 있습니다.48,79

 

 

Limitations

Despite the comprehensiveness and rigor of our methods, which include thorough risk of bias assessments and grading of evidence, we do recognize its limitations. Frozen shoulder of all chronicity was analyzed together; therefore; conclusions about specific stages and their most effective management could not be drawn. Most studies included a home exercise program, but its frequency, intensity, and duration were not taken into account in comparisons nor were separate analyses made adjusting for it. Finally, physiotherapy interventions, regardless of nature and duration, were grouped and analyzed together to minimize imprecision; in reality, some might be more effective than others. However, we only present findings that derived from thorough quantitative analyses, which were in turn substantially reinforced by the TSA, minimizing the risk for type I errors; most previous similar meta-analyses did not use TSA. Additionally, we present the first network meta-analysis including all conservative treatments for frozen shoulder. Furthermore, we based our recommendations on both statistically and clinically significant results.

 

한계
철저한 편향성 위험 평가와 증거 등급을 포함한 포괄적이고 엄밀한 방법에도 불구하고 한계가 있음을 인지하고 있습니다. 모든 만성 오십견을 함께 분석했기 때문에 특정 단계와 가장 효과적인 관리에 대한 결론을 도출할 수 없었습니다. 

 

대부분의 연구에는 

가정 운동 프로그램이 포함되었지만 

그 빈도, 강도 및 기간은 비교에서 고려되지 않았으며 

이를 조정한 별도의 분석도 이루어지지 않았습니다

 

마지막으로, 

물리 치료 중재는 

그 성격과 기간에 관계없이 부정확성을 최소화하기 위해 함께 그룹화하여 분석했으며, 

실제로는 일부가 다른 것보다 더 효과적일 수 있습니다. 

 

그러나 저희는 철저한 정량적 분석을 통해 도출된 결과만을 제시하며, TSA를 통해 유형 1 오류의 위험을 최소화하여 이전의 대부분의 유사한 메타 분석에서는 TSA를 사용하지 않았습니다. 

 

또한 

오십견에 대한 모든 보존적 치료법을 포함한 최초의 네트워크 메타분석을 발표했습니다. 

또한 통계적으로나 임상적으로 유의미한 결과를 바탕으로 권고안을 제시했습니다.

 

Conclusions

Based on the findings of the present review, we recommend the use of IA corticosteroid for patients with frozen shoulder of duration less than 1 year because it appeared to have earlier benefits than other interventions; these benefits could last as long as 6 months. We also recommend an accompanying home exercise program with simple ROM exercises and stretches. The addition of physiotherapy in the form of an electrotherapy modality and supervised mobilizations should also be considered because it may add mid-term benefits and can be used on its own, especially when IA corticosteroid is contra-indicated. Implicated health care professionals should always emphasize to patients that frozen shoulder is a self-limiting condition that usually lasts for a few months but can sometimes take more than 1 year to resolve and its resolution may be expedited by IA corticosteroid. This should be offered at first contact, and an informed decision should be made by the patient after the risks and alternative therapies are presented to them. In the future, other interventions that have shown promising results and currently have inadequate evidence for definitive conclusions (eg, MUA, ACR, specific types of electrotherapy and mobilizations) should be assessed with large, well-designed randomized studies. Finally, future studies should include subgroup analyses assessing the effectiveness of specific interventions on frozen shoulder of different chronicity and stage.

 

결론


본 검토 결과에 따르면, 

다른 치료법보다 조기에 효과가 나타나고 

이러한 효과가 6개월까지 지속될 수 있으므로 

1년 미만의 오십견 환자에게는 IA 코르티코스테로이드 사용을 권장합니다. 

 

또한 

간단한 ROM 운동과 스트레칭으로 구성된 

가정 운동 프로그램도 함께 권장합니다. 

 

전기 치료 방식의 물리 치료와 감독하에 이루어지는 운동 요법의 추가도 고려해야 하는데, 

이는 중기적인 효과를 추가할 수 있고 

특히 IA 코르티코스테로이드가 금기인 경우 단독으로 사용할 수 있기 때문입니다. 

 

관련 의료진은 

오십견은 보통 몇 달 동안 지속되지만 

해결까지 1년 이상 걸릴 수 있는 자가 제한적 질환이며, 

IA 코르티코스테로이드로 해결이 빨라질 수 있다는 점을 

환자에게 항상 강조해야 합니다. 

 

이는 처음 접촉할 때 제공되어야 하며, 

환자에게 위험성과 대체 요법이 제시된 후 

정보에 입각한 결정을 내려야 합니다. 

 

향후에는 유망한 결과를 보였으나 

현재 확실한 결론을 내리기에는 증거가 불충분한 다른 중재법(예: MUA, ACR, 특정 유형의 전기 치료 및 운동)도 

잘 설계된 대규모 무작위 연구를 통해 평가해야 합니다. 

 

마지막으로, 

향후 연구에는 다양한 만성 및 병기의 오십견에 대한 특정 중재의 효과를 평가하는 

하위 그룹 분석이 포함되어야 합니다.


 

Back to top

Article Information

Accepted for Publication: October 22, 2020.

Published: December 16, 2020. doi:10.1001/jamanetworkopen.2020.29581

Open Access: This is an open access article distributed under the terms of the CC-BY License. © 2020 Challoumas D et al. JAMA Network Open.

 

다음검색
현재 게시글 추가 기능 열기

댓글

댓글 리스트
맨위로

카페 검색

카페 검색어 입력폼