Re: 파킨슨 두가지 유형 분류에 따른 증상, 예후, 치료법 차이 탐구!!

작성자문형철|작성시간24.07.22|조회수458 목록 댓글 4

 

 

 

  1. nature  
  2. npj parkinson's disease  
  3. articles  
  4. article

Two distinct trajectories of clinical and neurodegeneration events in Parkinson’s disease

 

Download PDF

Two distinct trajectories of clinical and neurodegeneration events in Parkinson’s disease

  •  

npj Parkinson's Disease volume 9, Article number: 111 (2023) Cite this article

  •  
  •  
  •  
  •  

An Author Correction to this article was published on 16 January 2024

This article has been updated

 

Abstract

Increasing evidence suggests that Parkinson’s disease (PD) exhibits disparate spatial and temporal patterns of progression. Here we used a machine-learning technique—Subtype and Stage Inference (SuStaIn) — to uncover PD subtypes with distinct trajectories of clinical and neurodegeneration events. We enrolled 228 PD patients and 119 healthy controls with comprehensive assessments of olfactory, autonomic, cognitive, sleep, and emotional function. The integrity of substantia nigra (SN), locus coeruleus (LC), amygdala, hippocampus, entorhinal cortex, and basal forebrain were assessed using diffusion and neuromelanin-sensitive MRI. SuStaIn model with above clinical and neuroimaging variables as input was conducted to identify PD subtypes. An independent dataset consisting of 153 PD patients and 67 healthy controls was utilized to validate our findings.

 

We identified two distinct PD subtypes: subtype 1 with rapid eye movement sleep behavior disorder (RBD), autonomic dysfunction, and degeneration of the SN and LC as early manifestations, and cognitive impairment and limbic degeneration as advanced manifestations, while subtype 2 with hyposmia, cognitive impairment, and limbic degeneration as early manifestations, followed later by RBD and degeneration of the LC in advanced disease. Similar subtypes were shown in the validation dataset. Moreover, we found that subtype 1 had weaker levodopa response, more GBA mutations, and poorer prognosis than subtype 2. These findings provide new insights into the underlying disease biology and might be useful for personalized treatment for patients based on their subtype.

 

파킨슨병(PD)이

서로 다른 공간적, 시간적 진행 패턴을 보인다는 증거가

점점 더 많아지고 있습니다.

 

여기서는 머신러닝 기법인 하위 유형 및 단계 추론(SuStaIn)을 사용하여

임상 및 신경 퇴화 사건의 뚜렷한 궤적을 가진

PD 하위 유형을 발견했습니다.

 

228명의 PD 환자와 119명의 건강한 대조군을 대상으로

후각,

자율신경,

인지,

수면,

정서 기능에 대한

종합적인 평가를 실시했습니다.

 

확산 및 뉴로멜라닌 민감성 MRI를 사용하여

흑질(SN), 청반 locus coeruleus  (LC), 편도체, 해마, 내후두피질 및 기저 전뇌의

무결성을 평가했습니다.

 

substantia nigra (SN), locus coeruleus (LC), amygdala, hippocampus, entorhinal cortex, and basal forebrain 

 

https://www.frontiersin.org/journals/pharmacology/articles/10.3389/fphar.2022.1030609/full

 

 

 

PD 피험자는 HC 피험자에 비해 해마 및 EC 부피가 유의하게 작았습니다(모두 p < 0.0005). PD 인지 그룹 중 해마 용적은 PDD 대 PD-NC, PD-MCI 대 PD-NC에서 유의하게 작았지만, PDD 대 PD-MCI 간에는 유의하게 작지 않았습니다. EC 부피도 PDD 대 PD-NC에서 유의하게 작았지만, PD-MCI 대 PD-NC 또는 PDD 대 PD-MCI 사이에서는 유의하게 작지 않았습니다. 회귀 모델에 따르면 올바른 EC 볼륨은 주의력/작업 기억, 언어 및 기억 영역의 성능을 가장 잘 예측하는 것으로 나타났습니다. 결론: 내측 측두엽 위축은 PD-MCI를 포함한 광범위한 PD 인지 스펙트럼에 걸쳐 발생합니다. 해마 위축과는 달리, MRI에서 추출한 내측 측두엽 피질 용적은 인지적으로 정상인 PD 피험자와 PDD를 더 잘 구별하므로 치매의 보다 구체적인 생체 내 마커가 될 수 있습니다.

 

중추 콜린성 시스템에는 주로 피질에 돌출된 기저 전뇌핵, 주로 시상과 피질하 구조에 돌출된 중대상피질핵, 기타 돌출 뉴런 및 신경세포 그룹이 포함됩니다. 이 시스템은 인지, 운동, 수면 등 인간 행동의 많은 기능을 조절합니다. 파킨슨병(PD)에서 중추 콜린성 전달 장애는 인지 기능 저하, 보행 문제, 보행 동결(FOG), 낙상, 렘수면 행동 장애(RBD), 신경정신과적 증상 및 후각 기능 장애와 연관되어 있습니다. 신경 병리학적 및 신경 영상학적 증거에 따르면 기저 전뇌 병리는 흑질 탈신경화와 동시에 발생하는 반면, 흑질 핵의 병리는 운동 증상이 시작되기 전에 발생할 수 있습니다. 이러한 연구는 또한 PD에서 콜린성 기능 장애의 임상적 의미를 자세히 설명했습니다. 기저 전뇌핵의 퇴행과 그에 따른 피질 콜린성 탈신경화는 인지 기능 저하 및 신경정신과적 증상의 후속 발병과 관련이 있으며 이를 예측할 수 있습니다. 보행 문제, 안개, 낙상은 폰틴 및 기저 전뇌핵의 복합적인 기능 장애와 관련이 있습니다. 후각 장애는 변연계 대뇌피질, 특히 해마와 편도체의 콜린성 탈신경화와 관련이 있습니다. 이용 가능한 증거에 따르면 콜린성 기능 장애는 도파민 및 기타 신경 전달 물질 시스템의 장애와 함께 특정 임상 증상의 생성에 기여합니다. 따라서 인지 기능 저하, 낙상 및 RBD를 보이는 사람들에게서 '콜린성 표현형'을 확인할 수 있습니다. 이 리뷰에서는 중추 콜린성 시스템의 조직과 PD에서 콜린성 기능 장애의 임상적 상관관계를 요약합니다.

 

뇌의 콜린성 시스템. 두 가지 주요 경로는 기저-전뇌 콜린성 뉴런(빨간색)과 시상-측측 등쪽 분절 뉴런(파란색)이라는 서로 다른 뇌 영역으로 광범위하게 뻗어 있습니다. 다른 콜린성 뉴런으로는 선조체 내핵(주황색), 뇌신경핵(녹색 원), 전정핵(보라색), 척수 전신경절 및 운동 뉴런(노란색)이 있습니다(Perry 등17의 허가를 받아 재사용). 약어: nb: 마이너트 기저핵: ms: 내측 중격핵.

 

 

 

위의 임상 및 신경 영상 변수를 입력으로 하는 SuStaIn 모델을 사용하여 PD 아형을 식별했습니다. 153명의 PD 환자와 67명의 건강한 대조군으로 구성된 독립적인 데이터 세트를 활용하여 연구 결과를 검증했습니다. 그 결과 두 가지 뚜렷한 PD 아형을 확인했습니다.

 

아형 1은 초기 증상으로

안구 운동 수면 행동 장애(RBD),

자율 기능 장애,

SN과 LC의 변성을,

진행 증상으로 인지 장애와 변연 변성을,

 

subtype 1 with rapid eye movement sleep behavior disorder (RBD), autonomic dysfunction, and degeneration of the SN and LC as early manifestations, and cognitive impairment and limbic degeneration as advanced manifestations,

 

아형 2는 초기 증상으로

후각저하, 인지 장애, 변연 변성을,

이후 진행 질환에서 RBD와 LC의 변성을 보이는 것으로 나타났습니다.

 

subtype 2 with hyposmia, cognitive impairment, and limbic degeneration as early manifestations, followed later by RBD and degeneration of the LC in advanced disease

 

검증 데이터 세트에서도 유사한 하위 유형이 나타났습니다.

 

또한

아형 1은 아형 2보다 레보도파 반응이 약하고,

GBA 돌연변이가 더 많으며,

예후가 더 나쁘다는 것을 발견했습니다.

 

이러한 결과는

기저 질환의 생물학에 대한 새로운 인사이트를 제공하며,

아형에 따라 환자를 위한 맞춤형 치료에 유용할 수 있습니다.

 

Similar content being viewed by others

Two-year clinical progression in focal and diffuse subtypes of Parkinson’s disease

Article Open access17 February 2023

Lysosomal and synaptic dysfunction markers in longitudinal cerebrospinal fluid of de novo Parkinson’s disease

Article Open access17 May 2024

Prodromal Parkinson disease subtypes — key to understanding heterogeneity

Article 20 April 2021

 

Introduction

Parkinson’s disease (PD) is the second most common neurodegenerative disease, and is characterized by loss of dopaminergic neurons in the substantia nigra (SN) and progressive and irreversible aggregation of misfolded α-synuclein in multiple brain regions1. PD varies dramatically in its manifestations, response to therapy, and long-term prognosis, suggesting the existence of PD subtypes2. Identification of these subtypes is crucial for better understanding the mechanisms of the disease, better prognosis, and ultimately, for delivering personalized medicine3.

Great efforts to identify subtypes of PD have been made, from the initial classification based on a single motor symptom, to classification based on multidomain phenotypes including motor and non-motor symptoms, neuroimaging data, and biochemical markers3,4,5,6,7,8. Owing to the poor reliability and difficulty in characterizing disease heterogeneity, empirical classification methods have lost favor and have been replaced by data-driven methods without a priori hypotheses9,10,11,12,13,14. These data-driven studies provide invaluable information toward the understanding of complex mechanisms, but have limitations. Typical data-driven subtyping methods are limited by the confound of disease stage, as the samples included in such studies are often at different timepoints in the course of the disease12,15. Restricted by feasibility issues such as sample size, it is difficult to stratify patients by disease duration or stage. Therefore, patients can be misclassified by data-driven subtyping methods if individuals at different timepoints or stages are included. In addition, a typical clustering analysis might not work well if the patients have different progression trajectories16. We speculate that this is also one of the reasons why many of these data-driven PD subtype classification systems lack reproducibility17. Recently, “brain-first” and “body-first” subtypes of PD have been proposed, which suggest two contrasting spatiotemporal propagation routes of α-synuclein pathology17,18,19. In the body-first subtype, the initial pathology may first appear in the enteric or peripheral autonomic nervous system. It then propagates to the medulla oblongata via the vagus nerve. Ascending pathology affects pons giving rise to Rapid Eye Movement (REM) sleep behavior disorder (RBD) before the SN is involved19. In the brain-first subtype, the pathology may appear in the amygdala or olfactory bulb, and then spreads to the brainstem and cortex19,20. In this sense, uncovering both temporal and phenotype heterogeneity when conducting a data-driven clustering analysis is somewhat meaningful.

An emerging model called Subtype and Stage Inference (SuStaIn) has been successfully used to reveal the heterogeneity and temporal complexity of neurodegenerative diseases, including Alzheimer’s disease, multiple sclerosis, and frontotemporal dementia15,16,21,22,23. The SuStaIn model is a machine-learning method that disentangles temporal and phenotypic heterogeneity to identify subtypes with distinct progression trajectories from readily accessible cross-sectional patients. Meanwhile, the model assigns each patient with the most appropriate subtype and calculates each patient’s stage within that subtype. In this model, progression trajectory refers to the sequence of abnormalities in clinical or imaging features, and stage refers to the cumulative degree of abnormalities in clinical or imaging features. If all patients of a certain type have atrophy in subcortical nuclei, but only some have atrophy in the neocortex, the SuStaIn model would infer with high confidence that subcortical atrophy occurs before neocortical atrophy in this type of patient24. A patient with both subcortical and neocortical atrophy would therefore have an advanced disease stage compared with those with pure subcortical atrophy.

Here, we aimed to identify PD subtypes with distinct trajectories based on the above-mentioned data-driven method with multidimensional data, including comprehensive clinical eval‎uations and MRI features (diffusion tensor imaging and neuromelanin-sensitive MRI). These MRI measures are considered as sensitive imaging biomarkers for eval‎uating neurodegeneration of PD patients6. Furthermore, we fitted analogous multidimensional data from the Parkinson’s Progression Markers Initiative (PPMI) dataset into the SuStaIn model to test the repeatability of PD subtypes. Finally, we investigated the differences in clinical characteristics, imaging features, response to levodopa treatment, and longitudinal prognosis between these PD subtypes (Fig. 1).

 

소개

 

파킨슨병(PD)은

두 번째로 흔한 신경 퇴행성 질환으로,

흑질(SN)에서 도파민 신경세포가 소실되고

여러 뇌 영역에서 잘못 접힌 α-시누클린이 점진적이고

비가역적으로 응집되는 것이 특징입니다1.

 

PD는

증상,

치료에 대한 반응,

장기 예후가 매우 다양하여

PD 아형이 존재함을 시사합니다2.

 

이러한 아형을 식별하는 것은

질병의 메커니즘을 더 잘 이해하고

예후를 개선하며 궁극적으로 개인 맞춤형 의약품을 제공하는 데 매우 중요합니다3.

 

 

단일 운동 증상에 기반한 초기 분류부터

운동 및 비운동 증상,

신경 영상 데이터,

생화학 마커를 포함한 다중 도메인 표현형에 기반한 분류에 이르기까지

파킨슨병의 하위 유형을 식별하기 위해 많은 노력이 이루어졌습니다3,4,5,6,7,8.

 

신뢰성이 낮고 질병 이질성을 특성화하기 어렵기 때문에 경험적 분류 방법은 선호도가 떨어지고 선험적 가설이 없는 데이터 기반 방법으로 대체되었습니다9,10,11,12,13,14. 이러한 데이터 기반 연구는 복잡한 메커니즘을 이해하는 데 귀중한 정보를 제공하지만 한계가 있습니다. 일반적인 데이터 기반 하위 유형화 방법은 질병 단계의 혼동으로 인해 제한을 받는데, 이러한 연구에 포함된 샘플은 종종 질병의 진행 과정에서 서로 다른 시점에 있기 때문입니다12,15. 표본 크기와 같은 실행 가능성 문제로 인해 질병 기간이나 병기별로 환자를 계층화하기 어렵습니다. 따라서 서로 다른 시점이나 단계에 있는 개인이 포함될 경우 데이터 기반 하위 유형 분류 방법으로는 환자를 잘못 분류할 수 있습니다. 또한 환자의 진행 궤적이 다른 경우 일반적인 클러스터링 분석이 제대로 작동하지 않을 수 있습니다16. 이러한 데이터 기반 PD 아형 분류 시스템의 재현성이 부족한 이유 중 하나도 바로 이 때문일 것으로 추측됩니다17.

 

최근에는

α-시누클레인 병리의 대조적인 시공간적 전파 경로를 제시하는

"뇌 우선" 및 "신체 우선" PD 하위 유형이 제안되었습니다17,18,19.

 

신체 우선 아형에서는

초기 병리가 장 또는 말초 자율 신경계에서 먼저 나타날 수 있습니다.

 

그런 다음

미주 신경을 통해 수질 수질로 전파됩니다.

 

상행성 병리는 SN이 관여하기 전에

빠른 안구 운동(REM) 수면 행동 장애(RBD)를 유발하는 폰에 영향을 미칩니다19.

 

뇌 우선 하위 유형에서는

편도체 또는 후각 전구에 병리가 나타난

다음 뇌간과 피질로 퍼질 수 있습니다19,20.

 

이런 의미에서 데이터 기반 클러스터링 분석을 수행할 때 시간적 이질성과 표현형 이질성을 모두 발견하는 것은 어느 정도 의미가 있습니다.

 

알츠하이머병, PD, 전측두엽 치매를 포함한 신경 퇴행성 질환의 이질성과 시간적 복잡성을 밝히는 데는

하위 유형 및 단계 추론 Subtype and Stage Inference  (SuStaIn)이라는

새로운 모델이 성공적으로 사용되었습니다15,16,21,22,23.

 

SuStaIn 모델은 시간적 및 표현형적 이질성을 분리하여 쉽게 접근 가능한 단면 환자에서 뚜렷한 진행 궤적을 가진 하위 유형을 식별하는 머신러닝 방법입니다. 한편, 이 모델은 각 환자에게 가장 적합한 하위 유형을 할당하고 해당 하위 유형 내에서 각 환자의 병기를 계산합니다. 이 모델에서 진행 궤적은 임상 또는 영상 특징의 이상 순서를 의미하며, 병기는 임상 또는 영상 특징의 누적된 이상 정도를 나타냅니다. 특정 유형의 모든 환자가 피질하핵에는 위축이 있지만 신피질에는 일부만 위축이 있는 경우, 수스타인 모델은 이러한 유형의 환자에서 피질하 위축이 신피질 위축보다 먼저 발생한다고 높은 신뢰도로 추론할 수 있습니다24. 따라서 피질하 위축과 신피질 위축이 모두 있는 환자는 순수한 피질하 위축이 있는 환자에 비해 질병 단계가 더 진행되었을 것입니다.

 

 

여기서는

종합적인 임상 평가와

MRI 특징(확산 텐서 영상 및 뉴로멜라닌 민감성 MRI)을 포함한

다차원 데이터를 기반으로

위에서 언급한 데이터 중심 방법을 사용하여

뚜렷한 궤적을 가진 PD 아형을 식별하고자 했습니다.

 

이러한 MRI 측정치는

파킨슨병 환자의 신경 퇴행을 평가하는

민감한 영상 바이오마커로 간주됩니다6.

 

또한

파킨슨병 진행 마커 이니셔티브(Parkinson's Progression Markers Initiative, PPMI) 데이터 세트의 유사한 다차원 데이터를 SuStaIn 모델에 장착하여 PD 하위 유형의 반복성을 테스트했습니다.

 

마지막으로 이러한

PD 아형 간의 임상적 특성,

영상학적 특징,

레보도파 치료에 대한 반응 및 종단적 예후의 차이를 조사했습니다(그림 1).

 

Fig. 1: A flowchart of characterization of clinical and imaging heterogeneity in Parkinson’s disease.

a A total of 567 individuals (347 in discovery dataset and 220 in validation dataset) were enrolled in this study; five clinical variables and 6 imaging variables were used for model construction; these imaging variables were extracted from 6 brain structures including substantia nigra, locus coeruleus, amygdala, hippocampus, entorhinal cortex, and basal forebrain by using neuromelanin-sensitive imaging and diffusion tensor imaging. b These variables were normalized relative to healthy control subjects using z-score; the SuStaIn model was conducted to identify distinct patterns of progression (progression trajectories of clinical and neurodegenerative events) using these variables and to cluster patients into distinct patterns (subtypes) and stages. c The differences of clinical/imaging variables, levodopa response, and longitudinal progression were assessed between subtypes; the consistency between the inferred SuStaIn stage and the disease severity measured by the UPDRS, PDQ-39, and other measures was eval‎uated. The box plot and line chart were used for visualization purposes only. Box plots with center line indicating median, bounds of boxes showing upper and lower quartile, whiskers illustrating 1.5 * interquartile range, and dots representing the distribution of raw data (minima and maxima are included). MRI magnetic resonance imaging, SuStaIn Subtype and Stage Inference, REM rapid eye movement. UPDRS Unified Parkinson’s Disease Rating Scale, PDQ-39 Parkinson’s Disease Questionnaire-39 items.

 

a 총 567명(발견 데이터 세트 347명, 검증 데이터 세트 220명)이 이 연구에 등록되었으며, 5개의 임상 변수와 6개의 영상 변수가 모델 구축에 사용되었고, 이러한 영상 변수는 뉴로멜라닌 민감 영상과 확산 텐서 영상을 사용하여 흑질, 흑질핵, 편도체, 해마, 내후두피질, 기저전뇌 등 6개 뇌 구조에서 추출되었습니다. b 이러한 변수는 z-점수를 사용하여 건강한 대조군과 비교하여 정규화되었고, 이러한 변수를 사용하여 뚜렷한 진행 패턴(임상 및 신경 퇴행성 사건의 진행 궤적)을 식별하고 환자를 뚜렷한 패턴(하위 유형) 및 단계로 묶기 위해 SuStaIn 모델을 수행했습니다. c 임상/영상 변수, 레보도파 반응 및 종적 진행의 차이를 하위 유형 간에 평가하고, 추론된 SuStaIn 단계와 UPDRS, PDQ-39 및 기타 측정치로 측정한 질병 중증도 간의 일관성을 평가했습니다. 박스 플롯과 꺾은선형 차트는 시각화 목적으로만 사용되었습니다. 중앙값을 나타내는 중앙선, 상한 및 하한 사분위수를 나타내는 상자 경계선, 1.5 * 사분위수 간 범위를 나타내는 수염, 원시 데이터의 분포를 나타내는 점(최소값과 최대값 포함)이 있는 박스 플롯입니다.

 

MRI 자기공명영상, 수스타틴 하위 유형 및 단계 추론, REM 급속 안구 운동. UPDRS 통합 파킨슨병 평가 척도, PDQ-39 파킨슨병 설문지-39개 항목.

 

Full size image

Results

Healthy controls and PD patients were not significantly different in terms of gender, age and education level. PD patients showed significant hyposmia, autonomic dysfunction, RBD symptoms, cognitive decline, and depression compared to the healthy control group. Additionally, PD patients showed significant decreased contrast-to-noise ratio (CNR) of substantia nigra (SN) and locus coeruleus (LC), and increased free-water of hippocampus and entorhinal cortex. Detailed demographics, clinical and imaging characteristics were shown in Table 1.

 

결과

 

건강한 대조군과 PD 환자는 성별, 연령, 교육 수준에서 큰 차이가 없었습니다.

 

PD 환자는

건강한 대조군에 비해

유의미한 후각저하, 자율 기능 장애, RBD 증상, 인지 기능 저하 및 우울증을 보였습니다.

 

또한 PD 환자는

흑질(SN)과 흑질핵(LC)의 명암 대비 잡음비(CNR)가 유의하게 감소하고

해마 및 내측 피질의 자유 수분이 증가한 것으로 나타났습니다.

 

자세한 인구 통계, 임상 및 영상학적 특성은 표 1에 나와 있습니다.

 

Table 1 Demographics, clinical and imaging characteristics of healthy controls and Parkinson’s disease patients in discovery dataset.

Full size table

 

Clinical and neurodegeneration trajectories of subtypes

Of the 228 PD patients, 114 were assigned to subtype 1 and 102 to subtype 2. Only 12 patients were categorized as stage 0, and not assigned to any subtype. Each subtype was defined by a different sequence of abnormalities in clinical symptoms and brain degeneration (Fig. 2a). Distribution of two subtypes across SuStaIn stages were shown in Fig. 2b. Boxplots of probability of maximum likelihood subtype suggested that all patients have high probability (>50%, Fig. 2c). Figure 2d, e showed the Log Likelihood across Markov Chain Monte Carlo (MCMC) iterations and 10-fold cross-validation, respectively. Figure 2f showed the cross-validation information criterion (CVIC) under different number of subtypes. A decreased CVIC illustrated an improved model fit. The CVIC showed clear decrease from one to two, but less obvious decrease from two to three subtypes. In case of very little improvement in model fit, a simpler model should be favored. Thus, the SuStaIn model with two subtypes was selected.

 

하위 유형의 임상 및 신경 퇴행 궤적

 

228명의 PD 환자 중 114명이 하위 유형 1에, 102명이 하위 유형 2에 배정되었습니다.

 

12명의 환자만이 0기로 분류되었고 하위 유형으로 분류되지 않았습니다. 각 하위 유형은 임상 증상과 뇌 퇴행의 이상 순서에 따라 다르게 정의되었습니다(그림 2a). 그림 2b에는 SuStaIn 단계에 따른 두 가지 하위 유형의 분포가 표시되어 있습니다. 최대 가능성 하위 유형의 확률에 대한 박스 플롯은 모든 환자가 높은 확률(>50%, 그림 2c)을 가지고 있음을 시사합니다. 그림 2d, e는 각각 마르코프 체인 몬테카를로(MCMC) 반복과 10배 교차 검증을 통한 로그 가능성을 보여주었습니다. 그림 2f는 다양한 하위 유형 수에 따른 교차 검증 정보 기준(CVIC)을 보여줍니다. CVIC가 감소하면 모델 적합도가 개선되었음을 알 수 있습니다. CVIC는 하위 유형이 1개에서 2개로 늘어날수록 뚜렷한 감소를 보였지만, 하위 유형이 2개에서 3개로 늘어날수록 감소폭이 덜 뚜렷했습니다. 모델 적합도가 거의 개선되지 않는 경우에는 더 간단한 모델을 선호해야 합니다. 따라서 두 개의 하위 유형이 있는 SuStaIn 모델을 선택했습니다.

 

Fig. 2: The progression patterns of Parkinson’s disease subtypes in the discovery dataset.

a The positional density maps of two Parkinson’s disease subtypes. x axis indicates the number of events (11 variables * 3 grads). The color intensity reflects the row-wise positional density and confidence in the ordering. The location of highest color intensity means the most probable stage/sequence of this feature. b Distribution of two subtypes across SuStaIn stages. c Boxplots of probability of maximum likelihood subtype. d Log Likelihood across Markov chain Monte Carlo iterations. e Log Likelihood across 10-fold cross-validation. Log Likelihood increased dramatically from 1 subtype to 2 subtypes, but not increased slowly or even decreased from 2 subtypes to 3 or more subtypes. f The CVIC under different number of subtypes. Decreased CVIC illustrated improved model fit. In case of little improvement in model fit, a simpler model should be favored. Box plots with center line indicating median, bounds of boxes showing upper and lower quartile, whiskers illustrating 1.5 * interquartile range, and dots representing the distribution of raw data (minima and maxima are included). The contrast-to-noise ratio of substantia nigra and locus coeruleus, the free-water of basal forebrain, entorhinal cortex, amygdala, and hippocampus were enrolled. RBDQ-HK Rapid Eye Movement Sleep Behavior Disorder Questionnaire (Chinese University of Hong Kong version), BSIT Brief Smell Identification Test modified for Chinese, SCOPA-AUT Scales for Outcomes in Parkinson’s Disease-Autonomic, HAMD Hamilton Rating Scale for Depression, MoCA Montreal Cognitive Assessment, SuStaIn Subtype and Stage Inference, CVIC cross-validation information criterion.

 

a 두 파킨슨병 하위 유형의 위치 밀도 맵. x축은 이벤트 수(11개 변수 * 3개 등급)를 나타냅니다. 색상 강도는 행별 위치 밀도와 순서에 대한 신뢰도를 반영합니다. 색 강도가 가장 높은 위치는 이 특징의 가장 가능성이 높은 단계/순서를 의미합니다. b SuStaIn 단계에 걸친 두 하위 유형의 분포. c 최대 가능성 하위 유형의 확률 박스 플롯. d 마르코프 체인 몬테카를로 반복에 따른 로그 가능성. e 10배 교차 검증에 걸친 로그 가능성. 로그 가능성은 하위 유형 1개에서 하위 유형 2개로 급격히 증가했지만, 하위 유형 2개에서 하위 유형 3개 이상으로 증가하거나 심지어 감소하지 않았습니다. f 다양한 하위 유형 수에 따른 CVIC. CVIC가 감소하면 모델 적합도가 개선되었음을 나타냅니다. 모델 적합도가 거의 개선되지 않은 경우에는 더 간단한 모델을 선호해야 합니다. 중앙값을 나타내는 중앙선, 상위 사분위수와 하위 사분위수를 나타내는 상자 경계선, 1.5 * 사분위수 간 범위를 나타내는 수염, 원시 데이터의 분포를 나타내는 점(최소값과 최대값 포함)이 있는 박스형 플롯입니다. 기저 전뇌, 내측 전두엽 피질, 편도체, 해마의 자유수, 흑질(substantia nigra) 및 회유체(locus coeruleus)의 명암 대비 잡음비가 등록되었습니다. RBDQ-HK 안구 운동 수면 행동 장애 설문지(홍콩중문대학교 버전), 중국인을 위해 수정된 BSIT 간략 후각 식별 테스트, 파킨슨병-자율성 결과에 대한 SCOPA-AUT 척도, 우울증에 대한 HAMD 해밀턴 평가 척도, MoCA 몬트리올 인지 평가, SuStaIn 하위 유형 및 단계 추론, CVIC 교차 검증 정보 기준이 사용되었습니다.

 

Full size image

The SuStaIn model estimated that progression starts with classic prodromal features of PD, such as RBD, hyposmia, autonomic dysfunction, and depression, which precede cognitive impairment later in the disease course. Degeneration of the SN and LC were the earliest manifestations of the disease captured by imaging in subtype 1. These were followed by degeneration of the entorhinal cortex. Consistent with the sequence of cognitive decline, the degeneration of limbic systems such as hippocampus, amygdala, and basal forebrain occurred in the advanced stages. The first symptoms occurred in subtype 2 patients were olfaction, autonomic function, and cognition. In contrast to subtype 1, RBD and depression were confined to the latter stages of the disease. SN degeneration was the earliest sign of the disease to be imaged. Early degeneration of hippocampus and amygdala were also characteristic of this subtype. These were followed by degeneration of entorhinal cortex and basal forebrain. LC degeneration were confined to the latter stages of the disease.

 

Additionally, we constructed a new SuStaIn model using diffusion MRI data only (specifically measuring the free-water of substantia nigra, locus coeruleus, basal forebrain, entorhinal cortex, amygdala, and hippocampus) in the discovery dataset. The resulting progress patterns of two subtypes were consistent with above results (Supplementary Fig. 1).

Differences of demographics, clinical variables, imaging parameters, and response to levodopa treatment between subtypes

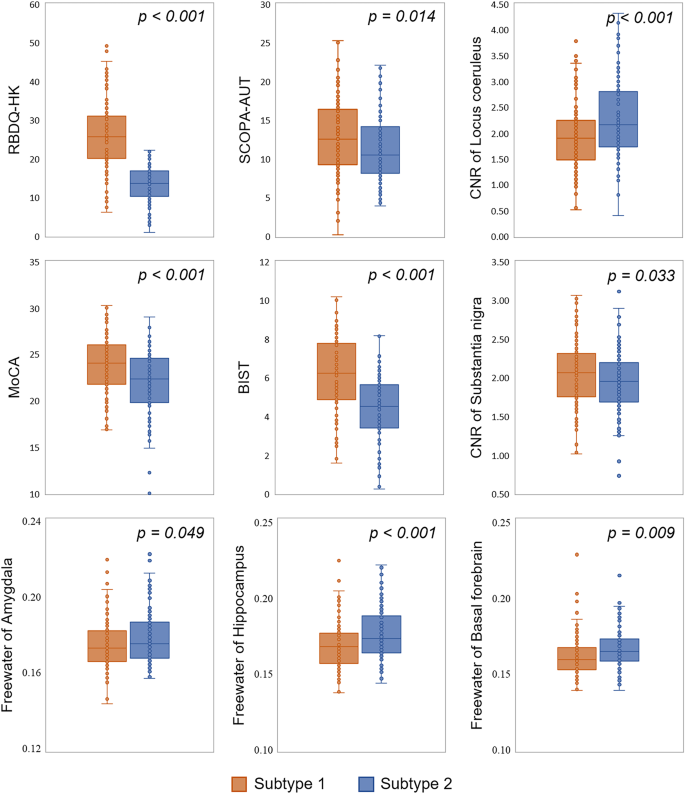
The two subtypes were not significantly different in their gender, age, disease duration, and levodopa equivalent daily dose (LEDD). Subtype 1 patients had lower education level (p = 0.005) and higher SuStaIn stage than subtype 2 (p < 0.001). Therefore, education and SuStaIn stage were regressed as covariates when comparing the difference of clinical variables, imaging parameters, and levodopa response between subtypes. General linear model suggested that no significant difference was found for part I, II, and III of Unified Parkinson’s Disease Rating Scale (UPDRS), and Hoehn and Yahr (HY) scores between the two subtypes. In addition, more severe RBD symptoms, autonomic dysfunction, and LC degeneration were observed in subtype 1 compared with subtype 2. By contrast, more significant declines in cognition and olfaction were found for subtype 2. More serious degeneration in SN, hippocampus, amygdala, and basal forebrain were also found for subtype 2 [Fig. 3, False discovery rate (FDR) corrected].

 

SuStaIn 모델은

질병 진행 과정의 후반부에

인지 장애가 발생하기 전에

RBD, 후각저하, 자율 기능 장애, 우울증과 같은

PD의 전형적인 전구 증상에서 진행이 시작된다고 추정했습니다.

 

아형 1에서

영상으로 포착된 질병의 가장 초기 증상은

SN과 LC의 퇴화였습니다.

 

그 다음에는

내측 피질의 변성이 뒤따랐습니다.

 

인지 기능 저하의 순서와 일치하게

해마, 편도체, 기저 전뇌와 같은 변연계의 퇴행은

진행 단계에서 발생했습니다.

 

아형 2 환자에서

가장 먼저 발생한 증상은

후각, 자율 기능, 인지 기능이었습니다.

 

하위 유형 1과 달리

RBD와 우울증은 질병의 후기 단계에 국한되었습니다.

 

SN 변성은 가장 먼저 영상화할 수 있는 질병의 초기 징후였습니다. 해마와 편도체의 초기 퇴화도 이 하위 유형의 특징이었습니다. 그 다음에는 내측 피질과 기저 전두엽의 퇴행이 뒤따랐습니다. LC 변성은 질병의 후기 단계에 국한되었습니다.

또한, 저희는 발견 데이터 세트에서 확산 MRI 데이터만을 사용하여 새로운 SuStaIn 모델을 구축했습니다(특히 흑질, 흑질핵, 기저 전뇌, 내측 피질, 편도체 및 해마의 자유수분 측정). 그 결과 두 가지 하위 유형의 진행 패턴은 위의 결과와 일치했습니다(보충 그림 1).



하위 유형 간 인구 통계, 임상 변수, 영상 매개변수, 레보도파 치료에 대한 반응의 차이점
두 하위 유형은 성별, 연령, 유병 기간, 레보도파 일일 등가 용량(LEDD)에서 유의미한 차이가 없었습니다. 하위 유형 1 환자는 하위 유형 2 환자보다 교육 수준이 낮고(p= 0.005) SuStaIn 단계가 높았습니다(p<0.001). 따라서 하위 유형 간 임상 변수, 영상 매개변수 및 레보도파 반응의 차이를 비교할 때 교육 수준과 SuStaIn 병기를 공변량으로 회귀 분석했습니다. 일반 선형 모델에서는 두 아형 간 통합 파킨슨병 평가 척도(UPDRS)의 파트 I, II, III과 호른 및 야르(HY) 점수에서 유의미한 차이가 발견되지 않았습니다. 또한 하위 유형 1에서 하위 유형 2에 비해 더 심한 RBD 증상, 자율 기능 장애 및 LC 퇴행이 관찰되었습니다. 이와 대조적으로 하위 유형 2에서는 인지 및 후각 기능이 더 크게 저하된 것으로 나타났습니다. 아형 2에서는 SN, 해마, 편도체, 기저 전두엽의 퇴화도 더 심각했습니다[그림 3, 거짓 발견율(FDR) 보정].

 

Fig. 3: The differences of clinical and imaging features between two Parkinson’s disease subtypes in the discovery dataset.

Lower CNR of locus coeruleus or substantia nigra means more severe degeneration, while higher free-water measure means more severe degeneration. Box plots with center line indicating median, bounds of boxes showing upper and lower quartile, whiskers illustrating 1.5 * interquartile range, and dots representing the distribution of raw data (minima and maxima are included). The p values were FDR corrected. RBDQ-HK Rapid Eye Movement Sleep Behavior Disorder Questionnaire—Chinese University of Hong Kong version, SCOPA-AUT Scales for Outcomes in Parkinson’s Disease-Autonomic, CNR contrast to noise ratio, MoCA Montreal Cognitive Assessment scale, BSIT modified Brief Smell Identification Test for Chinese. *p < 0.05; **p < 0.01; ***p < 0.001.

 

We compared the difference of levodopa response between the two subtypes. One hundred and twelve patients (subtype 1 = 55, subtype 2 = 57) undertook the levodopa challenge test. The two subgroups were well matched in age, gender, education level, disease duration, and LEDD. Subtype 1 patients showed significant poor levodopa responses than that of subtype 2 patients (p = 0.026). The difference kept significant in regression of LEDD between two subtypes (p = 0.025). Supplementary Table 1 shares detailed demographic information of the patients who took the levodopa challenge test.

No significant difference was observed between the two subtypes for tremor, rigidity, bradykinesia, and axial symptoms, histories of smoking, alcohol consumption, pesticide and toxic exposure, and asymmetry index of imaging variables (see Supplementary Materials for details).

 

코에룰레우스 또는 흑질의 CNR이 낮을수록 변성이 더 심하고, 자유수 측정값이 높을수록 변성이 더 심하다는 것을 의미합니다. 중앙값을 나타내는 중앙선, 상한 및 하한 사분위수를 나타내는 상자 경계선, 1.5 * 사분위수 간 범위를 나타내는 수염, 원시 데이터의 분포를 나타내는 점(최소값과 최대값 포함)이 있는 박스형 플롯입니다. p 값은 FDR 보정값입니다. RBDQ-HK 안구 운동 수면 행동 장애 설문지-홍콩중문대학교 버전, SCOPA-AUT 파킨슨병-자율성 결과 척도, CNR 대비 소음 비율, MoCA 몬트리올 인지 평가 척도, BSIT 수정 중국인용 간단한 냄새 식별 테스트. *p< 0.05; **p< 0.01; ***p< 0.001.

두 하위 유형 간의 레보도파 반응 차이를 비교했습니다. 12명의 환자(하위 유형 1 = 55명, 하위 유형 2 = 57명)가 레보도파 챌린지 테스트에 참여했습니다. 두 하위 그룹은 연령, 성별, 교육 수준, 유병 기간 및 LEDD가 잘 일치했습니다. 하위 유형 1 환자들은 하위 유형 2 환자들보다 레보도파 반응이 현저히 낮았습니다(p= 0.026). 이 차이는 두 하위 유형 간의 LEDD 회귀에서도 유의미한 차이를 유지했습니다(p= 0.025). 보충 표 1에는 레보도파 챌린지 테스트에 참여한 환자들의 자세한 인구통계학적 정보가 나와 있습니다.


진전, 경직, 서동증, 축성 증상, 흡연력, 음주력, 살충제 및 독성 노출, 영상 변수의 비대칭 지수는

두 하위 유형 간에 유의미한 차이가 관찰되지 않았습니다(자세한 내용은 보충 자료 참조).

 

Correlations between inferred SuStaIn stage and disease severity

Significant correlations were found between SuStaIn stage and UPDRS-I, UPDRS-II, UPDRS-III, UPDRS-IV, Parkinson’s Disease Questionnaire-39 items (PDQ-39), and activity of daily life scale (ADL) scores in subtype 1, and UPDRS-I, UPDRS-II, UPDRS-IV, PDQ-39, and ADL scores in subtype 2 (Fig. 4, FDR corrected). These results suggest that the features used in the SuStaIn model were related to PD pathology, and that the SuStaIn stages assigned to patients were reliable.

 

추론된 SuStaIn 단계와 질병 중증도 간의 상관관계
하위 유형 1에서는 SuStaIn 단계와 UPDRS-I, UPDRS-II, UPDRS-III, UPDRS-IV, 파킨슨병 설문지-39 항목(PDQ-39), 일상생활 활동 척도(ADL) 점수 간에 유의한 상관관계가 발견되었고 하위 유형 2에서는 UPDRS-I, UPDRS-II, UPDRS-IV, PDQ-39 및 ADL 점수와 유의한 상관관계가 발견되었습니다(그림 4, FDR 보정). 이러한 결과는 SuStaIn 모델에 사용된 특징이 PD 병리와 관련이 있으며, 환자에게 할당된 SuStaIn 단계가 신뢰할 수 있음을 시사합니다. 

 

Fig. 4: Correlations between SuStaIn stage and disease severity in two Parkinson’s disease subtypes in the discovery dataset.

FDR corrected. UPDRS Unified Parkinson’s Disease Rating Scale, PDQ-39 Parkinson’s Disease Questionnaire-39 items, ADL activity of daily life scale. *p < 0.05; **p < 0.01; ***p < 0.001.

Full size image

 

Subtypes in validation dataset

We validated our findings in the PPMI dataset. Healthy controls and PD patients were well matched in gender, age and education level. Detailed demographics, clinical and imaging characteristics were shown in Supplementary Table 2. One hundred and twenty-eight patients were divided into two distinct progression subtypes. The first dysfunctional signs in subtype 1 patients (n = 102) were in olfaction and REM sleep. These were followed by depression and autonomic dysfunction, while cognitive decline developed in the advanced stages. The initial symptoms in subtype 2 patients (n = 26) were cognitive decline and hyposmia. Autonomic dysfunction, RBD symptoms, and depression were limited to the latter stages of the disease. Alterations in imaging features were restricted to the end of disease stage in both subtypes. The remaining 25 patients in that dataset were categorized as stage 0. Distribution of two subtypes across SuStaIn stages, boxplots of probability of maximum likelihood subtype, MCMC iterations and 10-fold cross-validation, and the CVIC under different number of subtypes were shown in Supplementary Fig. 2. Two subtypes were determined as the optional number of subtypes.

 

Consistent with the discovery dataset, subtype 1 patients displayed more severe RBD (p = 0.044), but not survived after FDR correction, while subtype 2 patients displayed significant lower Montreal Cognitive Assessment (MoCA) score (p < 0.001). Three PD patients with GBA mutations and 1 PD patient with LRRK2 mutations were identified. Three patients with GBA mutations were grouped to subtype 1, and one patent with LRRK2 mutations was grouped to subtype 2. We also assessed the differences of longitudinal progression between subtypes. Linear mixed-effects model analysis suggested that subtype 1 had faster rate of progression in MDS-UPDRS-III and MDR-UPDRS-Total scores during 5 years follow up (group * time, p = 0.030 and p = 0.040, respectively, uncorrected).

 

No significant difference was found between the two subtypes for gender, age, education level, disease duration, MDS-UPDRS scores and motor subscales of tremor, rigidity, bradykinesia, axial symptoms, and postural instability and gait difficulty (PIGD). No significant difference was found in environmental factors, asymmetry index, dopamine transporter (DAT) binding ratios, levels of amyloid-β42, α‐synuclein, and phosphorylated tau protein in cerebrospinal fluid (Supplementary Table 4).

In addition, we found significant correlations between SuStaIn stage and MDS-UPDRS-I, MDS-UPDRS-II, and MDS-UPDRS-III scores for subtype 1 (p = 0.004, p < 0.001, and p = 0.015, respectively) but not for subtype 2, which might be due to the small sample size of subtype 2 (FDR corrected).

 

검증 데이터 세트의 하위 유형
PPMI 데이터 세트에서 연구 결과를 검증했습니다. 건강한 대조군과 PD 환자는 성별, 연령, 교육 수준이 잘 일치했습니다. 자세한 인구 통계, 임상 및 영상학적 특성은 부록 표 2에 나와 있습니다. 128명의 환자를 두 가지 진행 하위 유형으로 나누었습니다.

 

하위 유형 1 환자(n= 102)의

첫 번째 기능 장애 징후는

후각과 렘수면이었습니다.

 

그 다음에는

우울증과 자율 기능 장애가 나타났고,

진행 단계에서는 인지 기능 저하가 나타났습니다.

 

아형 2 환자(n= 26)의 초기 증상은

인지 기능 저하와 후각저하이었습니다.

 

자율 기능 장애,

RBD 증상 및 우울증은

질병의 후기 단계로 제한되었습니다.

 

영상학적 특징의 변화는 두 하위 유형 모두에서 질병 말기로 제한되었습니다. 해당 데이터 세트의 나머지 25명의 환자는 0기로 분류되었습니다. SuStaIn 단계별 두 하위 유형의 분포, 최대 가능성 하위 유형의 확률 박스 플롯, MCMC 반복 및 10배 교차 검증, 다양한 하위 유형 수에 따른 CVIC는 보충 그림 2에 표시되어 있습니다. 두 가지 하위 유형이 선택적 하위 유형 수로 결정되었습니다.


발견 데이터 세트와 일관되게,

하위 유형 1 환자는 더 심각한 RBD를 보였으나(p= 0.044) FDR 보정 후 생존하지 못했고,

하위 유형 2 환자는 몬트리올 인지 평가(MoCA) 점수가 유의하게 낮았습니다(p<0.001).

 

GBA 돌연변이를 가진 PD 환자 3명과

LRRK2 돌연변이를 가진 PD 환자 1명이 확인되었습니다.

 

GBA 돌연변이가 있는 환자 3명은 서브타입 1로, LRRK2 돌연변이가 있는 환자 1명은 서브타입 2로 분류되었습니다. 또한 하위 유형 간 종단적 진행의 차이도 평가했습니다. 선형 혼합 효과 모델 분석 결과, 5년 추적 관찰 기간 동안 서브타입 1은 MDS-UPDRS-III 및 MDR-UPDRS-Total 점수의 진행 속도가 더 빠른 것으로 나타났습니다(그룹 * 시간, 각각 p= 0.030 및 p= 0.040, 보정되지 않음).


성별, 연령, 교육 수준, 유병 기간, MDS-UPDRS 점수,

떨림, 경직, 서동증, 축 증상, 자세 불안정 및 보행 장애(PIGD)의

운동 하위 척도에서 두 하위 유형 간에 유의미한 차이가 발견되지 않았습니다.

 

환경적 요인, 비대칭 지수, 도파민 수송체(DAT) 결합 비율, 뇌척수액의 아밀로이드-β42, α-시누클레인, 인산화 타우 단백질 수치에서는 유의미한 차이가 발견되지 않았습니다(보충 표 4).

 

또한 하위 유형 1의 경우 SuStaIn 단계와 MDS-UPDRS-I, MDS-UPDRS-II 및 MDS-UPDRS-III 점수 간에 유의미한 상관관계가 있는 것으로 나타났지만(각각p= 0.004, p< 0.001 및 p= 0.015), 하위 유형 2의 경우 그렇지 않았는데 이는 하위 유형 2의 표본 크기가 작기 때문일 수 있습니다(FDR 보정).

 

Discussion

We identified two distinct patterns of disease progression in PD patients: subtype 1, in which RBD, hyposmia, and autonomic dysfunction are early symptoms, and subtype 2, in which hyposmia and cognitive impairment are early manifestations. Furthermore, subtype 1 was characterized by early degeneration in the SN and LC, followed by degeneration in amygdala, hippocampus, and basal forebrain as the disease progress. Subtype 2 was characterized by early degeneration in the SN, hippocampus, amygdala, and basal forebrain, with spread to the LC as the disease progressed. The validation dataset showed patterns of progression similar to the discovery dataset. Moreover, subtype 1 patients had poor levodopa response, more GBA mutations, and worse longitudinal prognosis compared with subtype 2 patients. These findings provide new insights into the heterogeneity of PD from the perspective of dynamic disease evolution, and are also potentially useful for the stratification of patients in clinical trials and practice.

 

According to the Braak model, PD typically begins with RBD, autonomic dysfunction symptoms, and hyposmia, which then progress to emotional and classical motor disorders before ultimately leading to cognitive impairment24,25. In this study, we identified a subtype of PD with an identical pattern of progress from multidimensional data by using a novel data-driven approach. Meanwhile, subtype 1 was characterized by early degeneration in SN and LC, which was followed by entorhinal cortex degeneration, and eventually spreading to the limbic system such as hippocampus, amygdala, and basal forebrain. This trajectory of brain degeneration in subtype1 is similar with the Braak staging hypothesis which describes the intracerebral formation of abnormal proteinaceous Lewy bodies and the spread of Lewy neurites from the brainstem, and midbrain to limbic cortex25,26. Braak also pointed that the pathology of PD may develop in the olfactory bulb and extend to adjacent regions, but these lesions do not appear to advance substantially beyond those areas25. Therefore, Braak concluded that although PD may have a dual-etiology (originating from the gut and olfactory bulb), it is the propagation of pathology through the brainstem that ultimately drives the disease25. This viewpoint is similar with the recently proposed “body-first” hypothesis19.

 

However, neuropathological and clinical evidence suggests that Braak’s hypothesis does not apply to all PD patients. We identified a subtype characterized by early hyposmia and cognitive impairment, which in the later stages is accompanied by REM sleep dysfunction. Furthermore, degeneration in the hippocampus, amygdala, and basal forebrain occurred long before it did in the LC. This subtype was consistent with the “brain-first” hypothesis19. A recent postmortem study further supports our findings, reporting that pathology in "brain-first" patients is initially triggered in the olfactory bulb or amygdala20. In addition, it has been recognized that hyposmia and cognitive impairment can occur in the prodromal stage of PD, and is included as part of the MDS research criteria for prodromal PD27. Our findings further suggest that early occurrence of hyposmia and cognitive impairment might not merely be a prodromal marker for increased risk of PD, instead it might herald a specific PD subtype.

The clinical and imaging profiles differed significantly between the two subtypes. Subtype 1 showed more severe RBD symptoms, autonomic dysfunction-related manifestations, and LC degeneration. By contrast, subtype 2 showed more severe cognitive impairment, hyposmia, and limbic degeneration. These characteristics of the two subtypes were well aligned with that of “body-first” and “brain-first” subtypes, respectively18,19,28,29, and the neuroanatomic biotypes identified using a data-driven clustering approach14. These authors reported two subtypes of PD, one of which was characterized by more severe RBD and autonomic dysfunction14,18,19,28,29. According to the “body-first and brain-first” hypothesis, α-synuclein aggregates originate in the peripheral or enteric nervous systems and gradually invade the brainstem and cortex in “body-first” subtype patients. In “brain-first” subtype patients, α-synuclein aggregation starts in the limbic system and gradually spreads to the brainstem and peripheral and enteric nervous systems. Consistent with these two subtypes, autopsies demonstrate two dominant patterns of Lewy body pathology distribution in the PD population: a brainstem-predominant pattern and a limbic-predominant pattern29,30,31,32. Additionally, recent study reviewed postmortem datasets and further concluded that limbic-predominant patients had initial olfactory bulb pathology and then spreads to amygdala and neighborhood regions20. This viewpoint could explain why hyposmia was more severe in subtype 2 patients in our current findings.

 

It is worth noting that previous studies also found that PD patients with RBD symptoms have worse cognitive performance33. Traditional clustering analysis also tends to divide patients into mild (fewer non-motor symptoms) or diffuse malignant (more severe RBD symptoms and worse cognitive performance) subtypes10. We considered that disease stage as a confounding factor may contribute to differences in our conclusions. For instance, a PD subtype with RBD as an early manifestation might develop cognitive impairment at an advanced stage. In contrast, a PD subtype with cognitive impairment as an early manifestation could also show the symptoms of RBD at an advanced stage. Both types of patients will reach a similar end point characterized by severe disability followed by death7. PD patients with RBD symptoms usually implies that the α-synuclein pathology has been present for more than 10 years, which is much earlier than the onset of motor symptoms3. These patients might be in the advanced pathological stages, and consequently can have more severe clinical manifestations. However, this does not imply that PD patients with RBD symptoms suffered an early cognitive decline. Accordingly, a clinical study with a large sample size suggested that subjects (but not PD patients) with RBD symptoms do not undergo a cognitive decline during a 5-year follow-up period34. Therefore, the clinical characteristics of the two subtypes identified in our study do not conflict with previous studies. In addition, because the subjects included in clinical studies are at different stages of the disease, most clustering algorithms will partition individuals into early-stage or advanced-stage subtypes, or mild or diffuse malignant subtypes. This is not conducive to resolving the heterogeneous patterns of progression subtypes, which are, in theory, orthogonal to disease progression itself16. Therefore, the SuStaIn algorithm which combining clustering with disease progression modeling was conducted to overcome this limitation.

 

We found that subtype 1 had a significantly poor response to levodopa replacement therapy compared to subtype 2, which suggests different pathobiological mechanisms. In line with this finding, recent animal and human studies have shown that a deficiency of the LC noradrenergic system can complicate PD symptoms and diminishes the therapeutic efficacy of levodopa35,36. We found that subtype 2 patients have slight severe SN degeneration when compared with subtype 1 patients, probably because “brain-first” subtype is characterized by earlier dopamine deficiency than “body-first” subtype18. Nonetheless, the difference is minor and necessitates a prudent explanation. The UPDRS-III scores and subscores for tremor, rigidity, bradykinesia, axial symptoms did not differ between two PD subtypes, which indicate a comparable burden of nigrostriatal dopaminergic deficit between two PD subtypes. This finding was supported by previous study, which suggested that motor symptom are not the core features for distinguishing PD subtypes19. Furthermore, no significant association was observed between substances such as alcohol, tobacco, and coffee and PD subtypes in our current study. And pesticide and toxic exposure may not directly affect the subtype of PD. However, to address this issue more comprehensively, further specialized epidemiological studies are required, including meticulous quantification of factors such as alcohol content, precise amount of drinking, number of cigarettes smoked, and years of smoking.

 

In addition to classifying patients into different subtypes, we assigned each patient for a SuStaIn stage. We found that SuStaIn stage was significantly correlated with UPDRS-I, UPDRS-II, UPDRS-III, PDQ-39, and ADL scores. Considering that these clinical variables are mostly used for eval‎uating disease severity from different dimensions, these results confirmed the rationality of using the SuStaIn model to assign patients into specific subtypes and stages.

The two subtypes identified from the validation dataset were consistent with the subtypes determined from the discovery dataset. Subtype 1 patients had severe RBD symptom, while subtype 2 patients had significant poorer cognitive performance. It should be noted that the results obtained from free-water measures in the validation dataset were not entirely congruent with those obtained from the discovery dataset. We speculated that the lack of additional b0 with reverse phase-encode polarity contributed to the low sensitivity in detecting the neurodegeneration of PD. It is known that susceptibility-induced distortions could significantly reduce the accuracy of signal in small brain regions37. The findings from validation dataset also provided new knowledge about PD subtypes. Subtype 1 patients had faster rate of progression in motor symptom and global disease severity compared to subtype 2. This was consistent with previous studies that reported a poor prognosis in PD patients with RBD symptoms3,29. We also found that 3 patients with GBA mutations were grouped to subtype 1, and 1 patent with LRRK2 mutations was grouped to subtype 2. This finding was consistent the proposed “body-first” and “brain-first” phenotypes3,18. They considered that the pathogenic mechanism introduced by LRRK2 mutations may facilitate a “brain-first” subtype, whereas the GBA mutation carriers seem to be characterized by early, marked sympathetic denervation resembling more the “body-first” phenotype. Nonetheless, we acknowledged that the sample size for this analysis was small, and further validation is needed.

No significant difference was found in DAT binding ratios between PD subtypes, which might because of the flooring effect of DAT imaging. In addition, no difference was found in levels of amyloid-β42 and pathological tau protein in cerebrospinal fluid between the two subtypes. These findings suggest that the cognitive differences may not be caused by the burden of Alzheimer’s disease-related pathology, but rather by the different pattern of progression. Taken together, these findings expand our understanding of PD heterogeneous by showing two subtypes with different temporal and phenotype progression.

We acknowledge that the current findings are not completely aligned with the pathological evidence of the "body-first and brain-first" hypothesis31. Measurement errors in clinical and imaging assessments, patient heterogeneity, or the different pathological susceptibility of regions of the brain, might contribute to this inconsistency. For example, objective measures, such as polysomnography and colonic transit study, are more effective in quantifying the severity of RBD and constipation compared to subjective questionnaires. Although free-water measurements may provide better pathophysiological information regarding PD, diffusion MRI scanned with single-shell (b = 1000) is not the optimal choice for estimating free-water38. Further studies based on multi-shell diffusion MRI scans are necessary. Future studies to investigate this inconsistency are warranted. Moreover, future studies involving peripheral system examinations such as meta-[123I]iodobenzylguanidine (123I-MIBG) scintigraphy and intestinal biopsies might improve the understanding of distinct progression subtypes. Incorporating a vast number of samples should increase the confidence of subtype and stage inference, and therefore, future studies with larger sample sizes will be valuable for validating the current findings. Finally, considering the complexity of multidimensional data, having a subtype and stage inference model better suited to integrating multidimensional data in the near future would be a significant development39.

In conclusion, we defined two PD subtypes with distinct sequences of clinical and neurodegeneration events. These subtypes exhibit differing clinical and imaging profiles and responses to treatment. These findings corroborated the classical view on disease progression reveal new insights into the non-classical trajectory of clinical symptoms and neurodegeneration. This classification might also be useful for stratifying patients entering clinical trials, and might eventually shape more individualized treatments.

 

토론
우리는 PD 환자에서 두 가지 뚜렷한 질병 진행 패턴,

RBD, 후각장애, 자율 기능 장애가 초기 증상인 서브타입 1과

후각장애과 인지 장애가 초기 증상으로 나타나는 서브타입 2를 확인했습니다.

 

또한

아형 1은

SN과 LC의 초기 변성에 이어

편도체, 해마, 기저 전뇌의 변성이 질병이 진행됨에 따라 나타나는 것이 특징입니다.

 

하위 유형 2는

SN, 해마, 편도체 및 기저 전뇌의 초기 퇴행이 특징이며,

질병이 진행됨에 따라 LC로 확산되는 것이 특징입니다.

 

검증 데이터 세트는 발견 데이터 세트와 유사한 진행 패턴을 보였습니다.

 

또한

서브타입 1 환자들은 서브타입 2 환자들에 비해

레보도파 반응이 좋지 않았고,

GBA 돌연변이가 더 많았으며,

종단 예후가 더 나빴습니다.

 

이러한 연구 결과는

역동적인 질병 진화의 관점에서 PD의 이질성에 대한 새로운 통찰력을 제공하며,

임상시험 및 진료에서 환자를 계층화하는 데 잠재적으로 유용할 수 있습니다.


Braak 모델에 따르면,

PD는 일반적으로 RBD, 자율 기능 장애 증상 및 후각장애으로 시작하여

정서 및 고전적 운동 장애로 진행되다가

궁극적으로 인지 장애이어집니다24,25.

 

이 연구에서는 새로운 데이터 기반 접근 방식을 사용하여 다차원 데이터에서 동일한 진행 패턴을 보이는 PD의 하위 유형을 확인했습니다.

 

한편,

하위 유형 1은

SN과 LC의 초기 퇴행에 이어

내후각 피질 퇴행, 그리고 해마, 편도체, 기저 전뇌와 같은 변연계로 확산되는 특징이 있었습니다.

 

이러한

아형1의 뇌 퇴행 궤적은

비정상적인 단백질성 루이체의 뇌내 형성과 뇌간 및 중뇌에서

변연계 피질로의 루이 뉴라이트 확산을 설명하는 Braak 병기 가설과 유사합니다25,26.

 

Braak은 또한 PD의 병리가 후각 구근에서 발생하여 인접 부위로 확장될 수 있지만 이러한 병변이 해당 부위를 넘어 크게 진행되지는 않는 것으로 보인다고 지적했습니다25. 따라서 Braak은 PD가 장과 후각구에서 발생하는 이중 병인을 가질 수 있지만 궁극적으로 질병을 유발하는 것은 뇌간을 통한 병리의 전파라고 결론지었습니다25. 이러한 관점은 최근 제안된 "신체 우선" 가설과 유사합니다19.

 

그러나 신경병리학적 및 임상적 증거에 따르면 브라크의 가설이 모든 PD 환자에게 적용되는 것은 아닙니다. 우리는 초기 후각소실과 인지 장애를 특징으로 하는 하위 유형을 확인했으며, 후기 단계에서는 렘수면 기능 장애가 동반됩니다. 또한 해마, 편도체 및 기저 전두엽의 퇴화는 LC에서보다 훨씬 전에 발생했습니다. 이 하위 유형은 "뇌 우선" 가설과 일치했습니다19. 최근의 사후 연구에 따르면 '뇌 우선' 환자의 병리가 처음에 후각 전구 또는 편도체에서 촉발된다고 보고하여 이러한 연구 결과를 더욱 뒷받침하고 있습니다20. 또한, 저산소증과 인지 장애는 전구기 PD 단계에서 발생할 수 있으며, 전구기 PD에 대한 MDS 연구 기준의 일부로 포함되어 있습니다27. 연구 결과에 따르면 저산소증과 인지 장애의 조기 발생은 단순히 PD 위험 증가의 전구 마커가 아니라 특정 PD 아형을 예고할 수 있음을 시사합니다.


임상 및 영상학적 프로파일은 두 하위 유형 간에 큰 차이를 보였습니다.

 

아형 1은

더 심각한 RBD 증상, 자율 기능 장애 관련 증상, LC 변성을 보였습니다.

 

반면

하위 유형 2는

더 심각한 인지 장애, 후각장애, 변연계 변성을 보였습니다.

 

이러한 두 하위 유형의 특성은 각각 "신체 우선" 및 "뇌 우선" 하위 유형18,19,28,29과 데이터 기반 클러스터링 접근법을 사용하여 식별된 신경 해부학적 생물학적 유형14과 잘 일치했습니다. 이 저자들은 PD의 두 가지 하위 유형을 보고했는데, 그 중 하나는 더 심각한 RBD와 자율 기능 장애를 특징으로 합니다14,18,19,28,29. "신체 우선 및 뇌 우선" 가설에 따르면 α-시누클린 응집체는 말초 또는 장 신경계에서 발생하여 "신체 우선" 하위 유형 환자에서 점차적으로 뇌간과 피질을 침범합니다. "뇌 우선" 하위 유형 환자의 경우 α-시누클린 응집은 변연계에서 시작하여 점차 뇌간과 말초 및 장 신경계로 퍼집니다. 이 두 가지 아형과 일치하는 부검 결과, 루이소체 병리 분포의 두 가지 지배적인 패턴, 즉 뇌간 우세 패턴과 변연계 우세 패턴29,30,31,32이 PD 집단에서 나타났습니다. 또한 최근 연구에서는 사후 데이터 세트를 검토한 결과 변연계 우세 환자는 초기 후각 전구 병리가 발생한 후 편도체와 주변 부위로 퍼진다는 결론을 내렸습니다20. 이러한 관점은 이번 연구 결과에서 하위 유형 2 환자에서 후각장애이 더 심했던 이유를 설명할 수 있습니다.


이전 연구에서도

RBD 증상이 있는 PD 환자의 인지 능력이 더 나쁘다는

사실이 밝혀진 바 있습니다33. 기

 

존의 클러스터링 분석에서도 환자를 경증(비운동 증상이 적음) 또는 확산성 악성(RBD 증상이 더 심하고 인지 능력이 나쁨) 하위 유형으로 분류하는 경향이 있습니다10. 우리는 질병 단계가 결론에 차이를 가져올 수 있는 혼동 요인으로 고려했습니다. 예를 들어, RBD가 초기 증상으로 나타나는 PD 하위 유형은 진행 단계에서 인지 장애가 발생할 수 있습니다. 반대로, 인지 장애가 초기 증상으로 나타나는 PD 하위 유형은 진행 단계에서도 RBD 증상을 보일 수 있습니다. 두 유형의 환자 모두 중증 장애와 사망이라는 비슷한 종말점에 도달하게 됩니다7. RBD 증상이 있는 PD 환자는 일반적으로 α-시누클레인 병리가 10년 이상 존재했음을 의미하며, 이는 운동 증상이 시작되는 시기보다 훨씬 빠릅니다3. 이러한 환자는 병리학적으로 진행된 단계에 있을 수 있으며, 결과적으로 더 심각한 임상 증상을 보일 수 있습니다. 그러나 이것이 RBD 증상이 있는 PD 환자가 조기에 인지 기능 저하를 겪었다는 것을 의미하지는 않습니다. 따라서 대규모 표본을 대상으로 한 임상 연구에 따르면 RBD 증상이 있는 피험자(PD 환자 제외)는 5년 추적 관찰 기간 동안 인지 기능 저하를 겪지 않는 것으로 나타났습니다34. 따라서 본 연구에서 확인된 두 가지 하위 유형의 임상적 특성은 이전 연구와 상충되지 않습니다. 또한 임상 연구에 포함된 피험자들은 질병의 진행 단계가 다르기 때문에 대부분의 클러스터링 알고리즘은 개인을 초기 또는 진행 단계의 하위 유형 또는 경증 또는 확산성 악성 하위 유형으로 구분합니다. 이는 이론적으로 질병 진행 자체와 직교하는 이질적인 진행 하위 유형의 패턴을 해결하는 데 도움이 되지 않습니다16. 따라서 이러한 한계를 극복하기 위해 클러스터링과 질병 진행 모델링을 결합한 SuStaIn 알고리즘을 사용했습니다.


그 결과

서브타입 1은 서브타입 2에 비해

레보도파 대체요법에 대한 반응이 현저히 떨어지는 것으로 나타났으며,

이는 다른 병태생리학적 기전을 시사합니다.

 

이러한 발견에 따라 최근의 동물 및 인간 연구에 따르면 LC 노르아드레날린 시스템의 결핍은 PD 증상을 복잡하게 하고 레보도파의 치료 효능을 감소시킬 수 있는 것으로 나타났습니다35,36. 서브타입 2 환자는 서브타입 1 환자에 비해 SN 변성이 약간 심한 것으로 나타났는데, 이는 아마도 "뇌 우선" 서브타입이 "신체 우선" 서브타입보다 도파민 결핍이 더 일찍 나타나는 특징이 있기 때문인 것으로 보입니다18. 그럼에도 불구하고 그 차이는 미미하므로 신중한 설명이 필요합니다. 떨림, 경직, 서동증, 축성 증상에 대한 UPDRS-III 점수와 하위 점수는 두 PD 아형 간에 차이가 없었으며, 이는 두 PD 아형 간에 흑질 도파민 결핍의 부담이 비슷하다는 것을 나타냅니다. 이 결과는 운동 증상이 PD 아형을 구별하는 핵심 특징이 아니라는 이전 연구에 의해 뒷받침되었습니다19. 또한, 이번 연구에서는 알코올, 담배, 커피와 같은 물질과 PD 아형 간에는 유의미한 연관성이 관찰되지 않았습니다. 또한 살충제 및 독성 물질 노출은 PD 아형에 직접적인 영향을 미치지 않을 수 있습니다. 그러나 이 문제를 보다 포괄적으로 다루기 위해서는 알코올 함량, 정확한 음주량, 흡연 개수, 흡연 기간 등의 요인을 세밀하게 정량화하는 등 보다 전문적인 역학 연구가 필요합니다.


저희는 환자를 여러 하위 유형으로 분류하는 것 외에도 각 환자에게 SuStaIn 단계를 할당했습니다. 그 결과, 수스타인 단계는 UPDRS-I, UPDRS-II, UPDRS-III, PDQ-39 및 ADL 점수와 유의미한 상관관계가 있는 것으로 나타났습니다. 이러한 임상 변수는 대부분 다양한 차원에서 질병 중증도를 평가하는 데 사용된다는 점을 고려할 때, 이러한 결과는 환자를 특정 하위 유형과 단계로 분류하는 데 SuStaIn 모델을 사용하는 것이 합리적임을 확인시켜 주었습니다.


검증 데이터 세트에서 확인된 두 가지 하위 유형은 발견 데이터 세트에서 결정된 하위 유형과 일치했습니다. 하위 유형 1 환자들은 심각한 RBD 증상을 보였고, 하위 유형 2 환자들은 인지 능력이 현저히 떨어졌습니다. 검증 데이터 세트의 자유수 측정에서 얻은 결과는 발견 데이터 세트에서 얻은 결과와 완전히 일치하지 않는다는 점에 유의해야 합니다. 우리는 역위상 인코딩 극성을 가진 추가 b0의 부족이 PD의 신경 퇴화를 감지하는 데 낮은 감도에 기여한 것으로 추측했습니다. 감수성으로 인한 왜곡은 작은 뇌 영역에서 신호의 정확도를 크게 떨어뜨릴 수 있는 것으로 알려져 있습니다37. 검증 데이터 세트의 결과는 PD 하위 유형에 대한 새로운 지식도 제공했습니다. 서브타입 1 환자들은 서브타입 2에 비해 운동 증상과 전반적인 질병 중증도의 진행 속도가 더 빨랐습니다. 이는 RBD 증상이 있는 PD 환자의 예후가 좋지 않다고 보고한 이전 연구 결과와 일치했습니다3,29. 또한 GBA 돌연변이가 있는 환자 3명은 서브타입 1로, LRRK2 돌연변이가 있는 환자 1명은 서브타입 2로 분류된 것으로 나타났습니다. 이 발견은 제안된 "신체 우선" 및 "뇌 우선" 표현형3,18과 일치했습니다. 연구팀은 LRRK2 돌연변이에 의해 도입된 병원성 메커니즘이 "뇌 우선" 아형을 촉진할 수 있는 반면, GBA 돌연변이 보인자는 "신체 우선" 표현형과 더 유사한 조기에 뚜렷한 교감신경 저하가 특징인 것으로 보인다고 생각했습니다. 그럼에도 불구하고 이 분석의 표본 크기가 작아 추가적인 검증이 필요하다는 점을 인정했습니다.
PD 아형 간의 DAT 결합 비율에는 유의미한 차이가 발견되지 않았는데, 이는 DAT 이미징의 바닥 효과 때문일 수 있습니다. 또한 뇌척수액 내 아밀로이드-β42 및 병적 타우 단백질 수준에서도 두 아형 간에 차이가 발견되지 않았습니다. 이러한 결과는 인지적 차이가 알츠하이머병 관련 병리의 부담으로 인한 것이 아니라 다른 진행 패턴으로 인해 발생할 수 있음을 시사합니다. 이러한 연구 결과를 종합하면, 시간적 및 표현형 진행이 다른 두 가지 하위 유형을 보여줌으로써 이질적 알츠하이머병에 대한 이해를 넓힐 수 있습니다.


우리는 현재의 연구 결과가 "신체 우선, 뇌 우선" 가설31의 병리학적인 증거와 완전히 일치하지는 않음을 인정합니다. 임상 및 영상 평가의 측정 오류, 환자 이질성 또는 뇌 영역의 다양한 병리학적 감수성 등이 이러한 불일치에 기여할 수 있습니다. 예를 들어, 수면다원검사나 대장 통과 연구와 같은 객관적인 측정은 주관적인 설문지에 비해 RBD와 변비의 중증도를 정량화하는 데 더 효과적입니다. 자유수 측정이 PD에 관한 더 나은 병리 생리학적 정보를 제공할 수 있지만, 단일 쉘(b = 1000)로 스캔한 확산 MRI는 자유수를 추정하는 데 최적의 선택이 아닙니다38. 다중 쉘 확산 MRI 스캔을 기반으로 한 추가 연구가 필요합니다. 이러한 불일치를 조사하기 위한 향후 연구가 필요합니다. 또한 메타[123I]요오도벤질구아니딘(123I-MIBG) 신티그래피 및 장 생검과 같은 말초 시스템 검사와 관련된 향후 연구는 뚜렷한 진행 아형에 대한 이해를 개선할 수 있습니다. 방대한 수의 샘플을 통합하면 아형 및 병기 추론의 신뢰도를 높일 수 있으므로 향후 더 큰 샘플 크기를 사용한 연구가 현재의 결과를 검증하는 데 유용할 것입니다. 마지막으로, 다차원 데이터의 복잡성을 고려할 때 가까운 미래에 다차원 데이터를 통합하는 데 더 적합한 하위 유형 및 단계 추론 모델을 개발하는 것은 중요한 발전이 될 것입니다39.

 

결론적으로, 우리는 임상 및 신경 퇴화 사건의 뚜렷한 순서를 가진 두 가지 PD 하위 유형을 정의했습니다. 이러한 하위 유형은 서로 다른 임상 및 영상 프로필과 치료에 대한 반응을 나타냅니다. 이러한 연구 결과는 질병 진행에 대한 고전적 관점을 확증하고 임상 증상과 신경 퇴행의 비고전적 궤적에 대한 새로운 통찰력을 제시합니다. 이러한 분류는 임상시험에 참여하는 환자를 계층화하는 데도 유용할 수 있으며, 궁극적으로 보다 개별화된 치료법을 형성할 수 있습니다.

 

Methods

Participants

The discovery dataset included 242 PD patients and 133 healthy control subjects. The PD patients were recruited from the Second Affiliated Hospital of Zhejiang University School of Medicine and diagnosed by experienced neurologists according to the United Kingdom Parkinson’s Disease Society Brain Bank criteria. Healthy controls were recruited from the community. Participants with missing values in clinical assessments or MRI scans that used the SuStaIn model were excluded. In addition, all images were visually inspected, and images showing intracranial mass, cerebrovascular disorders, and obvious artifacts were excluded. In total, 228 PD patients and 119 healthy controls were included.

The protocol, consent form, and other relevant documentations were approved by the ethics committee of the Second Affiliated Hospital of Zhejiang University School of Medicine before the study commenced. The study was performed in accordance with the Declaration of Helsinki and consistently with Good Clinical Practice. Before enrollment, all patients provided their written informed consent.

Clinical and neuropsychological assessments

The UPDRS, HY, PDQ-39, and ADL scales were eval‎uated in PD patients. The subscores of tremors, rigidity, bradykinesia, and axial symptoms were calculated: subscore for tremor is obtained by adding the UPDRS-III items 20–21; subscore for rigidity is equal to the UPDRS-III item 22; subscore for bradykinesia is obtained by adding the UPDRS-III items 23–26 and 31; subscore for axial symptoms is obtained by adding the UPDRS-III items 27–30. All participants underwent eval‎uation for Brief Smell Identification Test (BSIT) modified for Chinese, Scales for Outcomes in Parkinson’s Disease-Autonomic (SCOPA-AUT) survey, Rapid Eye Movement Sleep Behavior Disorder Questionnaire—Chinese University of Hong Kong version (RBDQ-HK), MoCA test, Hamilton Rating Scale for Depression (HAMD). For PD patients, all of the above assessments were conducted during the "OFF state" (a period at least 12 h after withholding PD medications).

The self-reported lifetime histories of smoking, alcohol consumption, pesticide and toxic exposure of participants were recorded. Participants were defined as alcohol drinkers if they reported drinking at least 1 drink per week, and nondrinkers were defined as those reporting drinking 0 or <1 alcohol drink per week. Participants were defined as smokers if they reported smoking at least 1 cigarette per week, and nonsmokers were defined as those reporting smoking 0 or <1 cigarette per week. Pesticide exposure history refers to having worked in a job that required mixing, applying, or being exposed to any form of pesticide, such as herbicides, insecticides, fungicides, rodenticides, or acaricides (>6 months). Toxic exposure history was defined as exposed to some of toxic, including heavy metals, and organic pollutants (>6 months).

Additionally, 112 patients voluntarily underwent a levodopa challenge test. The UPDRS-III score was assessed during the OFF state and repeated one hour after administration of 200 mg levodopa and 50 mg benserazide (the "ON state")40. The levodopa response was expressed as the rate of change in the UPDRS-III score [(UPDRS-IIIOFF − UPDRS-IIION)/UPDRS-IIIOFF].

Magnetic resonance imaging data acquisition and analysisImage acquisition

All participants were scanned on a GE Discovery MR750 3.0T MRI scanner. Earplugs and foam pads were used to reduce noise and head motion. High-resolution 3D T1-weighted structural MRI, diffusion tensor imaging (DTI), and neuromelanin-sensitive imaging (NM-MRI) were performed.

High-resolution 3D T1-weighted image was acquired using a fast spoiled gradient-recalled sequence: echo time (TE) = 3.036 ms; repetition time (TR) = 7.336 ms; inversion time = 450 ms; flip angle (FA) = 11°; field of view (FOV) = 260 × 260 mm2; matrix = 256 × 256; slice thickness = 1.2 mm; number of slices = 196 (sagittal). DTI was acquired using a spin echo-echo planar imaging sequence: TR = 8000 ms; TE = 80 ms; flip angle = 90 degrees; field of view = 256 × 256 mm2; matrix = 128 × 128; slice thickness = 2 mm; slice gap = 0 mm; number of slices = 67 (axial). Diffusion images were acquired from 30 gradient directions (b = 1000 s/mm2), and included five acquisitions without diffusion weighting (b = 0). An additional b = 0 acquisition with reverse phase-encode polarity was acquired for distortion correction. Neuromelanin image was acquired using a T1-weighted fast spin echo sequence: TE = 18.6 ms; TR = 600 ms; FA = 77°; FOV = 220 × 220 mm2; matrix = 512 × 512; slice thickness = 3 mm; slice gap = 0 mm; number of slices = 17 (axial). Scanning coverage was set from the top of basal ganglia to the bottom of the medulla oblongata. The acquisition plane was orthogonal to the brainstem.

Image processingNeuromelanin-sensitive MRI

SN and LC are vital nodes in the trajectory of PD progression. With the advent of NM-MRI, the SN and LC are visible and measurable in vivo (Supplementary Fig. 3). Therefore, we used NM-MRI to measure the integrity of SN and LC. An author (C.Z.), who was blinded to the subjects’ information, performed two manual measurements with a time interval of one month. These measurements were conducted using ITK-SNAP (https://sourceforge.net/projects/itk-snap/). The mean and standard deviation (SD) of the signal intensity (SI) in SN, LC, cerebral peduncle (CP), and pontine (PT) were calculated. The CNRSN/LC was calculated as (SISN/LC − SICP/PT)/SDCP/PT. The averaged CNRSN/LC value from twice assessments were used for final analysis41. A lower CNR value indicates more serious degeneration. Detailed steps about manual measurements could be found in our previous study35.

Diffusion MRI

According to previous studies focusing on the trajectory of PD progression18,20,28, we measure the microstructural integrity of amygdala, hippocampus, entorhinal cortex, and basal forebrain. In this study, we calculated the free-water fractional volumes of them, which is an advanced diffusion MRI measure that estimates the volume fraction of extracellular space42. Previous studies suggested that free-water increased under the conditions of neuroinflammatory and atrophy-based neurodegeneration43. Free-water is considered as a more sensitive measure than traditional diffusion and volume measures in neurodegeneration44.

DTI data were processed using the FMRIB Software Library (FSL, http://www.fmrib.ox.ac.uk/fsl) and MRtrix3 (www.mrtrix.org). First, skulls were stripped from the DTI data for each participant. Then, topup and eddy were executed to correct susceptibility-induced distortions, eddy currents, and movements in diffusion data45. According to previous study, free-water was calculated by fitting a bi-tensor model46. The signal attenuation of the water molecules caused by and extracellular and intracellular water was predicted by this model, respectively. The derived free-water image reflects the volume fraction of extracellular space water. The steps to extract the free-water measure of above brain regions were as follows: 1) the native T1-weighted images were linearly and non-linearly aligned into Montreal Neurological Institute (MNI) standard space, and the outputs were visually inspected for errors and bad registration (4 PD patients and 1 healthy control were excluded in the following analysis); 2) the b0 images were linearly aligned to native T1-weighted images, and the free-water images were projected onto the T1-weighted images; 3) the free-water images were then linearly and non-linearly aligned into MNI space using the transformation matrix derived from T1-weighted images registration; 4) the free-water of four regions were then extracted: amygdala, hippocampus, entorhinal cortex, and basal forebrain. Amygdala, hippocampus, and entorhinal cortex atlas were acquired from the Human Brainnetome Atlas (http://atlas.brainnetome.org/). The basal forebrain (ch1-4 were combined) was defined according to the stereotaxic probabilistic maps imbedded in the Statistical Parametric Mapping (SPM, https://www.fil.ion.ucl.ac.uk/spm/) toolbox Anatomy v22c47. To alleviate partial volume effects, internal erosion with one voxel were implemented in all atlas.

In summary, CNRSN, CNRLC, free-water of amygdala, hippocampus, entorhinal cortex, and basal forebrain were calculated for next analysis. We also eval‎uated the asymmetry of imaging features included in the SuStaIn model. The formula used to calculate the asymmetry index was as follows: Asymmetry index = abs [(featureleft − featureright)/(mean (featureleft + featureright))]48.

Construction of the subtype and stage inference modelFeature selection

Five continuous clinical features, namely RBDQ-HK, SCOPA-AUT, BSIT, MoCA, and HAMD, were included in the analysis. Motor symptoms were only assessed on PD patients, and were therefore excluded. In addition, as we aim to model the progression in established PD (rather than prodromal disease), which is not suitable for UPDRS scores (all patients have motor dysfunction) in the SuStaIn model. The inclusion of UPDRS scores in the model could result in motor dysfunction being identified as the earliest event in PD progression. At the individual patient level, this may be misleading as research conducted on populations in preclinical stages of Parkinson’s disease has revealed that changes in smell and sleep tend to appear prior to motor symptoms24.

MRI features included CNRSN, CNRLC, free-water of amygdala, hippocampus, entorhinal cortex, and basal forebrain, each of them was averaged over the left and right hemispheres. As a result, a final subject*feature matrix (347*11) was obtained for further analysis. The confounding variables including age, gender, and years of education were adjusted for as covariates of no interest. The adjusted features were then converted into z scores relative to the healthy controls (by first subtracting the means of healthy controls, then dividing by the standard deviation of healthy controls). As the measure of BSIT, MoCA, CNRSN, and CNRLC decrease indicates impairment, we multiplied their z scores by −1, so that a larger z score indicates more severe impairment for all features. Finally, the normalized patient*feature matrix (228*11) was input into the model.

Modeling

pySuStaIn, a Python implementation of the SuStaIn algorithm49, was used to identify PD subtypes with distinct progression patterns and to grade a disease stage for each participant. Each feature was assigned three z scores (1, 2, and 3), which represented three continuous events (stages). In other words, each stage corresponds to a feature achieving a new z score. The advantage of this method is that it represents the continuous linear accumulation of changes caused by pathologic damage, rather than an instantaneous switch from normal to abnormal. Therefore, the pattern of progression for each disease subtype was characterized as a piecewise linear z score model, which consisted of a series of stages. Individuals were typed according to the likelihood they belonged to each SuStaIn subtype49, and the SuStaIn stage was determined by choosing the most probable stage16. The estimation of model uncertainty involved conducting 1,000,000 MCMC iterations. SuStaIn utilizes this method calculated probability for each individual into a specific stage and subtype based on their maximum likelihood16. Individuals with no biomarker abnormality were defined as being at stage 0 and no subtype was assigned. Finally, by iteratively increased the number of subtypes in the SuStaIn model, a less complex model (smaller number of subtypes) with lower CVIC calculated through 10-fold cross-validation was considered as the optional number of subtypes21. The algorithms and analytical procedures used here have been described in detail for recent studies15,16,23.

Validation dataset

We validated the reproducibility of the PD subtypes in the PPMI dataset (www.ppmi-info.org/access-data-specimens/download-data), RRID:SCR_00643150. For up-to-date information on the PPMI, visit www.ppmi-info.org. Subjects were scanned on Siemens 3.0 T TIM Trio scanners with the same scanning parameters. The scanning parameters of 3D T1 image were as follows: TR = 2300 ms; TE = 2.98 ms; inversion time = 900 ms; flip angle = 90°; slice number = 176; acquisition matrix = 240 × 256 and voxel size = 1 × 1 × 1 mm3. Diffusion tensor image was obtained with the following parameters: TR = 900 ms, TE = 88 ms, flip angle = 90°, voxel size = 2 × 2 × 2 mm3, slice number = 72, 64 gradient directions with a b-value of 1000 s/mm2. One non-gradient volume (b = 0 s/mm2) was also acquired. As the PPMI dataset does not contain NM-MRI data, we only calculated the free-water of SN and LC in MNI space. The SN label was obtained from the Automated anatomical labeling atlas 351, and the LC label were acquired based on a LC probability atlas with peak signal coordinates observed at two SDs52. Consequently, the free-water of SN, LC, amygdala, hippocampus, entorhinal cortex, and basal forebrain were input into the SuStaIn model. Clinical assessments including University of Pennsylvania Smell Identification Test (UPSIT), SCOPA-AUT, RBDQ, MoCA, and Geriatric Depression Scale (GDS) were used enrolled for SuStaIn model construction. Finally, the baseline clinical and MRI data of 153 PD patients and 67 healthy controls were enrolled for validation analysis. The model construction procedures were same with the discovery dataset.

The MDS‐UPDRS and HY scale were conducted during “OFF” state. Subscore for tremor is obtained by adding the MDS-UPDRS-III items 15–18. Subscore for rigidity is equal to the MDS-UPDRS-III item 3. Subscore for bradykinesia is obtained by adding the MDS-UPDRS-III items 4–9. Subscore for axial symptoms is obtained by adding the MDS-UPDRS-III items 1 and 10–13. In addition, subscore for PIGD was calculated as the mean of 5 items, including walking, balance and freezing in MDS-UPDRS-II items 12–13, and gait, postural stability and freezing of gait in MDS-UPDRS-III items 10–1253,54. The DAT binding rate (caudate and putamen) and cerebrospinal fluid proteins (α‐synuclein, amyloid-β42, tau, and phosphorylated tau protein) were collected. The details of the DAT processing and cerebrospinal fluid biomarker measurements could be found in our previous study55,56. The gene mutation information is only available in the PPMI dataset. According to the methods used in recent studies, the LRRK2 genetic testing included G2019S and R1441G/C, N1437H mutations; GBA genetic testing included N370S (also called N409S) in all, and L483P, L444P, IVS2 + 1, and 84GG mutations; SNCA genetic testing included A53T mutation; dual mutation carriers for both LRRK2 and GBA were excluded57,58,59.

Part of the PPMI’s participants collected the information about environmental factors tied to PD risk. This is conducted through a single site, University of California, San Francisco, and PPMI participants provide consent to be followed in PPMI FOUND separately. Alcohol drinkers were defined as drunk 100 or more alcoholic drinks during lifetime; smokers were defined as smoked 100 or more cigarettes during lifetime; coffee drinkers were defined as regularly drunk caffeinated coffee, that is, at least once per week for 6 months or longer; pesticides exposure were defined as had or ever had a job in which you mixed, applied, or were exposed in some other way to any type of pesticide, including herbicides, fungicides, insecticides, rodenticides or fumigants; toxicants exposure were defined as used glues or adhesives 100 or more days at work or at home during lifetime.

The PPMI project was approved by the Institutional Review Board or Independent Ethics Committee of all participating sites in Europe, including Attikon University Hospital (Greece), Hospital Clinic de Barcelona and Hospital Universitario Donostia (Spain), Innsbruck University (Austria), Paracelsus‐Elena‐Klinic Kassel/University of Marburg (Germany), Imperial College London (UK), Pitié‐Salpêtrière Hospital (France), University of Salerno (Italy), and in the USA, including Emory University, Johns Hopkins University, University of Alabama at Birmingham, PD and Movement Disorders Center of Boca Raton, Boston University, Northwestern University, University of Cincinnati, Cleveland Clinic Foundation, Baylor College of Medicine, Institute for Neurodegenerative Disorders, Columbia University Medical Center, Beth Israel Medical Center, University of Pennsylvania, Oregon Health and Science University, University of Rochester, University of California at San Diego, and University of California, San Francisco. Informed consent was provided according to the Declaration of Helsinki.

Statistical analysis

Statistical Package for the Social Sciences (version 23) was used for statistical analysis. Comparisons of demographics, clinical and imaging variables between PD patients and healthy control were performed using two-sample t-test and chi-squared test as appropriate. General liner model was conducted to assess the difference of clinical/imaging variables, asymmetry index, levodopa response, DAT binding rate (validation dataset), and cerebrospinal fluid proteins (validation dataset) between PD subtypes. Confounding variables including gender, age, education, and SuStaIn stage were adjusted as fixed effects in linear mixed-effects model. Comparisons of environmental factors and gene mutation (validation dataset) between PD subtypes were performed using chi-squared test. Pearson correlation analysis was conducted to assess the consistency between the SuStaIn-model-inferred disease stage and UPDRS, PDQ-39, and ADL scores, which reflect the severity of the disease. FDR correction was performed for multiple comparison correction, and a two-tailed p-value < 0.05 was considered significant. Additionally, the linear mixed-effects model was conducted to assessed the difference of longitudinal progression between PD subtype (group*time effect, validation dataset, Supplementary Table 5).

Data availability

The dataset used in this study, obtained from The Second Affiliated Hospital, Zhejiang University School of Medicine, is available for qualified researchers to request for the purpose of reproducibility of the research. To access the dataset, interested researchers can contact the corresponding author directly. The PPMI dataset (https://www.ppmi-info.org/) used for this study is available for qualified researchers through application.

Code availability

FSL (v6.0, http://www.fmrib.ox.ac.uk/fsl), MRtrix3 (www.mrtrix.org), SPM12 (https://www.fil.ion.ucl.ac.uk/spm/), and the code for SuStaIn model construction (https://github.com/ucl-pond/pySuStaIn) are open sources.

Change history

  • 16 January 2024

References

  1.  
  2.  
  3.  
  4.  
  5.  
  6.  
다음검색
현재 게시글 추가 기능 열기

댓글

댓글 리스트
  • 작성자uncanny | 작성시간 24.07.22 PD 원인은 무의식인가 여쭙습니다.
  • 답댓글 작성자문형철 작성자 본인 여부 작성자 | 작성시간 24.07.22 마음의 세계, 무의식의 세계, 최면의 세계를 오랫동안 탐구하면서 알게 된 진실 - 모든 인간의 질병의 원인은 '무의식'으로부터 출발합니다 - 입니다. 파킨슨 병이라고해서 예외는 아닐 것입니다.

    다만 과학적 방법론으로 검증이 거의 불가능한 세계라 이 카페에서는 특별히 언급하지 않을 뿐입니다. truth reflex 검사로도 yes라고 나옵니다.
  • 답댓글 작성자문형철 작성자 본인 여부 작성자 | 작성시간 24.07.23 카르마(운명) : 영적의도, 영적 결정에 따라 자동적으로 따라오는 에너지 '데이비드 호킨스'
  • 답댓글 작성자uncanny | 작성시간 24.07.24 문형철 감사합니다.
댓글 전체보기
맨위로

카페 검색

카페 검색어 입력폼