CAFE

E.P.M.내공공유

[고전역학강의]케플러 법칙의 유도

작성자성은|작성시간09.12.07|조회수6,282 목록 댓글 7

 - 이 증명을 논산 29연대에서 욜나게 구르고 계실 Xnei님에게 바칩니다. -

 

 

일단 케플러 법칙에 대해서 간단히 소개 하겠습니다.

 

케플러의 1법칙, 타원의 법칙 (1609년) : 행성궤도는 태양을 초점으로 하는 타원이다.
케플러의 2법칙, 등면적 법칙 (1609년) : 태양과 행성을 잇는 직선은 행성이 태양주위에서 궤도운동을 할때 같은 시간동안 같은 면적을 지나간다.
케플러의 3법칙, 조화의 법칙 (1618년) ' 행성주기 ' 의 제곱은 ' 행성궤도의 반장축' 의 세제곱 에 비례한다.

※ 반장축 : 타원의 제일 긴 지름의 절반.  장반경이라고도 한다.

 


케플러1법칙을 증명하는건 뉴턴시대 당시엔 무지하게 어려 웠습니다.(그당시엔 미적분이 없었음)

1684년 여름에 헬리가 뉴턴에게 역제곱 힘을 받는 행성의 궤도는 어떻게 될지 물었을때 뉴턴이 그 즉시 '타원' 이라고 말해서 헬리를 놀라게 했었죠^^

그당시 여러사람들이 타원궤도를 도는 행성은 역제곱 힘을 받을거라고 추측하였으나 수학적으로 증명 하지 못했죠.

뉴턴은 이미 그당시에 미적분을 알고 있었고, 헬리가 왜 타원궤도가 되냐고 물으니깐,

" 내가 옛날에 이미 계산을 해보았네^ㅠ^ "

라고 무조건반사(?)로 대답할정도니 그 당시 사람들에겐 괴물로 보였을듯...-.=

물론 현대의 우리가 보기에도 미적분을 안쓰고 오직 유클리드 기하학 만으로 증명한게 더 괴물로 보이는...-_-a
(전 프린시피아 사놓고 약간 보다가 때려친..ㅠㅠ)

 

케플러 법칙들은 모두

1. 뉴턴의2법칙 : F = ma
2. 뉴턴의중력법칙 : F= GMm/r²

두가지 법칙으로 부터 수학적으로 증명이 됩니다. (증명에서 쓰이는 수학은 벡터해석(벡터미적분)을 사용합니다.)

따라서 케플러 법칙은 사실 법칙이 아니라 케플러 정리라고 불러야 옳습니다.(기본법칙으로 부터 유도가 되므로...)
하지만 뉴턴의 프린시피아보다 케플러가 먼저 발표해서 케플러정리가 법칙으로 불려지게 되었죠ㅎ
(케플러 법칙이란 용어는 수백년간 관용적으로 굳어져서 앞으로도 안바뀔듯;;)

 

 

 


먼저 케플러 2법칙. 등면적의 법칙을 증명해 보겠습니다.(케플러 법칙을 증명하는 순서는 2->1->3 순서로 합니다.)
케플러 2법칙은 중력이 중심력(두 물체 사이에 작용하는 힘이 두 입자의 선을 잇는 방향으로 작용하는 힘) 이기 때문에 나오는 결과 입니다.(굳이 역제곱 법칙이 아니여도... 예를들어 역세제곱 법칙이였어도 성립합니다.)
현대의 물리용어로 말하면
"태양에 대한 행성의 각운동량은 보존된다."
라고 말할수 있습니다.

증명을 이해할려면 대학교 1학년때 배우는 미분적분학 책에 나오는 벡터해석파트를 공부해야하는데...(또는 수리물리의 벡터해석 파트)... 그냥 알고 있다고 가정하고 증명하겠습니다...-_-aa  이거 설명할려면 케플러 법칙증명이 아닌 벡터해석 공부가 되므로...ㄱ-..

 

 

깔끔하게 증명되었습니다.
여기서 각운동량의 방향도 항상 일정하므로, 행성은 항상 평면운동을 한다는것도 알 수 있습니다.

 

 

 


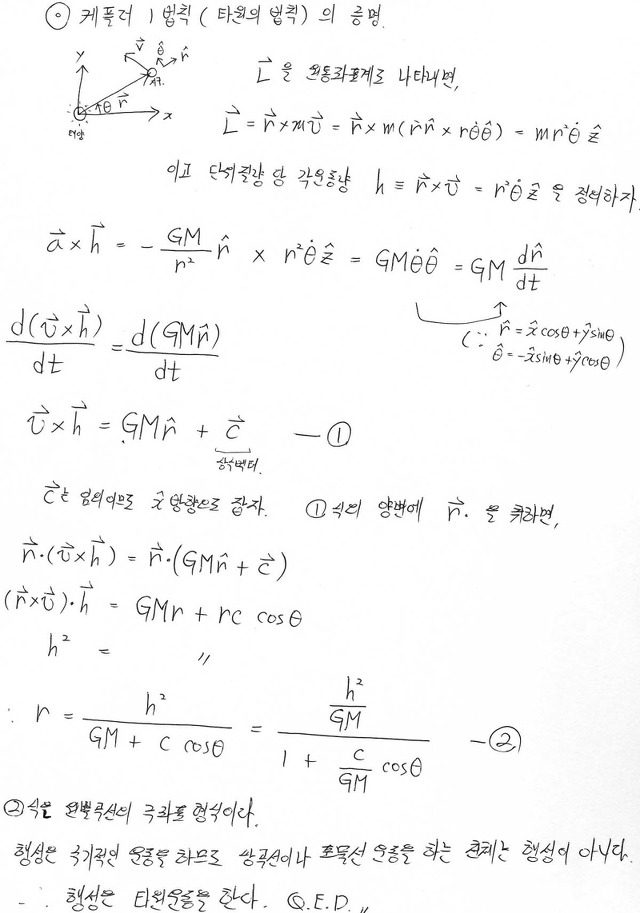
이제 케플러 1법칙. 타원의 법칙을 증명하겠습니다.
보통 물리과에서 배우는 책에는 궤도운동방정식을 먼저 유도하여 증명하는데 저는 오로지 벡터해석을 이용하여 바로 증명해 보이겠습니다. (유도에는 james stewart 미적분책을 약간 참고 하였습니다.)
 

 

마지막 2 식은 원뿔곡선의 극좌표 표현입니다.
고등학생이라면 이게 무슨 타원궤도의 증명이야? 라고 말할수 있겠으나...-_-..
저런식으로 표현되는 곡선은 반드시 원,타원,포물선,쌍곡선 중 하나여야 합니다.
그런데 포물선,쌍곡선을 그린다면 이미 행성이 아니므로...(물론 그런 천체도 있겠지만...)
일반적으로 행성의 궤도는 타원이라고 말할 수 있는 것입니다.(타원은 원을 포함)

 

 

 

마지막으로 케플러3법칙인 조화의 법칙을 증명해 보이겠습니다.
보통 대학1학년 가서 일반물리학 시험을 보면 원궤도일때 케플러3법칙을 유도하라는 문제가 간혹 나옵니다.

2~3 줄이면 증명이 되니 잠시 써보겠습니다.

-------------- (원궤도 에서의) 케플러 3법칙의 증명 ---------------
중력 = 구심력 에서,
F = GMm/r²  =  mv²/r
∴ v = √(GM/r)  

이식을  T = 2ㅠr / v 에 대입하면,  T² = (4ㅠ²/GM) r ³  인 케플러 3법칙이 증명됩니다.
----------------------------------------------------------------


다시 본론으로 돌아와서...
일반적인 타원의 경우에 증명해 보겠습니다.
증명은 케플러 2법칙으로 부터 시작합니다.
그리고 일반적인 타원의 성질을 이용하였습니다.
전 이심률이고 뭐고 그런 용어 안썼습니다.....-_-
   

 

참고로 여기서 a가 반장축 입니다.

 

 

그럼 이만 Xnei님의 전역을 미리(?) 축하드리며 케플러 법칙의 증명을 마치겠습니다.


^^*

 

 

 

 

운영자 Xnei님의 군대 스토리가 궁금하신분은

여기를 참고하세요 : http://cafe.daum.net/physicslove/87VN/8543

화이팅 입니다^-^

 

다음검색
현재 게시글 추가 기능 열기

댓글

댓글 리스트
  • 답댓글 작성자성은 작성자 본인 여부 작성자 | 작성시간 09.12.07 순간 완전 깜짝놀랐습니다.ㅜ_ㅜ 그러고보니 jys34님이 미적분 첨 배울때 h -> 0 으로 보내면서 극한적으로 0 이되는거 가지고 "이건 사기다!!" 라고 했었죠ㅋ
  • 답댓글 작성자송치만 | 작성시간 09.12.07 저도 이거 부체꼴 넓이 구하는거 삼각형 모양으로 생각해서 하잖아요 그래서 아닐거라 생각햇는데 무한데로 잘라서 붙이면 가능한 설명을 듣고 이해햇져 ㅎㅎ
    무한대 라는것이 무한이 늘어나는것인데 암튼 지금도 늘어난다고 생각이(?) 드네여 ㅋㅋ
    한마디로 저도 비슷한 생각해본적이 잇어여 똑같지는 않지만여 ㅎㅎ
  • 작성자가을향기 | 작성시간 09.12.30 r은 L과 수직이므로는 P와 수직이므로이고,케를러1법칙 증명에서 a 크로스 h가 아니고 v 크로스 h라 생각됩니다.
  • 답댓글 작성자성은 작성자 본인 여부 작성자 | 작성시간 09.12.30 r과 p는 일반적으로 수직이지 않아요. L과 수직인게 맞아요.(즉, L은 행성궤도평면에 수직이죠) // 그리고 a 크로스 h 는 일단 증명의 시작을 그렇게 놓았을뿐 틀린게 아니예요.
  • 작성자바운스K | 작성시간 17.04.07 아 진짜 이런글 좋은데....
댓글 전체보기
맨위로

카페 검색

카페 검색어 입력폼