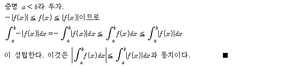
Re:따름정리 정적분의 부등식성질(증명) 작성자플러스수학|작성시간09.12.04|조회수455 목록 댓글 0 글자크기 작게가 글자크기 크게가 다음검색 현재 게시글 추가 기능 열기 북마크 공유하기 신고 센터로 신고 댓글 댓글 0 댓글쓰기 답글쓰기 댓글 리스트