CAFE

Calculus

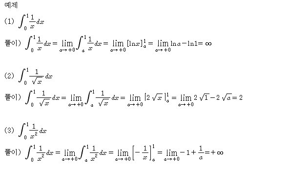
[정의]특이적분(이상적분) improper integral

작성자플러스수학|작성시간09.12.04|조회수2,623 목록 댓글 0

 

 

 

 

 

 

 

 

 

각각의 그래프를 보면서 0과 1사이의 모양이 어떤지 살펴보세요.

 p=1을 경계로 수렴발산이 나뉘어지고 있습니다.

각각의 그래프를 보면서 1과 무한대사이의 모양이 어떤지 살펴보세요.

 p=1을 경계로 수렴발산이 나뉘어지고 있습니다.

 

 

다음검색
현재 게시글 추가 기능 열기

댓글

댓글 리스트
맨위로

카페 검색

카페 검색어 입력폼