CAFE

회계 업무

자연 로그(In : logarithm of nature, 엘엔) 무리수 상수 e

작성자세이지|작성시간17.10.28|조회수1,737 목록 댓글 0

What does the button on calculator, ln mean? and also how is it used?

ln(LN, 엘엔) stands for 'natural logarithm'.


Explanation:

If the term 'logarithm' means anything to you:
On your calculator you find two buttons for them:

The log button, where logs are calculated to the base 10, and ln that calculates logs to the base e.

Logs (both kinds) are used for compressing large measuring scales, like the deciBel scale for sound, and also in exponential and periodic functions.



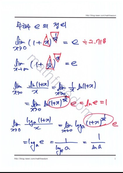
무리수 상수 e는 탄젠트 곡선의 기울기에서 유도되는 특정한 실수로 무리수이자 초월수이다.

스위스의 수학자 레온하르트 오일러(Leonhard Euler)의 이름을 따 오일러의 수로도 불리며, 로그 계산법을 도입한 스코틀랜드의 수학자 존 네이피어를 기려 네이피어 상수라고도 한다. 또한 e는 자연로그(LN : Natural Logarithm, logarithm of nature)의 밑이기 때문에 자연 상수라고도 불린다.

■ 레온하르트 오일러(독일어: Leonhard Euler, 라틴어:Leonhardus Eulerus 레온하르두스 에울레루스, 1707년 4월 15일~1783년 9월 18일)는 스위스 바젤에서 태어난 수학자, 물리학자, 천문학자이다.

e는 π, 1, 0, i 등과 함께 수학의 중요한 상수로 취급된다. 예컨데,오일러의 공식에서 그렇다.

e는 무리수이기 때문에 십진법으로 표현할 수 없고 근삿값만을 추정할 수 있다. 소수로 나타낸 e의 근삿값은 대략 다음과 같다.

e=2.71828 18284 59045 23536 02874




다음검색
현재 게시글 추가 기능 열기

댓글

댓글 리스트
맨위로

카페 검색

카페 검색어 입력폼