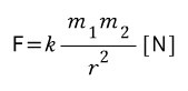
전기력 :
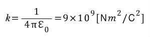
전계 :


Q(전하), k(비례상수), R(반지름), 입실론_0(진공유전율)
자기력 :
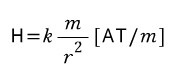
자계 :


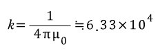
m(자극), k(비례상수), r(반지름), 뮤_0(진공투자율)
다음검색
전기력 :
전계 :


Q(전하), k(비례상수), R(반지름), 입실론_0(진공유전율)
자기력 :
자계 :


m(자극), k(비례상수), r(반지름), 뮤_0(진공투자율)