플렌지의 형상 및 이음
면의 형상에 따라 분류
1)FF(Flat face)~
켓이 닿는 면이 평평 한 모양
2)RF(Raised face)~
켓이 닿는 면이 평평 한 모양 볼록하게 올라와 있는 경우
3)TG(Tung & Groove)~
용으로서 마주보는 후렌지가 각각 암수 홈이 파져있는 모양
이음방법에 따라 분류(배관과 후렌지간의 이음)
1)SO(Slip on)타잎~
파이프 배관재를 후렌지 내경속으로 끼워넣어 용접하는 방법
2)WN(Welding Neck)~
후렌지 가스켓면 반대쪽면이 목(neck)이 볼록하게
나와 있으며 배관재를 그 목에 맞대고 용접하는것
3)SW(Screwed)~
배관재와 후렌지를 나사식으로 체결하는 방법
4) SW(Socket Welding)
주로 1-1/2" 이하의 소형 pipe line 용으로 사용됩니다
5)LJ(Lap Joint)
STUB END FITTING 함께사용하며 CARBON STEEL FLANGE 임 RTJ(RING
TYPE JOINT)-TG 와 비슷하며 1500# 이상 주로사용 STEEL GASKET을 사용함
아래의 글은 (주)부성후렌지의 자료이니 참고 바랍니다.
 |
The lap joint flange is practically identical to a slip-on flange except it has a radius at the intersection of the bore and flange face. This radius is necessary to have the flange accommodate a lap joint stud end. | |
| |
 |
The blind flanges is a flange without a bore, It is used to close off the end of a piping system and/or pressure vessel opening. It also permits easy access to the interior of a line or vessel once it has been sealed and must be reopened. | |
| |
| 3) Socket Welding Flanges |
 |
The socket welding flange is similar to a slip-on flange except it has a bore and a counter bore dimension. The counter bore is slightly larger than the O.D. of the matching pipe, allowing the pipe to be inserted into the flange similar to a slip-on flange. The diameter of the smaller bore is the same as the I.D. of the matching pipe a restriction is built into the bottom of the bore which sets as a shoulder for the pipe to rest on. This eliminates any restriction in flow when using a socket welding flange. | |
| |
 |
The welding neck flange is normally referred to as the "high up" flange. It is designed to transfer stresses to the pipe, thereby reducing high stress concentrations at the base of the flange. The welding neck flange is the best designed butt-welded flange of those currently available because of its inherent structural value. It is expensive because of the design. | |
| |
| 5) Threaded(Screwed) Flanges |
 |
The threaded flange is similar to the slip-on flange, but the bore is threaded. Its chief merit is that It can be assembled without welding, explaining its use in low pressure services at ordinary atmospheric temperatures, and in highly explosive areas where welding create a hazard. | |
| |
 |
The Slip-on flange has a low hub because the pipe slips into the flange prior to welding. It is welded both inside and out to provide sufficient strength and prevent leakage. Slip-on flanges are all bored slightly larger than the O.D. of the matching pipe. They are preferred over welding neck flanges by many users buy to their lower initial cost, but final installation cost is probably not much less than that of the welding neck flange because of the additional welding involved. | |
|
플랜지에 대하여
플랜지를 규정하는 경우에는 플랜지면의 형상, 파이프와의 접속법, 플랜지 Rating에 의해 분류되고 있다.
플랜지의 형상에 의한 분류
1) FF Flange-Flat Flange : Flange면이 평평한 것으로서 16 kg/cm2 이하에 많이 사용하는 주로 철제 (Cast Iron) Valve에서 많이 사용한다. 왜냐하면 면이 올라온 RF Flange를 쓰면 재질상 주물은 깨지기 쉽기 때문이다. 2) RF Flange-Raised Flange : 16 kg/cm2 이상의 주강제 밸브에서 많이 사용하며 Flange닿는 면이 약간 튀어 나왔다. 여기에는 홈(Groove)이 있는 것과 없는 것이 있다. 3) RJ Flange-Ring Joint : 40 kg/cm2 이상의 고온 고압의 증기일 때 주로 사용한다. 4) LTG/STG Flange : Flange 연결부위에 밀폐를 철저히 하기 위하여 사용한다.
파이프의 접속법에 의한 분류
1) Welding Neck : "high hub"플랜지로 응력을 파이프로 전달하여 플랜지면에서의 고응력을 줄인다. 가격이 다른 플랜지에 비하여 비싸다. 2) Slip-On : "Low hub"플랜지로 Bore크기가 연결하는 파이프의 외경보다 약간 크게 되어 있다. 가격이 Welding Neck에 비해 싸나 high stress가 걸리는 부분에는 적 당치 않다. 3) Threaded (Screwed) : Slip-On플랜지와 유사하나 Bore가 Thread로 되어있어 용접없이 연결이 가능하다. 상온의 낮은 압력 혹은 용접이 위험한 가스폭발가능 구역에서 사용한 다. 4) Lap Joint : Slip-On과 실제적으로 같으나 Lap-Joint Stub를 수용하기 위한 구조로 되어 있다. 5) Socket Welding : Slip-On플랜지에 비해 파이프 내경과 크기가 같은 Bore가 하나 더 있다. 6) Blind : Bore없는 플랜지로 압력용기의 개구부나 파이프끝단을 폐쇄하는데 이용된다.

Rating에 의한 분류
현재 ANSI와 JIS는 다음과 같이 프랜지 호칭압력으로 분류하고 있다. ANSI : 150lb, 300lb, 400lb, 600lb, 900lb, 2500lb ········7 종류 JIS : 2k, 5k, 10k, 16k, 20k, 30k, 40k, 63k, ·········8 종류 주어진 온도에서의 압력(허용가능한 최대 non-shock압력)을 온도-압력 Rating이라 하며 ANSI의 경우 B16.5에 규정되어있다.
<압력-온도 Rating, CL 150 (ANSI B16.5)> (단위 : Psig)

<압력-온도 Rating, CL 300 (ANSI B16.5)> (단위 : Psig)

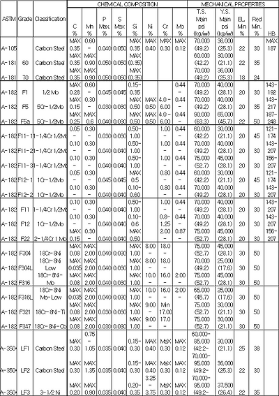
<Flange Material Spec. (ANSI B16.5)>

|
|