CAFE

양자역학 관련 이론

하이젠베르크 행렬 역학과 슈뢰딩거의 파동역학 비교

작성자烏鷺路로|작성시간26.01.27|조회수101 목록 댓글 0

하이젠베르크 행렬 역학과 슈뢰딩거의 파동역학 비교

 

하이젠베르크의 행렬역학은 관측 가능한 물리량을 행렬로 다루며 ‘불연속적’이고 대수적인 접근을 취한 반면, 슈뢰딩거의 파동역학은 연속적인 파동함수와 미분방정식을 통해 직관적인 ‘파동적 그림’을 제시합니다. 두 이론은 수학적으로 동등하며 결국 같은 양자역학을 설명합니다.

 

■ 비교 표: 행렬역학 vs 파동역학

구분 하이젠베르크 행렬역학 슈뢰딩거 파동역학
등장 시기1925년, 하이젠베르크·보른·요르단1926년, 슈뢰딩거
핵심 아이디어관측 가능한 물리량(위치·운동량 등)을 행렬로 표현입자의 상태를 파동함수(ψ)로 표현
수학적 도구선형대수학, 행렬 연산, 교환 관계 [P,X]=iℏ편미분방정식, 슈뢰딩거 방정식
직관성추상적이고 비직관적, 물리적 그림이 부족파동·간섭·확률밀도 등 직관적 그림 제공
대표 성과수소 원자 에너지 준위, 조화진동자 해석전자 껍질 구조, 확률 해석, 터널링 등
철학적 배경“관측 가능한 것만 과학” (마흐의 영향)연속적 파동으로 자연을 설명하려는 시도
관계대수적 접근해석적 접근
결론두 이론은 수학적으로 동등하며, 서로 다른 언어로 같은 물리 현상을 설명

■ 핵심 차이와 의미

   ○ 행렬역학: 전자의 궤도나 파동적 성질을 직접 상상하지 않고, 오직 관측 가능한 스펙트럼과 에너지 준위만을 수학적으로 맞추려는 접근. 불연속적 ‘양자 도약’을 자연스럽게 설명.

   ○ 파동역학: 전자를 파동으로 보고, 공간에 퍼진 확률밀도로 해석. 직관적 그림을 제공하여 교육·연구에서 더 널리 쓰임.

   ○ 동등성 증명: 슈뢰딩거는 1926년 논문에서 두 이론이 수학적으로 동일함을 증명, 양자역학의 통합을 이룸.

 

■ 철학적·실용적 함의

  ○ 철학적 차이: 하이젠베르크는 “관측되지 않는 것은 과학이 아니다”라는 실증주의적 태도를 취했고, 슈뢰딩거는 연속적 파동으로 자연을 설명하려는 고전적 직관을 유지.

  ○ 실용적 차이: 오늘날 계산에서는 파동역학(슈뢰딩거 방정식)이 더 직관적이고 널리 쓰이며, 행렬역학은 양자장론·스핀 시스템 등에서 여전히 중요한 역할을 함.

 

■ 요약하면, 행렬역학은 추상적·대수적 접근, 파동역학은 직관적·해석적 접근이며, 두 방법은 결국 같은 양자 세계를 다른 언어로 설명하는 두 얼굴입니다.

 

 

◎ 두 이론의 대표적인 예제인 양자 조화진동자를 두 방식(행렬역학 vs 파동역학)으로 나란히 풀어보면 동등성이 더 명확하게 드러납니다. 

 

■ 예제: 양자 조화진동자 (Quantum Harmonic Oscillator)

 

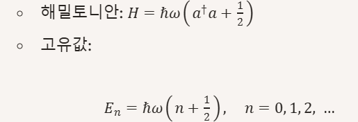
1. 행렬역학 접근

  ○ 아이디어: 에너지 준위를 직접 행렬로 표현하고, ladder operator(승강 연산자)를 사용.

  ○ 핵심 관계식:

                   [a,a^†] = 1

          여기서 a,a^†는 소멸·생성 연산자.

  ○ 해결 과정:

      - 해밀토니안: H = ℏω (a^†a + 1/2)

      - 고유값:

                   E_n = ℏω (n + 1/2), n = 0,1,2,…

  ○ 결과: 에너지 준위가 등간격으로 배치됨.

 

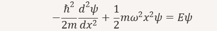
2. 파동역학 접근

  ○ 아이디어: 슈뢰딩거 방정식을 풀어 파동함수 ψ(x)를 구함.

  ○ 슈뢰딩거 방정식:

                −ℏ^2 / 2m · d^2ψ / dx^2 + 1/2 mω^2x^2ψ = Eψ

  ○ 해결 과정:

      - 해는 Hermite 다항식 Hn(x)와 가우시안 함수로 표현됨:

                  ψ_n(x) = N_n e − mωx^2 / 2ℏ · H_n ⁣(mω/ℏ · x)

  ○ 에너지 준위:

                          E_ n= ℏω (n + 1/2)

  ○ 결과: 행렬역학과 동일한 에너지 준위가 도출됨.

 

■ 비교 요약

  ○ 행렬역학: 에너지 준위를 대수적으로 도출 → 직관은 부족하지만 계산이 깔끔.

  ○ 파동역학: 파동함수와 공간적 확률밀도를 제공 → 직관적 그림을 얻을 수 있음.

  ○ 동등성: 두 방식 모두 같은 에너지 준위를 산출. 즉, 수학적으로 동일한 이론임.

 

 이렇게 보면, 행렬역학은 대수적 구조를 강조하고, 파동역학은 공간적 직관을 강조합니다.

 

 

◎ "행렬 ↔ 파동"의 대응 관계

 

아래 그림은 하이젠베르크 행렬역학과 슈뢰딩거 파동역학의 대응 관계를 시각적으로 보여줍니다.

왼쪽은 행렬 방식(연산자, 교환 관계, 해밀토니안),

오른쪽은 파동 방식(슈뢰딩거 방정식, 파동함수)이며, 두 접근 모두 같은 에너지 준위 En=ℏω(n+12)로 연결됩니다.

각각의 박스는 서로 다른 수학적 언어를 사용하지만, 아래에서 동일한 결과로 합류하는 모습이 강조되어 있습니다.

그림에서, “행렬 ↔ 파동”의 동등성을 직관적으로 확인할 수 있습니다.

 

다음검색
현재 게시글 추가 기능 열기

댓글

댓글 리스트
맨위로

카페 검색

카페 검색어 입력폼