CAFE

[해석학]미적분학 구간을 나눈 적분값이 다릅니다.

작성자용용마마|작성시간21.07.16|조회수461 목록 댓글 13

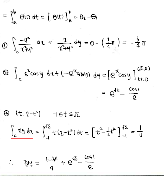
  이건 제풀이입니다.(모범풀이는 밑에 사진입니다.)

 L_2의 선적분계산이 문제답과 다르게 나와서 질문드립니다. 

구체적으로 저는 L_1,L_2 를 추가시켜 폐구간에서 그린정리를 사용해서 문제를 풀었습니다. 

그리고 L_2에서 구간을 잘못잡아 치환을잘못했는지,, 아니면 세타값이 틀렸는지..

 

즉, 제 답(녹색표시값)과 모범답안값이 달라서.. 어디가 잘못됬는지 알려주시면 감사하겠습니다^^!!

(전체 풀이를 모두 올리느냐고 질문글이 너무 복잡하게 되있어서 죄송해요ㅠㅠㅠ 질문글 수정할 부분있으면 고치겠습니다.)

 

 

위문제의 본래 필기 및  답안입니다.

제가 궁금한 선적분은 1번(파란줄)의 값입니다.(저는 저값이 (파이/4) 가 나왔습니다 ㅜㅜ)

혹시나 모범풀이가 틀렸나해서 선적분의 기본정리를 사용한 방법으로 해결했을때는 모범답안과 같은 값이 나오더라구요.  

 

다음검색
현재 게시글 추가 기능 열기

댓글

댓글 리스트
  • 작성자신선물고기 | 작성시간 21.07.27 선생님 풀이에서 애초에 선적분을 피적분함수의 경계부분을 지나가도록 잡은 것은 오류입니다. l1의 경로를 살짝 비틀어서 원점을 돌아가도록 해야하고 이 경우 더 자세히 말씀을 드린다면 위쪽으로 돌아가도록 하시는 것이 그린 정리를 올바로 적용할 수 있는 길입니다.

    두번째로 피적분 벡터장의 앞 부분은 소위 angle form 의 쌍대벡터장입니다. 선적분하면 각의 변화가 됩니다. 그러나 그것을 실제 적분으로 수행할 때는 치환하는 변수의 정역에 매우매우 신경을 써야하기 때문에 번거로운 일입니다. 그것이 각의 변화임을 관찰하실 수 있어야 하겠습니다. 이 부분 고려하셔서 다시 풀어보시기를 권합니다.

    추가적인 질문은 여기에 댓글을 주세요.
  • 답댓글 작성자용용마마 작성자 본인 여부 작성자 | 작성시간 21.07.27 원점을 지나지 않게끔해서 곡선을 다시 잡아봤습니다. 자세하게 다시 풀어봤는데 (답은 파란색밑줄친 선적분값=(-3/4)파이 입니다.) 두리마루님께서도 지적을 잘 해주셨는데 제가 이해를 못했는지,, 답이 자꾸 빙빙돌아서요 ㅠㅠ
    각도가 잘못된건지 ㅜㅜ 곡선을 잘못잡은건지 ㅠㅠ;;;;
    댓글 첨부 이미지 이미지 확대
  • 답댓글 작성자신선물고기 | 작성시간 21.09.23 용용마마 일단 L1, L2, L3 방향을 저렇게 잡으시면 답이 반대로 나오게 되구요. 결론적으로는 -3pi/4 를 얻어서 제대로 계산해도 부호가 반대가 되게 됩니다. 그렇다 손 치더라고 -pi/3 가 얻어져야하는데요 지금 ii 보시면 첫 번째 줄에서 적분식 저런식으로 미분형식 두 개가 들어가면 어색하구요. 그리고 arctan(-1)은 그냥 -pi/4 에요. 그래서 틀린거에요.
  • 답댓글 작성자신선물고기 | 작성시간 21.09.23 용용마마 경로를 이렇게 잡으시는게 아니고 동그랗게 잡으셔야하구요.
  • 답댓글 작성자신선물고기 | 작성시간 21.09.23 용용마마 원점에서 거리가 달라지는 부분을 선분으로 처리하셔야 하는거에요.
댓글 전체보기
맨위로

카페 검색

카페 검색어 입력폼