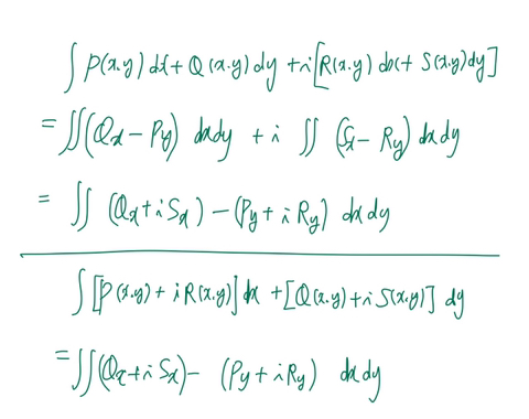
[복소 해석학]복소에서 그린정리 작성자만이할수있다|작성시간22.05.30|조회수772 목록 댓글 2 글자크기 작게가 글자크기 크게가 안녕하세요 교수님그린정리를 사용할때 P,Q가 복소함수일때도 적용할수있는지 궁금합니다. 밑에 초록색부분은 증명해본건데, 시험에서도 증명없이 바로 적용가능할까요.?감사합니다. 다음검색 현재 게시글 추가 기능 열기 북마크 공유하기 신고 센터로 신고 댓글 댓글 2 댓글쓰기 답글쓰기 댓글 리스트 작성자신선물고기 | 작성시간 22.05.30 가능합니다. 답댓글 작성자만이할수있다 작성자 본인 여부 작성자 | 작성시간 22.05.30 감사합니다!! ㅎㅎ 댓글 전체보기