CAFE

[갈루아 이론]파이널모고 2회 B10

작성자스리|작성시간22.10.10|조회수83 목록 댓글 2

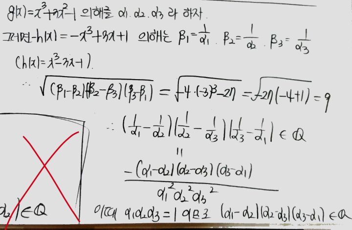
초록색 밑줄친 문제를 다음과 같이 풀어도 괜찮은가요?

다음검색
현재 게시글 추가 기능 열기

댓글

댓글 리스트
  • 작성자심대원 | 작성시간 22.10.11 네 괜찮습니다.
  • 답댓글 작성자스리 작성자 본인 여부 작성자 | 작성시간 22.10.11
    댓글 이모티콘
댓글 전체보기
맨위로

카페 검색

카페 검색어 입력폼