CAFE

[필기] 시험 준비

Re: 미분 적분 ㅠㅠ

작성자잃어버린세대|작성시간21.01.29|조회수1,127 목록 댓글 1
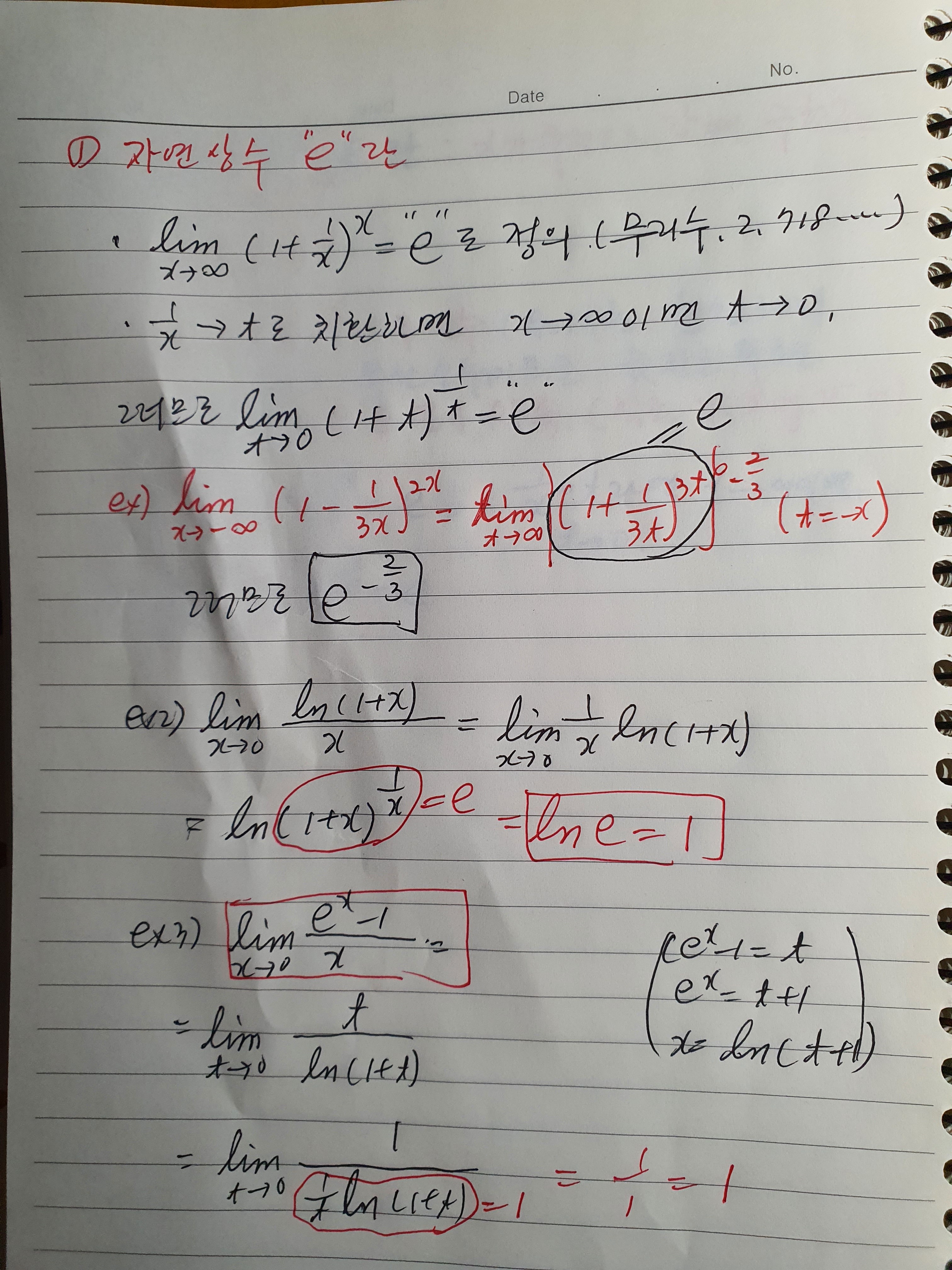
무리수인 자연상수 e에 대한 정의식입니다.

 

 

요것은 초월함수 도함수 2가지에 대한 내용입니다. 도함수의 정의를 잘 모르시는 경우에는 맨 마지막 4번항은 풀기 어렵고 또 상수항을 미분하면 외 0 인지 헤깔리실듯합니다. 둘다 매우 많이 사용하는 것입니다. 결과도 결과이지만 과정을 잘 보시고 판단하심이 어떨런지요?. 미분은 먼저 함수=>함수극한=>평균변화율=>미분계수=>도함수의 단계적인 과정입니다. 이중에서 결과만 딱 떼어서는 암기만 되어버려서 응용이 안됩니다. 그리고 암기량이 엄청나게 늘어날듯합니다.

보시다시피 미분은 평균변화율의 함수 극한값이므로 함수극한을 잘 모르시면 이해가 어려울듯합니다

모든 미분은 저 도함수 정의로 증명합니다. 적분은 증명이 없습니다.적분은 그래서 쉬운 반면에 미분이 어렵습니다.단 삼각함수는 미분은 쉬워도 적분이 어렵습니다.그리고 요 기본단계가 잘 안되면 절대 미분방정식은 이해하기 어려울듯합니다.

제가 보기에는 저도 초보이지만 수학이 어느정도 준비되면 다른 모든 시험 보시는데 공학계열은 어려움 없으실듯합니다.

다음검색
현재 게시글 추가 기능 열기

댓글

댓글 리스트
  • 작성자낭만고양 | 작성시간 21.01.29 답변 감사합니다~^^
댓글 전체보기
맨위로

카페 검색

카페 검색어 입력폼