CAFE

[필기] 시험 준비

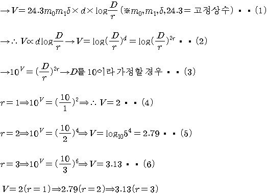
[전력공학]코로나 임계전압 r? re ? d?

작성자우왕우왕|작성시간15.09.10|조회수1,837 목록 댓글 3

복도체 다도체 적용하면
인덕턴스구하는 식의 re등가반지름를
코로나 임계전압 구하는 식의 r에도 대입하면 되나요?
같다면 코로나 임계전압구하는식의 전선의 지름은 d=2*re가 되나요?

항상 도움 주셔서 감사합니닷!

다음검색
현재 게시글 추가 기능 열기

댓글

댓글 리스트
  • 작성자사시랑이 | 작성시간 15.09.11 안녕하세요..답변드립니다.

    모두 같은 반지름입니다.
  • 답댓글 작성자우왕우왕 작성자 본인 여부 작성자 | 작성시간 15.09.11 복도체 다도체 적용하면
    인덕턴스구하는 식의 re등가반지름를
    코로나 임계전압 구하는 식의 r=re라는 말씀이시죠?
    같 코로나 임계전압구하는식의 전선의 지름은 d=2*re가 되는거네요?
  • 답댓글 작성자우왕우왕 작성자 본인 여부 작성자 | 작성시간 15.09.11 우왕우왕 모두 같은 반지름이 r=re=d 이말씀이신가요?
댓글 전체보기
맨위로

카페 검색

카페 검색어 입력폼