CAFE

[전자기학]11p 쿨롱상수에 대해 여쭙습니다.

작성자수빙의빛남|작성시간16.07.06|조회수913 목록 댓글 3

사실은 기초하다가 잘 몰라서 질문 드립니다.


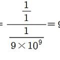
"k=1/4파이x공기중유전율" 이 어떻게 9x10^9로 도출되는지 알고 싶습니다.


"1/(4파이x10^-9/36파이)" 이면 "1/(10^-9/9)" 로 되는 것 까진 이해를 했는데 


분수계산을 어떻게 해야 9x10^9으로 나오는 지 모르 겠습니다.


강의 설명중 1/10^-9이 왜 10^9이 되는것도 의문이구요


너무 산수적 개념이 부족해서 부끄럽네요


자세한 답변 부탁드립니다.

다음검색
현재 게시글 추가 기능 열기

댓글

댓글 리스트
  • 작성자어리버리벗어날거야 | 작성시간 16.07.06 이렇게 하면 이해되실까요?? 댓글 첨부 이미지 이미지 확대
  • 답댓글 작성자수빙의빛남 작성자 본인 여부 작성자 | 작성시간 16.07.06 답변감사합니다 죄송하지만 4파이엡실론이 어떻게 9x10^9으로 변하는지 중간과정이 궁금합니다.
  • 작성자어리버리벗어날거야 | 작성시간 16.07.06 엘실론 제로 가 10^-9 / 36파이 입니다. 그래서 앞의 4파이와 곱해지면서 위와 같은 식이 됩니다.
댓글 전체보기
맨위로

카페 검색

카페 검색어 입력폼