CAFE

[회로이론][전력공학+회로이론 질문] 콘덴서 델타 와이결선 등등 질문합니다.!

작성자공부합시다!|작성시간19.07.24|조회수6,152 목록 댓글 1

교수님 안녕하세요!

공부하는 도중에.. 궁금한점 올립니다..

질문이 맞는지? 잘 모르겠습니다...

1.콘덴서의 정전용량(µF)과 저항(Ω)은

 델타결선이나 와이 결선으로 연결한다고 변하지 않는것인가요?

ex)

Δ결선한 콘덴서 하나의 정전용량이 20µF라고 했을 때

Y결선하면 60µF로 바뀌지 않는거죠..?


2.그렇다면 Δ결선 20µF 콘덴서와 Y결선 60µF의 관계는

공급 전압이 일정하다고 했을 때




이렇게 이해해도 되는 부분인가요??





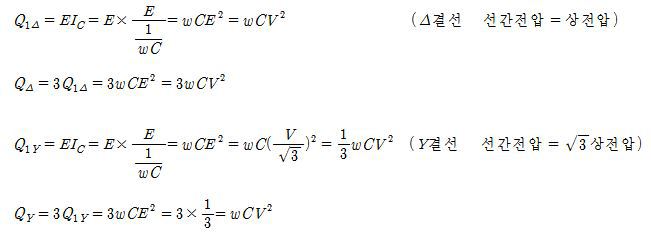
3.콘덴서의 Δ/Y 충전용량[kVA]가 3배 차이 나는것은(전력공학50P)

공급 전압 공급전류콘덴서의 용량일정할 때 성립되는 것인 맞나요?!


4.콘덴서의 Δ,Y의 용량[kva] 구하는 공식을 유도해봤는데 이렇게 이해해도 될까요? 


Ic = 콘덴서의 충전 전류


5.콘덴서의 충전용량[KVA]이 역률 개선시 필요한 콘덴서의 용량인가요?



6.콘덴서 충전용량[KVA]에 역률 (COSΘ)을 곱하면 역률을 개선하기 위해 부하에 병렬로

연결된 콘덴서가 실제로 역률을 개선 할 때 소비되는 소비전력[KW]이 되는건가요..?




7.회로이론에서 델타 와이 등가 변환에서 Y/Δ의 소비전력은 1/3배 라고 하는데

이때는 전압 전류 임피던스중

어떤 조건을 동일하다고 놓고 계산해야 하는건가요?? 




다음검색
현재 게시글 추가 기능 열기

댓글

댓글 리스트
  • 작성자사시랑이 | 작성시간 19.07.25 안녕하세요...답변드립니다.


    1. 해당 값은 변하지 않는다는 가정하에 결선을 달리한 것입니다

    즉, 모든 조건을 동일하게 하고, 결선만을 바꾼 것입니다.


    2. 네..맞습니다. 즉, y결선으로 변경하여 동일한 용량을 얻기 위해서는 c값을 3배로 해야 한다는 뜻입니다.


    3. 맞습니다.


    4. 바르게 유도하셨습니다.


    5. 맞습니다.


    6. 콘덴서 충전용량은 모두 무효전력 성분입니다.

    무효전력 성분에 역률을 곱하는 것은 의미가 없습니다.

    피상전력 * 역률 = 무효전력이며, 콘덴서 용량은 원하는 역률로 원하는 유효전력을 공급하기 위한 무효전력값입니다.


    7. 전압과 전류가 동일한 상태에서 임피던스의 결선만을 바꾼 것입니다
댓글 전체보기
맨위로

카페 검색

카페 검색어 입력폼