CAFE

[필기] 타교재 질문

전기기기 유도전동기 효율관련 질문입니다.

작성자오십반|작성시간14.03.13|조회수894 목록 댓글 1

 

 

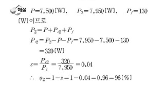
전동기효율=출력/출력+손실

이 식으로해서

7500/7500+130+320=94가 나오는데

이 식으로는 왜 안푸는건가요?????

다음검색
현재 게시글 추가 기능 열기

댓글

댓글 리스트
  • 작성자이영준 | 작성시간 14.03.13 유도기 문제는 슬립이 필수라고 생각하시면 됩니다..2차 주파수 2차전압 모두 슬립의 영향을 받습니다
댓글 전체보기
맨위로

카페 검색

카페 검색어 입력폼