CAFE

[필기] 타교재 질문

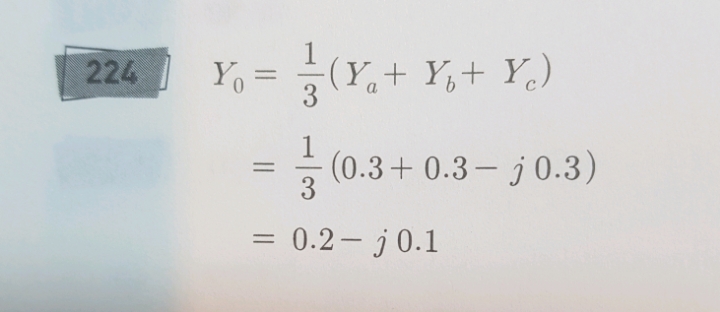
영상 어드미턴스 구하기 질문입니다

작성자기사기사화이링|작성시간19.07.26|조회수1,163 목록 댓글 2

답지를 보면 유도 서셉턴스가 음수입니다
유도성리액턴스는 보통 +로표기하지않습니까?
왜이랗게 되는건가요

다음검색
현재 게시글 추가 기능 열기

댓글

댓글 리스트
  • 작성자호호홍 | 작성시간 19.07.27 리액턴스 역수 = 서셉턴스
    따라서
    +1리액턴스 = -1서셉턴스
  • 답댓글 작성자기사기사화이링 작성자 본인 여부 작성자 | 작성시간 19.07.27 감사합니다
댓글 전체보기
맨위로

카페 검색

카페 검색어 입력폼