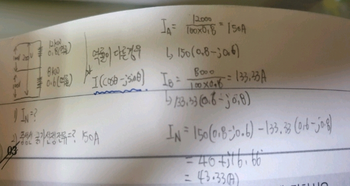
파란색으로 밑줄친부분에서 하나는 마이너스고 하나는 플러스해서 푸는데 차이가 무엇인가요?
저같은경우에는 전류크기는 마이너스로 다 풀었는데 2번째사진경우에도
마이너스로 풀어도 되나요?(마이너스로 풀면 답은 일치하나 풀이과정에서 부호가다름)
도와주시면 감사하겠습니다.
다음검색
파란색으로 밑줄친부분에서 하나는 마이너스고 하나는 플러스해서 푸는데 차이가 무엇인가요?
저같은경우에는 전류크기는 마이너스로 다 풀었는데 2번째사진경우에도
마이너스로 풀어도 되나요?(마이너스로 풀면 답은 일치하나 풀이과정에서 부호가다름)
도와주시면 감사하겠습니다.