CAFE

IIR 필터 (Lecture #16 IIR Filters)

작성자한창호|작성시간15.02.26|조회수2,386 목록 댓글 0

 

 

 

1. 수업 내용

 

무한 임펄스 응답 (Infinite Impluse Response) 시스템은 입력신호와 이미 출력된 신호를 이용하는 귀환(feedback) 시스템이라고 한다.  또는 재귀적(recursive) 필터라고도 한다.

IIR 필터의 z-변환 시스템 함수는 z-평면에서 영이 아닌 위치에 극점과 영점이 있는 유리 함수이다.

 

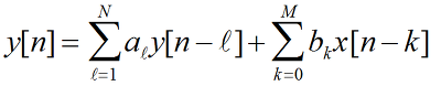
* 일반 IIR 필터

 

 

 

 

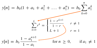
* 1차 IIR 필터 (임펄스 응답의 무한 반복)

 

 

예) IIR필터의 계수가 a1=0.8, b0=3, b1=-2 일 때 출력을 구하시오.

 

<초기 정지 조건>  (initial rest condition)

1. x[n]=0,  n<n0

2. y[n]=0,  n<n0

 

예) IIR 시스템의 계수값들이 a1=0.8, b0=5, b1=0 일 때 입력신호가 다음과 같다면 출력 신호를 구하시오.

 

 

 

출력 신호는 다음과 같이 계산된다.

 

 

 

 

 

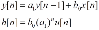
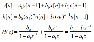
* 1차 IIR 시스템의 임펄스 응답

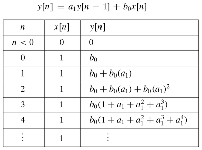
임펄스 응답의 성질을 보여주기 위해 b1=0인 1차 재귀적 차분 방정식을 고려한다.

 

 

임펄스 응답은 x[n]=delta[n]을 입력으로 해서 구할 수 있다.

 

 

 

 

위 표의 계산을 통해 다음과 같이 임펄스 응답이 구해진다.

예) 전형적인 임펄스 응답

 

 

 

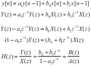
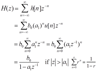
* 1차 IIR 시스템의 z 응답

z응답의 다항식은 다음과 같다. u[n]으로 다음과 같이 간략하게 기술된다.

 

 

 

다음은 b1계수가 존재할 때 H(z)를 구해보자.

 

또 다른 방법으로 지연특성을 이용하여 z-변환을 먼저하고 H(z)를 구해보자.

 

 

여기서 영점과 극점을 구한다.

 

 

 

 

 

 

 

* 1차 IIR 시스템의 계단 응답 (step response)  x[n]=u[n]일 때

 

 

등비수열(geometric sequence)을 이용해서 다음과 같이 정리할 수 있다. (http://ko.wikipedia.org/wiki/%EB%93%B1%EB%B9%84%EC%88%98%EC%97%B4)

 

 

 

 

2. 실습

 

 

3. Quiz

 

4. 숙제:

 

 

다음검색
현재 게시글 추가 기능 열기

댓글

댓글 리스트
맨위로

카페 검색

카페 검색어 입력폼