선형보간법과 라그랑주 보간법의 차이
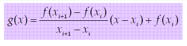
* 선형보간법
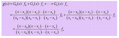
* 라그랑주 보간법
라그랑주 다항식은 라그랑주 형식에서 데이터 포인트의 주어진 집합으로부터 다항식을 보간하는 방법으로, 조제프루이 라그랑주의 이름에서 왔다. 이것은 1779년 에드워드 웨어링에 의해 처음으로 발견되었고, 1783년에 레온하르트 오일러에 의해 마지막으로 재발견되었다.
k + 1 데이터 포인트의 주어진 집합이 다음과 같이 있다.

이때 라그랑주 형식의 보간 다항식은 다음과 같이 표현할 수 있다.



![]()
이 그림은 네개의 점((−9, 5), (−4, 2), (−1, −2), (7, 9))에 대하여 (입방체의) 보간 다항식 L(x) (검정)을 보여준다. 이것은 크기가 변형된 기초 다항식 (y0ℓ0(x), y1ℓ1(x), y2ℓ2(x) 그리고 y3ℓ3(x))의 합이다. 보간 다항식은 4개의 모든 컨트롤 포인트를 지나고, 각각 크기가 변형된 기초 다항식은 그것들 각각의 컨트롤 포인트를 지나고 x가 다른 세개의 컨트롤 포인트에 부합되는 곳에서 0이다.
다른 표현:
(n+1)개의 점을 지나는 n 차 이하 보간 다항식 이 다음과 같다고 정의해 보자.
pn(x) = L0(x)a0 + L1(x)a1 + … + Ln(x)an
Lagrange 보간 다항식: pn(x) = L0(x)f(x0) + L1(x) f(x1) + … + Ln(x) f(xn)
참고
https://ko.wikipedia.org/wiki/%EB%9D%BC%EA%B7%B8%EB%9E%91%EC%A3%BC_%EB%8B%A4%ED%95%AD%EC%8B%9D
http://www.earthlove.co.kr/NM3/inst/IP_Lagrange.pdf (
IP_Lagrange.pdf)