CAFE

질문과답변

정현파(sine wave)

작성자0933205|작성시간12.03.14|조회수452 목록 댓글 0

 

사인파라고도 하며, 이 파장의 형태는 고주파가 없기 때문에 교류파형의 가장 기본적인 형태이다. Sin θ의 값을 θ=0~360도에 걸쳐 그려서 표현한 것과 파형의 모양이 같은 것에서 이름이 유래되었으며, 음의 톤은 순수하면서 단조로워 방송에서 시간을 알리는 음으로 사용되고 있다. 악기 중에는 플루트 소리가 정현파에 가깝다.

 

시간 t와 함께 x방향으로 나아가는 사인파는

 

로 줄 수 있다.

여기서 A : 진폭, ω : 각 주파수, υ : 파의 위상 속도, δ : 처음 위상, k=ω/υ=2π/λ: 위상 상수(λ : 파장).
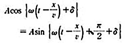
코사인 함수로 표시되는 파

 

는 단지 처음 위상이 다른 것 뿐이므로 이것도 당연히 사인파이다. 또 복소 표시

 

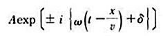
로 표시되는 파도 사인파라 한다.

다음검색
현재 게시글 추가 기능 열기

댓글

댓글 리스트
맨위로

카페 검색

카페 검색어 입력폼