CAFE

수학

절댓값 푸는법 (절댓값의 등식과 부등식을 푸는 요령)

작성자totari|작성시간13.03.25|조회수1,541 목록 댓글 0

(※ 이 포스팅에 나오는 절댓값은 전부 실수범위 내에서 이루어 지는 것입니다. 대학교에서 배우는 허수의 경우에는 얘기가 완전 틀려져요~)


등식과 부등식에서 절댓값을 푸는 요령을 알아봅시다.

옆에서 말하는 것처럼 절댓값은 사실 거리의 개념입니다. 그래서 절댓값은 항상 양수가 됩니다.

예)

0에서 -2까지의 거리는 = l-2-0l = l-2l = 2

2에서 0까지의 거리는 = l0-2l = l-2l = 2

3에서 4까지의 거리는 = l4-3l = l1l = 1




SKA' 등식풀기



등식을 푸는 요령은 상당히 많이 헷갈리고 또 많이 틀리는 부분중에 하나입니다.



라는것은 초등학생도 풀 수 있지만,



문제는 이렇게 절댓값안에 미지수가 들어있을 때입니다.

대부분의 학생들이 여기서 문제를 틀리는 이유는



라고 풀기 때문입니다.

여기서는 미지수 a가 0보다 클때와 작을때를 구분해서 문제를 풀어야 합니다.


i) a가 0보다 클때에는 절댓값은 그냥 그대로 풀립니다.



ii) a < 0, a가 0보다 작을 때에는 절댓값은 -를 붙여서 나옵니다.



왜 절댓값인데 (-)를 붙여야 하는지를 이해하지 못하는 친구들이 많은데

a 가 -2 라고 가정하고 절댓값을 풀어봅시다.



SKA' 절댓값 연산의 몇가지 성질들


- 절댓값은 항상 0보다 크거나 같습니다.

- 절댓값의 곱은 곱의 절댓값과도 같습니다.

- 절댓값의 제곱은 그냥 제곱과도 같습니다. (-부호가 없어지므로)

- 절댓값의 나눗셈은 나눗셈의 절댓값과도 같습니다.


SKA' 절댓값의 부등식



절댓값의 부등식을 푸는 원칙적인 방법은 절댓값 기호 안에 미지수가 0보다 클때와 작을때를 나누어서 계산하여야 하는것인데, 간단한 부등식일 경우에는 그렇게 푸는것보다 빨리 푸는 방법이 있습니다.

우선 절대값 기호를 벗기면서 우변에 +와 -를 붙여준다음,

부등호의 방향에 따라 아래와 같이 구간을 적용시켜주면 됩니다.


기억하세요!!

절댓값 기호가 있는쪽이 클 경우에는 큰것보다 크거나 작은것보다 작다. (합집합)

절댓값 기호가 있는쪽이 작을 경우에는 작은것보다 크고, 큰것보다 작다. (교집합)


일때, ① 절댓값 기호를 벗기면서 3에다가 +와 - 기호를 붙여주면 +3과 -3이 됩니다.

② 절댓값 기호가 있는 쪽이 크기 때문에 미지수 a는 큰것보다 크거나 작은것보다 작은것이 되네요.

③ 큰것이 +3이고, 작은것이 -3이므로 절댓값의 부등식은 아래처럼 풀립니다.


반대로,

일때, ① 절댓값 기호를 벗기면서 3에다가 +와 - 기호를 붙여주면 +3과 -3이 됩니다.

② 절댓값 기호가 있는 쪽이 작기 때문에 미지수 a는 작은것보다 크고, 큰것보다 작네요.

③ 큰것이 +3이고, 작은것이 -3이므로 절댓값의 부등식은 아래처럼 풀립니다.


부등호는 주어진 조건과 동일한 것을 사용하면 됩니다.


SKA' 절댓값 부등식의 응용문제


약간 응용한 문제



, 이때는 a-3을 하나의 미지수로 보고 문제를 풀면 됩니다.

① 절댓값 기호를 벗기면서 2에다가 +와 - 기호를 붙여주면 +2과 -2가 됩니다.

② 절댓값 기호가 있는 쪽이 작기 때문에 미지수 (a-3)은 작은것보다 크고, 큰것보다 작네요.

③ 큰것이 +2이고, 작은것이 -2므로 절댓값의 부등식은 아래처럼 풀립니다.

④ 부등식의 세변에 3을 더해주게 되면,


부등호의 방향에 따라서 위와 같이 푸는 방법은 이차부등식을 풀때에도 많이 유사하기 때문에 익혀두는 것이 좋습니다.

하지만 이것보다 약간 더 응용된 문제는 위와 같이 문제를 풀 수 없고, 부등식의 원칙적인 해법으로 돌아가야합니다.


약간 더 응용한 문제



여기서 부터는 위에서 사용한 방법을 사용하면 안됩니다.

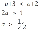
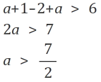
① a-3 ≥ 0 일 경우, a ≥ 3 이고(교집합)

부등식은,

조건과의 교집합은, a ≥ 3


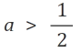
② a-3 < 0 일 경우, a < 3 이고(교집합)

부등식은,

조건과의 교집합은, 1/2 < a < 3


이제 해를 구할때에는 ①과 ②의 합집합을 구해야 합니다.


약간 더 응용한 문제



절댓값이 두군데 붙어있는 문제는 구간을 3개로 쪼개야 합니다.

절댓값이 0이 되게 하는 a의 값 -1과 2를 구하고 수평선에 점 두개를 찍어 구간을 나누면 오른쪽 그림과 같습니다.



① 구간은 a의 값이 -1보다 작으므로, (a에다가 -1보다 작은 값을 대입해보고 절댓값 내부가 음인지 양인지 판단하면 쉽습니다.)

-2를 넣어볼까요?

-2 +1 < 0, 2-(-2) >0


② 구간은 a의 값이 -1보다 크거나 같고 2보다 작은 구간입니다. 0을 넣어볼까요?

0+1 > 0, 2-0 >0


③ 구간은 a의 값이 2보다 크거나 같을 때입니다. 3을 넣어봅시다.

0+3 >0, 2-3<0


①,②,③ 의 합집합은,


 

 

http://gtska.com/276

 

다음검색
현재 게시글 추가 기능 열기

댓글

댓글 리스트
맨위로

카페 검색

카페 검색어 입력폼