네이버에서 검색해보면..
내삽법(內揷法)이라고도 한다. 실변수 x의 함수 f(x)의 모양은 미지이나, 어떤 간격(등간격이나 부등간격이나 상관없다)을 가지는 2개 이상인 변수의 값 xi(i=1,2,…,n)에 대한 함수값 f(xi)가 알려져 있을 경우, 그 사이의 임의의 x에 대한 함수값을 추정하는 것을 말한다. 실험이나 관측에 의하여 얻은 관측값으로부터 관측하지 않은 점에서의 값을 추정하는 경우나 로그표 등의 함수표에서 표에 없는 함수값을 구하는 등의 경우에 이용된다. 가장 간단한 방법으로서는, 변수를 x좌표, 그 변수에 대한 기지 함수값을 y좌표로 하는 점들을 이어 곡선을 그어, 구하고자 하는 함수값을 구하는 방법이다.
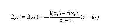
또 함수의 전개를 이용하여 변수 x0,x1의 근방에서 함수 f(x)를 근사적으로 나타내는 식

에 의하여 구할 수 있다. 이것이 간단한 보간공식인데, 비례부분 또는 선형보간이라고 한다. x0,x1을 로그표나 삼각함수표에서와 같이 그 사이의 간격을 충분히 작게 해 놓았으므로 선형보간이 이용된다. 더욱 엄밀한 계산을 하기 위해서는 I.뉴턴의 보간공식을 사용한다. 보간법에 대하여 x1과 xn의 바깥쪽에 있는 임의의 x에 대한 f(x)의 근삿값을 구하는 방법을 외삽법(外揷法) 또는 보외법(補外法)이라 한다.
----------------------------------------------------------------------------------------------------------------------
이라고 설명은 나오는데 잘 이해가 안되서요
대략 비례식 방법으로 두 값사이의 임의의 수치를 구하는 것 같긴 한데요