CAFE

♣ EXCEL실무활용

IRR()함수

작성자朱黃圭실장|작성시간10.02.13|조회수1,709 목록 댓글 0

IRR()함수


 

 어느 투자안의 경제성(즉 이거 돈되는 일인가 아닌가)을 평가하는데는 여러 방법이 있습니다. 구체적으로 회계적 이익률법, 회수기간법 그리고 앞서 배운 NPV(순현가법)나 이번에 배울 IRR등이 있습니다.

 

IRR(values,guess)

 

1. IRR함수란?

 

내부수익율(Internal Rate of Return : IRR)이란 투자에서 기대되는 현금유입의 현가와 현금유출의 현가를 같게 하는 할인율입니다. 즉 들어올 미래의 현금과 나가는 현금의 가치를 일치시켜주는 할인율을 찾는 것이죠. 그러므로 IRR()함수를 사용하면 얻어지는 것은 ~%라는 결과를 얻게 되겠죠.

 

 

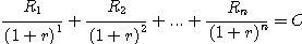
위의 수식에서 보면 R1 , R2  ,…, Rn이 현금유입이며 C는 현재시점에서의 현금유출입니다. 이때 우리가 구하고자 하는 것은 r입니다. 이런 고차원 방정식을 r에 대해 정리할 수는 없으므로 통상적으로는 수치해석적인 방법으로 구합니다. 아마 엑셀도 그런 방식으로 해를 구할 것으로 생각됩니다.

 

2.매개변수

 

- values


내부수익률을 구하기 위한 수치데이타가 입력된 배열 또는 셀의 주소입니다. NPV와는 달리 직접 수치를 컴마로 구분하여 넣지 않습니다.

 

- guess


옵션으로서 IRR계산시에는 반복하여 값을 넣어보고 틀리면 다시 넣는 방식인데 이를 지정하면 guess에서 시작하여 결과가 0.00001% 이내의 오차 범위에 들어올 때까지 반복합니다. 20번 이상 반복 후에도 결과값을 찾지 못하는 경우 #NUM! 오류값을 표시합니다. 통상 사용하지 않습니다.

 

3.예 

 

엑셀도움말의 예를 보시죠. 식당을 개업한다고 가정할 때, 사업을 시작하는데 7,000,000가 소요되며 5년 사이에 1,200,000, 1,500,000,1,800,000, 2,100,000, 2,600,000의 순이익을 기대합니다.

 

B1:B6에는 각각 -7,000,000, 1,200,000, 1,500,000, 1,800,000, 2,100,000, 2,600,000이 저장됩니다.

 

4년 후의 투자 내부 수익율을 구하면 다음과 같습니다.


IRR(B1:B5) = -2.12 %

 

5년 후의 내부 수익율을 구하면 다음과 같습니다.


IRR(B1:B6) = 8.66 %

 

2년 후의 내부 수익율을 구하려면 guess를 지정합니다.


IRR(B1:B3,-10%) = -44.35 %

 

4. NPV와의 관계

 

가장 흥미로운 대목입니다. IRR 함수는 순 현재 가치 함수 NPV와 밀접한 관계가 있습니다. IRR에 의해 계산되는 내부 수익률은 순 현재 가치 0에 해당하는 이율입니다.

 

지난 시간의 두 번째 예를 한 번 보죠. 거기에서 현금흐름은 -1000000, 300000,420000,680000이었습니다. 이는 R1,R2등의 현금흐름이죠.

 

그리고 그때의 현가는 118844이었습니다. 이는 irr에서는 C에 해당하죠. 아래의 수식을 한번 보시죠

 

 

 

 

처음 소개한 IRR식과 비교하면 차이가 없습니다. 즉

 

 

 

입니다.

 

이를 IRR함수로 표현하면 다음과 같습니다.
B3:B7에 -118844,-1000000,300000,420000,680000이 입력되어 있다면
=IRR(B3:B7)=10.00%

 

NPV와 IRR의 관계를 알려주는 또하나의 예는 도움말에 있습니다.


NPV(IRR(B1:B6),B1:B6) = 3.60E-08
(IRR의 허용 오차 범위를 고려하면 3.60E-08 값은 실제로 0입니다.)


같은 현금흐름을 가지고 구한 할인율 즉IRR(B1:B6)으로 NPV를 할인하여 계산한다면 0이 나옵니다.

지난 시간까지는 수작업과 엑셀펑션과의 비교를 위해 부록으로 엑셀파일을 두었는데 오늘은 함수특성상 엄두가 나질 않는군요

 

 함수를 사용않는다면 반복적인 수치해석절차가 필요한데, 이는 재무함수의 범위는 벗어나기 때문이죠.

 

다음검색
현재 게시글 추가 기능 열기

댓글

댓글 리스트
맨위로

카페 검색

카페 검색어 입력폼