CAFE

통계 관련 토론방

엑셀과 Web-R로 해보는 ANOVA 1 - 에러바가 있는 barplot 그리기

작성자김브링이|작성시간16.05.10|조회수889 목록 댓글 0

이곳에 있는 ANOVA 내용을 엑셀과 Web-R로 해본 것입니다.

https://onlinecourses.science.psu.edu/stat502/node/138


1. 엑셀에서 에러바 그리기

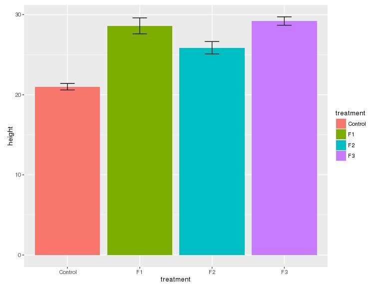
3종류의 비료를 적용한 식물들의 성장도를 ANOVA를 통해 분석해보겠습니다. 각 열들은 각각 3종류의 비료를 적용하여 기른 식물들의 높이를 측정한 데이터입니다. Control열은 아무 비료도 사용하지 않고 키운 식물의 높이 데이터입니다.


평균이 계산된 셀을 마우스로 위와 같이 선택합니다.


평균 셀을 선택한 상태에서 묶은 세로 막대형 그래프를 생성해줍니다.



생성된 그래프를 선택한 상태에서 기타 오차 막대 옵션으로 들어갑니다.



양의 오류 값으로 표준오차가 계산된 셀을 블록 선택합니다.


음의 오류 값으로 표준오차가 계산된 셀을 블록 선택합니다.


그러면 이렇게 그래프가 나타나는 것을 볼 수 있습니다. 오른쪽에 있는 계열1은 선택하여 제거 하고 하단의 라벨을 바꾸도록 합니다.



하단의 라벨 박스를 선택 후 마우스 오른쪽 클릭하고 데이터 선택 옵션을 누릅니다.


여기서 위와 같이 편집 버튼을 누릅니다.


축 레이블 범위를 위와 같이 선택하면 됩니다.


최종적으로 위와 같은 그래프가 나옵니다.


2. Web-R에서 에러바 그리기


Web-R에서 같은 데이터를 사용하기 위해서 위와 같이 형태를 변환해주고 CSV 형태로 사용할 폴더에 저장해줍니다.


http://45.118.135.113:3838/ggplot2m/

Web-R ggplo2 메뉴에 접속합니다.


Choose File을 선택하고 저장한 파일을 선택해줍니다.


선택한 파일의 업로드가 완료되면 하단의 uploaded file 라디오 박스가 하나 더 생기는데 이것을 선택합니다.


업로드한 파일의 데이터 구조도 확인 할 수 있습니다.


하단 옵션에서 위와 같이 선택을 해줍니다. 왼쪽을 먼저 설정해주고 오른쪽에서 bar 체크 박스를 선택하고 나머지를 설정 해줍니다.



여기까지 했으면 막대 그래프가 이렇게 나오게 됩니다. 여기에 엑셀에서 해보았던 오차 막대를 추가해보겠습니다.


errorbar 체크 박스를 선택하고 autocalculate sd, se 버튼을 클릭합니다.


생성했던 막대 그래프에 오차 막대가 추가된 것을 볼 수 있습니다.

다음검색
현재 게시글 추가 기능 열기

댓글

댓글 리스트
맨위로

카페 검색

카페 검색어 입력폼