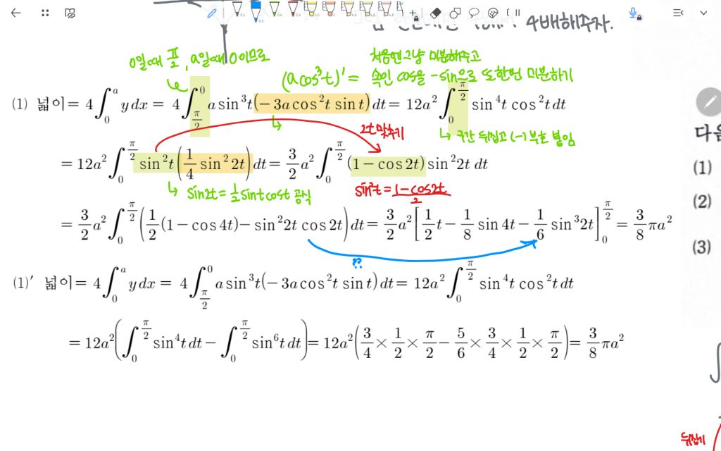
ㅎㅊㅈ 과제문제 단순계산 도와주세요 ㅜㅜ 작성자이디야허니브레드|작성시간26.04.02|조회수160 목록 댓글 2 글자크기 작게가 글자크기 크게가 혹시 파란부분이 왜 저렇게 되는지 아시나요 ..? 다음검색 현재 게시글 추가 기능 열기 북마크 공유하기 신고 센터로 신고 댓글 댓글 2 댓글쓰기 답글쓰기 댓글 리스트 작성자Harang | 작성시간 26.04.02 그 항만 sin(2t) 를 u로 치환해서 치환적분 한 것이라 보면 되지 않을까요? du = 2 cos(2t) dt 니까.. 작성자수학맨 | 작성시간 26.04.02 윗 분 말처럼 치환해도 되고 지금 식 sin^2 2t cos2t 는 원함수가 바로 보이는 경우라 원함수 1/6sin^3 2t 찾아서 바로 계산하시면 될 것 같네요 댓글 전체보기