CAFE

☞ 화학 (비댓 금지)

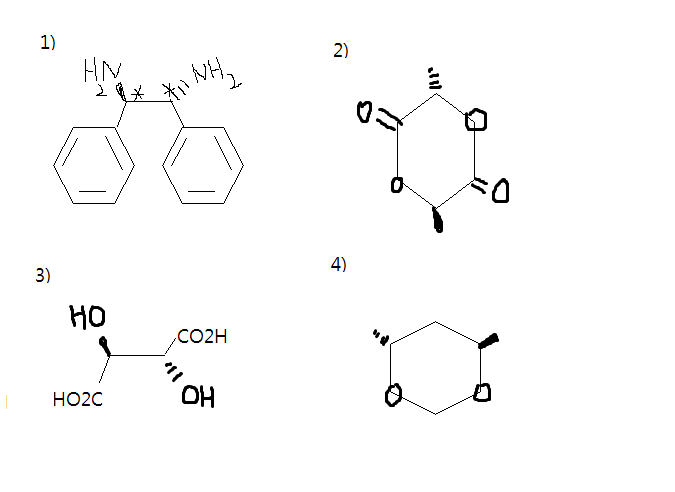
유기-메조화합물 구분.

작성자화학선생님|작성시간12.06.21|조회수5,272 목록 댓글 11

존경하는 화학쌤들, 문제를 풀다가. 계속 헷갈려서 여쭤봐요오.ㅠ

ㅠㅠ 유기 입체화학 파트에서. 메조화합물 구분하는 거 있잖아요,,

분자내 대칭면이 존재하면 카이랄이어도,

광학비활성이 되는거요,,, 근데, 분자내 대칭면 찾기가 어렵네요, 제 생각과는 다른 답들이 자꾸만.ㅠㅠ

그래서 비슷한 유형인데, 헷갈린 애들 질문드려요,ㅠ

캠드로우로 예쁘게 그리고 싶었으나, 다운로드 불가라..ㅠㅠㅠ 허접하게 그림판으로다가,,

 

1번은, 대칭면이 없기 때문에 카이랄화합물이래요,ㅠ

2번은  또 메조화합물이라네요,ㅠㅠ 에휴

3번, 4번도 한없이 헷갈립니다. ㅠㅠ 1,2,3,4번 설명 좀 해주세요,

 

다음검색
현재 게시글 추가 기능 열기

댓글

댓글 리스트
  • 답댓글 작성자아하! | 작성시간 12.06.22 분자를 거울로 쪼게신다 생각하시고 거울에 비친 쪽과 원래 쪽이 같은지 다른지 보시면 될 것 같아요.

    대칭요소로 시그마 h, 시그마 v, 시그마 d, 등등이 존재하는지 찾아보는 거랑 같은....

    문제 자체가 분자내 거울면이 존재하지 않는 화합물들중 매조 화합물 찾는 그런 문제인것 같네요 ㅎ;
  • 작성자화학여신. 작성자 본인 여부 작성자 | 작성시간 12.06.22 늦은시간에 소중한 답변들 너무감사합니다 ㅠ 뭔가알것같다는 ㅋ ㅋ 복받으실거에용 ㅋ
  • 답댓글 작성자아하! | 작성시간 12.06.22 악! 자다가 문득 답변이 틀린것 같아서... 다시 일어 났어요...
    3번의 경우는 한쪽 COOH 작용기를 반대로 틀면 대칭면이 존재한다고 볼수 있겠네요. 죄송합니다... ㅠ
  • 작성자간절히열망하다 | 작성시간 12.06.22 분자내 대칭면이 존재하는 것을 메조라고 하는데요. (물론 거울상을 직접 그려 따져보는게 FM입니다만..^^;ㅎㅎ)
    저같은 경우는 메조는 분자내 대칭면 찾으면 쉽게 나오는거 같아서.. 시그마 결합은 무조건 이리저리 돌려봐야 합니다. 1번의 경우 시그마결합 아무리 돌려도 겹치는 대칭면 없구요, 2번은 대칭면을 꼭 거울면으로 생각하는 오류를 비튼 문제로 중심대칭 i가 분자면으로 작용하는 경우라서 메조 입니다.ㅎ3번은 메조, 4번은 카이랄이 맞는거 같아요^^ㅎ무기에서 배운 점군이랑 같이 보면 카이랄찾기가 좀 수월하더라구요^^ㅎㅎ미즐러랑 참고해보세요~ㅎㅎ
  • 작성자화학여신. 작성자 본인 여부 작성자 | 작성시간 12.06.22 아 아 ㅋ 정말 감사합니다아 ㅋ 미즐러책찾아볼게요 복받으실거에요 ㅎ
댓글 전체보기
맨위로

카페 검색

카페 검색어 입력폼