CAFE

건강하게 살아요

블랙홀(black hole)에 대하여

작성자관운|작성시간16.10.02|조회수168 목록 댓글 3


블랙홀(black hole)에 대하여






블랙홀(black hole)은 강력한 중력으로 인해 입자전자기 복사를 비롯한 그 무엇도 빠져나올 수 없는 시공간 영역이다. 일반상대론은 충분히 밀집된 질량이 시공을 뒤틀어 블랙홀을 형성할 수 있음을 예측한다. 블랙홀로부터의 탈출이 불가능해지는 경계를 사건의 지평선이라고 한다. 어떤 물체가 사건의 지평선을 넘어갈 경우, 그 물체에게는 파멸적 영향이 가해지겠지만, 바깥 관찰자에게는 속도가 점점 느려져 그 경계에 영원히 닿지 않는 것처럼 보인다. 블랙홀은 빛을 반사하지 않기에 이상적 흑체처럼 행동한다. 또한 휘어진 시공간의 양자장론에 따르면 사건의 지평선은 블랙홀의 질량에 반비례하는 온도를 가진 흑체와 같은 스펙트럼의 열복사를 방출하며, 이를 호킹 복사라고 한다. 항성질량 블랙홀의 경우 이 온도가 수십억분의 1 켈빈 수준이기에 그 열복사를 관측하는 것은 본질적으로 불가능하다.


중력장이 너무 강해서 빛이 탈출할 수 없는 천체의 개념은 18세기에 존 미첼피에르시몽 라플라스가 처음 생각해냈으며, 블랙홀로 특징지어지는 일반상대론의 최초의 근대적 해는 1916년 카를 슈바르츠실트가 발견했다. 다만 아무것도 탈출할 수 없는 공간상의 영역이라는 해석은 1958년 데이비드 핀켈스타인의 논문에서 처음 등장했다. 블랙홀은 오랫동안 수학적 관심의 대상이 되었다. 1960년대에는 블랙홀이 일반상대론에서 유도됨을 증명하는 이론적 연구들이 행해졌다. 중성자별의 발견은 중력붕괴한 밀집성이 천체물리학적 실체로서 존재할 가능성에 대한 관심을 촉발시켰다.


항성질량 블랙홀은 매우 질량이 큰 항성들이 수명이 다했을 때 붕괴하여 만들어지는 것으로 생각된다. 블랙홀은 형성된 뒤에도 주위의 질량을 흡수하여 성장할 수 있다. 다른 항성을 흡수하거나 블랙홀들끼리 융합하면서 수백만 M에 달하는 초대질량 블랙홀이 형성될 수 있으며, 대부분의 은하의 중심에는 초대질량 블랙홀이 존재한다는 것이 과학계의 일반적인 견해이다.


블랙홀의 안을 들여다볼 수는 없지만, 블랙홀이 다른 물질과 상호작용하는 것을 통해 그 성질을 알아낼 수 있다. 블랙홀 위로 낙하한 물질은 강착원반을 형성하고, 원반은 마찰열로 인해 뜨거워져 열복사로 빛난다. 우주에서 가장 밝은 천체인 퀘이사는 이러한 과정을 통해 만들어진다. 블랙홀 주위를 공전하는 다른 항성이 있을 경우, 그 궤도를 통해 블랙홀의 질량과 위치를 비정할 수 있다. 이러한 관측을 통해 중성자별을 비롯한 다른 유사 천체들을 제외함으로써 천문학자들은 블랙홀 후보들이 포함된 쌍성계를 셀 수 없이 많이 발견해냈고, 우리은하 중심 방향에 존재하는 전파원 궁수자리 A*가 4백 3십만 M의 초대질량 블랙홀임을 밝혔다.


2016년 2월 11일, LIGO 합동연구진은 두 개의 블랙홀이 서로 융합하면서 발생한 중력파를 감지함으로써 역사상 최초의 중력파 관측에 성공했다고 발표했다. 이는 최초의 중력파 관측이며 동시에 최초로 블랙홀 쌍성계 융합이 관측된 사례이기도 하다.


대마젤란운 앞에 블랙홀이 있을 경우를 시뮬레이션한 사진. 중력렌즈 효과로 대마젤란운이 두 개의 확대된, 그러나 매우 왜곡된 상으로 보이게 됨에 주목. 위쪽에 보이는 호선은 우리은하 원반이 마찬가지로 왜곡된 것이다.


질량이 너무 커서 빛조차 탈출할 수 없는 존재에 대한 개념은 존 미첼이 1783년 왕립학회헨리 캐번디시에게 쓴 서한에서 처음 발견된다.

만약 태양과 같은 밀도를 가진 어떤 구체의 반지름이 태양의 500분의 1로 줄어든다면, 무한한 높이에서 그 구체로 낙하하는 물체는 표면에서 빛의 속도보다 빠른 속도를 얻게 될 것입니다. 따라서 빛이 다른 물체들과 마찬가지로 관성량에 비례하는 인력을 받게 된다면, 그러한 구체에서 방출되는 모든 빛은 구체의 자체 중력으로 인해 구체로 되돌아가게 될 것입니다.
  

1796년, 수학자 피에르시몽 라플라스가 저서 《우주체계 해설》 제1판과 제2판에서 같은 개념을 이야기했다(제3판 이후로는 관련 내용이 삭제되었다). 이러한 “암흑성” 개념은 19세기 이전까지 거의 무시되었는데, 질량이 없는 파동인 빛이 중력의 영향을 받을 것이라고는 생각하기 힘들었기 때문이다.


일반상대론


1915년, 알베르트 아인슈타인일반상대론을 고안하여 중력이 빛의 운동에 영향을 미침을 보였다. 불과 몇 개월 뒤, 카를 슈바르츠실트점질량과 구질량의 중력장을 기술하는 아인슈타인 방정식의 해를 구하였다(슈바르츠실트 계량). 슈바르츠실트로부터 또 몇 개월 뒤, 헨드릭 로런츠의 지도학생인 요하네스 드로스터가 슈바르츠실트와 독립적으로 점질량에 대한 동일한 해를 구하였고, 그 성질을 보다 광범하게 기술하였다. 이 해는 아인슈타인 방정식의 일부 항이 무한대가 되는 특이점을 가지는 특이행동을 보이는데, 이것을 오늘날 슈바르츠실트 반경이라고 부른다. 이때까지만 해도 이 표면의 성질은 확실하게 이해되지 않았다. 1924년, 아서 에딩턴이 좌표계의 수정을 통해(에딩턴-핀켈스타인 좌표계) 특이점을 없앨 수 있음을 보였으나, 이것이 슈바르츠실트 반경의 특이점이 비물리적 좌표 특이점이라는 것을 의미한다는 것은 1933년에야 조르주 르메트르가 밝혀내었다. 한편 아서 에딩턴은 1926년 저서에서 어떤 별이 슈바르츠실트 반경 이하의 크기로 짜부라들 가능성에 대하여 다음과 같이 논하였다. 아인슈타인의 이론은 베텔게우스 같은 볼 수 있는 별들이 무지막지한 밀도를 가지는 것을 불가능하게 한다. 이유인즉 “반경 2억 5천만 킬로미터의 항성은 태양만큼 높은 밀도를 가질 수 없다. 우선 중력이 너무 커져서 빛이 그 별에서 탈출할 수 없을 것이며, 마치 지구로 되떨어지는 돌처럼 빛살이 별로 되떨어지게 될 것이다. 둘째로 스펙트럼선의 적색편이가 너무 커서 스펙트럼이 소멸할 지경으로 편이할 것이다. 셋째로 질량이 너무 큰 만큼 시공간에 대한 왜곡도 크게 발생하여 공간이 별을 아물어 숨겨 버릴 것이다."


1931년, 수브라마니안 찬드라세카르는 특수상대론을 이용하여 전자축퇴물질로 이루어진 회전하지 않는 천체는 특정 임계 질량(찬드라세카르 한계. 1.4 M)을 넘어서면 안정적인 해가 존재할 수 없음을 보였다. 그러나 에딩턴, 란다우를 비롯한 당대의 학자들은 아직 밝혀지지 않은 과정이 붕괴를 막을 수 있다는 이유로 찬드라세카르의 주장을 반대했다. 이들 기성 학자들의 주장은 부분적으로는 옳았다. 찬드라세카르 한계를 넘어서는 백색왜성(전자축퇴압으로 형태를 유지)은 붕괴를 일으켜 중성자별(중성자축퇴압으로 형태를 유지)이 되며,[21] 파울리 배타 원리에 의해 안정해진다. 그러나 1939년, 로버트 오펜하이머 등은 질량 3 M(톨먼–오펜하이머–볼코프 한계)를 넘어서는 중성자별은 찬드라세카르 한계와 같은 이유로 붕괴하게 됨을 보였으며, 어떤 물리 법칙으로도 일부 별이 블랙홀의 지경까지 붕괴하는 것을 막을 수는 없을 것이라 결론 내린다.

오펜하이머와 그의 공저자들은 슈바르츠실트 반경 경계에서 발생하는 특이점을 시간이 멈추는 거품의 경계라고 해석했다. 이것은 블랙홀 외부의 관찰자들이 보기에는 타당한 해석이지만(블랙홀 밖에서 보기에는 블랙홀 안으로 떨어지는 물체가 점점 느려지는 것처럼 보인다) 블랙홀 안으로 떨어지고 있는 관찰자에게는 적용되지 않는다. 이 성질 때문에 중성자별이 재차 붕괴한 밀집성을 "결빙성(frozen stars)"이라고 불렀는데, 외부 관찰자가 보기에 별의 표면이 별이 슈바르츠실트 반경 이하로 붕괴하는 순간 이후 변화 없이 "얼어붙어" 버린 것처럼 보이게 될 것이기 때문이다.


황금시대


1958년, 데이비드 핀켈스타인은 슈바르츠실트 표면을 “인과 관계가 오직 한 방향으로만 가로지를 수 있는 완벽한 단향성 막”이라고 사건의 지평선을 규정하였다.  이러한 해석은 오펜하이머의 결과와 엄밀하게 배치되는 것은 아니었으나, 블랙홀 안으로 낙하하는 관찰자의 관점까지 이론이 포함하게 만들었다. 핀켈스타인의 해(에딩턴–핀켈스타인 좌표계)는 슈바르츠실트의 해를 확장하여 블랙홀 안으로 낙하하는 관찰자의 미래까지 예측할 수 있도록 했다. 마틴 크러스컬이 그에 관한 완전한 확장해를 구했다(크러스컬–세케레시 좌표계).



이러한 연구결과는 일반상대론과 블랙홀이 과학계의 주류 연구대상으로 부상하게 되는 소위 일반상대론의 황금시대의 서막을 열었다. 1967년 맥동전파원(펄사)이 발견되고, 2년 뒤인 1969년 그 정체가 빠르게 회전하는 중성자별임이 밝혀진 것은 이러한 조류를 더욱 가속화시켰다. 펄사가 발견되기 전까지만 해도 중성자별은 블랙홀과 마찬가지로 가설상의 천체로 취급되었다. 그러나 펄사가 발견됨으로써 중력붕괴로 만들어지는 다른 밀집천체들이 존재할 가능성에 대한 관심도 크게 높아졌다.



일반상대론의 황금시대에는 블랙홀의 해들이 더욱 많이 발견되었다. 1963년, 로이 커회전하는 블랙홀의 해를 구했다(커 계량). 2년 뒤에는 에즈라 뉴먼이 회전하는 동시에 또한 전하를 지닌 블랙홀의 선대칭해를 구했다. 이후 베르너 이스라엘, 브랜든 카터, 데이비드 로빈슨의 연구를 통해 무모 정리가 정립되었다. 무모 정리란 블랙홀의 해는 커–뉴먼 계량의 세 가지 변수, 즉 질량·각운동량·전하에 의해서만 결정되고 그 이외의 “털은 블랙홀에 없다”는 것을 의미한다.


처음에는 블랙홀의 괴이한 특징들은 대칭성을 가정한 결과 발생하는 비정상적 요소이며, 일반적 상황에서는 특이점이 발생하지 않을 것이라고 추측되었다. 이러한 관점을 옹호한 학자로는 블라디미르 벨린스키, 아이작 칼라트니코프, 에브게니 리프쉬츠가 있다. 이들은 일반해에서 특이점이 존재하지 않음을 보이려고 시도했다. 그러나 1960년대 말, 로저 펜로즈 스티븐 호킹이 특이점이 일반적으로 나타난다는 것을 밝혀냈다.


제임스 바딘, 야코프 베켄슈타인, 브랜든 카터, 스티븐 호킹은 1970년대 초에 진행한 연구를 통해 블랙홀 열역학이란 학문을 정립하였다. 블랙홀 열역학에서는 블랙홀의 성질이 그 질량을 에너지로, 크기를 엔트로피로, 표면중력온도로 치환시키면 열역학 법칙과 매우 유사해짐을 보였다. 1974년 호킹이 양자장론에 따르면 블랙홀은 그 표면중력에 비례하는 온도의 흑체와 같은 복사를 내보낸다는 것을 예측함으로써 블랙홀의 열역학적 설명은 완성되었다.


기자 앤 어윙(Ann Ewing)이 미국과학진흥협회 회의를 참관한 1964년 1월 18일자 기사 제목을 〈우주의 ‘검은 구멍’들〉("‘Black Holes’ in Space")이라고 붙인 것이 ‘블랙홀’이라는 용어가 지면상에 사용된 최초의 사례이다. 이후 1967년에 존 아치볼드 휠러가 강의에서 ‘블랙홀’이라는 말을 사용하여 일부에서는 휠러가 이 말을 고안했다고 보기도 한다. 휠러가 블랙홀이라는 말을 사용한 이후 블랙홀이라는 용어는 빠르게 확산되어 일반적으로 사용되었다.


성질과 구조


털없음 정리에 따르면, 블랙홀은 형성된 이후 안정된 상태에 도달하면 오로지 세 개의 독립적인 물리량, 즉 질량·전하·각운동량 만을 갖게 된다. 이 물리량 또는 변수들이 동일한 두 개의 블랙홀은 고전역학(i.e. 비양자역학)을 통해 구분하는 것이 불가능하다.


이 성질은 블랙홀 바깥에서 볼 수 있다는 점에서 매우 특별하다. 예컨대 대전된 블랙홀은 다른 대전된 물체처럼 척력을 발생시킨다. 질량의 경우, 블랙홀을 포함하고 있는 구 안의 질량은 가우스 법칙의 중력적 상사형인 ADM 질량을 통해 블랙홀에서 멀리 떨어져서도 알아낼 수 있다. 또한 각운동량은 중력 자성에 의한 틀 끌림을 통해 블랙홀에서 멀리 떨어져서 알아낼 수 있다.


어느 물체가 블랙홀을 향해 낙하하면, 그 물체의 모양이나 그 물체에 분포하고 있는 전하에 대한 정보가 블랙홀의 지평선을 따라 균등하게 분산되면서 블랙홀 바깥의 관찰자에게는 그 정보가 소실된다. 이 상황에서 지평선의 양태는 마치 마찰과 전기저항이 있는, 신축성과 전도성을 가진 막과 매우 유사한 산일구조가 된다(막 패러다임). 이는 시간 가역성을 갖기에 미시적 수준에서 마찰이나 저항을 가지지 않는 전자기장 따위의 다른 장 이론과 구분되는 지점이다. 블랙홀은 오직 세 개의 변수에 의해 안정적 상태에 도달하기 때문에, 블랙홀 안에서 최초 상태에 관한 정보를 소실하지 않을 수 있는 방법은 없다. 블랙홀의 중력장과 전기장은 그 안으로 들어간 것에 대한 정보를 거의 제공하지 않는다. 이렇게 소실되는 정보에는 블랙홀 지평선에서 멀리 떨어진 곳에서는 측정할 수 없는 모든 물리량이 포함된다. 중입자수경입자수 같은 보존된 양자수도 그 예시이다. 이 곤혹스러운 성질을 일컬어 블랙홀 정보역설이라고 부른다.


물리적 성질

회전하지 않는 블랙홀(슈바르츠실트 블랙홀)의 간단한 도해


가장 간단한 블랙홀은 질량만 있고 전하나 각운동량을 가지지 않는 블랙홀이다. 이러한 블랙홀은 1916년 아인슈타인 방정식의 해를 발견한 카를 슈바르츠실트의 이름을 붙여 슈바르츠실트 블랙홀이라고 한다. 버코프의 정리에 따르면, 슈바르츠실트의 해는 구대칭적인 유일한 진공해이다. 이것은 다시 말해 어떤 블랙홀의 중력장과 그 블랙홀과 같은 질량을 가진 다른 구형 물체의 중력장 사이에는 관찰 가능한 차이점이 없다는 것을 의미한다. 때문에 블랙홀을 주위의 모든 것을 빨아들이는 존재라고 이해하는 대중적 관념은 오로지 블랙홀의 지평선 주위에서만 옳다. 멀리 떨어진 곳에서는 블랙홀의 외부 중력장은 같은 질량을 가진 다른 천체의 중력장과 동일하다.


보다 일반적인 형태의 블랙홀에 대한 해 역시 존재한다. 회전하지는 않고 전하만 가진 블랙홀은 라이스너–노르드스트룀 계량을 따르며 이를 라이스너–노르드스트룀 블랙홀이라고 부른다. 한편 전하는 없고 회전하는(즉 각운동량을 가진) 블랙홀은 커 계량을 따르며 이를 커 블랙홀이라고 한다. 가장 일반적인 정지 블랙홀 해는 커–뉴먼 계량으로서, 전하와 각운동량을 모두 가진 블랙홀이 이를 따른다.


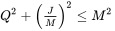
블랙홀의 질량은 모든 양수값이 가능한 반면, 전하량과 각운동량은 질량에 의해 제한된다. 플랑크 단위로, 블랙홀의 총 전하량 와 총 각운동량 는 다음 관계를 만족시킬 것으로 예측된다.

이때 은 블랙홀의 질량이다. 이 부등식을 만족하는 블랙홀을 임계 블랙홀이라고 한다. 이 부등식을 만족하지 않는 아인슈타인 방정식의 해도 존재하지만 그런 경우에는 사건의 지평선을 갖지 않는다. 이러한 해를 벌거숭이 특이점이라고 하는데, 외부에서 관찰이 가능하기에 물리적으로 불가능할 것으로 간주된다. 우주 검열 가설현실적 물질이 중력붕괴할 때 이러한 특이점은 형성될 수 없다고 배제시키며, 이는 수치적 시뮬레이션 결과들에 의해 지지받는다.


상대적으로 큰 전자기력에 의해, 항성이 붕괴하여 형성되는 블랙홀은 전하가 거의 중성인 항성의 상태를 유지할 것으로 추측된다. 그러나 회전은 밀집천체들에서 흔하게 나타나는 현상일 것으로 생각된다. 블랙홀 후보 천체인 엑스선원 쌍성계 GRS 1915+105은 허용된 최대치에 근사하는 각운동량을 갖는 것으로 보인다.


블랙홀의 체급 분류
종류질량크기
초대질량 블랙홀~105–1010 M~0.001–400 AU
중간질량 블랙홀~103 M~103 km ≈ REarth
항성질량 블랙홀~10 M~30 km
마이크로 블랙홀MMoon 수준 이하up to ~0.1 mm

블랙홀은 대개 각운동량이나 전하량과는 독립적으로 질량에 따라 분류된다. 블랙홀의 크기는 사건의 지평선 반경, 또는 슈바르츠실트 반경에 의해 결정된다.

이때 은 블랙홀의 질량, 는 슈바르츠실트 반경, 태양질량이다. 이 관계는 전하량과 각운동량이 0인 블랙홀에 대해서만 정확하게 성립한다. 보다 일반적인 블랙홀의 경우 2분의 1 수준까지 차이가 발생할 수 있다.


사건의 지평선


BH-no-escape-1.svg
블랙홀에서 멀리 떨어진 곳에서는, 입자가 모든 방향으로 움직일 수 있으며, 그 방향을 화살표로 표현했다. 입자의 운동을 구속하는 조건은 광속보다 빨리 움직일 수 없다는 것 뿐이다.

BH-no-escape-2.svg
블랙홀에 가까워지면 시공간이 왜곡되기 시작한다. 블랙홀에 가까워지는 경로가 블랙홀에서 멀어지는 경로보다 많아진다.


BH-no-escape-3.svg
사건의 지평선 너머로 들어가면, 입자의 모든 경로가 블랙홀 중심에 가까워지는 경로로 제한된다. 이제 이 입자는 사건의 지평선 밖으로 탈출할 수 없다.

블랙홀의 가장 결정적인 특징은 사건의 지평선의 존재이다. 사건의 지평선은 물질과 빛이 블랙홀의 질량을 향해 안으로 들어갈 수만 있고 밖으로 나올 수는 없는 시공간상의 경계이다. 그 무엇도, 심지어 빛마저, 사건의 지평선 안쪽에서 바깥쪽으로 탈출할 수 없다. 사건의 지평선이라는 이름은 그 경계에서 ‘사건(event)’이 벌어지며 그 사건에 대한 정보는 외부의 관찰자에게 도달할 수 없어 그 사건이 벌어졌는지 여부조차 알 수 없다는 의미를 갖고 있다.

일반상대론에 의해 예측되는 바에 따르면, 질량의 존재는 시공간을 왜곡시켜 입자의 경로를 그 질량 방향으로 구부러지게 만든다. 블랙홀의 사건의 지평선에서는 이 왜곡이 매우 심해져서 블랙홀 바깥으로 향하는 경로가 존재할 수 없게 된다.

멀리 떨어진 외부 관찰자가 보기에, 블랙홀 근처의 시계는 블랙홀에서 멀리 떨어진 시계보다 더 느리게 가는 것처럼 보인다(중력적 시간지연). 이 효과에 의해 블랙홀로 낙하하는 물체는 사건의 지평선에 가까워질수록 점점 느려지는 것처럼 보이고, 사건의 지평선에 닿기까지 걸리는 시간은 무한대가 된다. 즉 사건의 지평선에 닿는 것이 외부에서는 관찰될 수 없다. 외부의 고정된 관찰자가 보기에 이 물체의 모든 과정은 느려지는 것처럼 보이기에, 물체에서 방출되는 빛도 점점 파장이 길어지고 어두워진다(중력적 적색편이). 최종적으로 낙하하는 물체는 너무 어두워져서 보이지 않게 된다.


한편, 블랙홀로 낙하하는 파괴될 수 없는 관찰자는 이러한 효과를 경험하지 못한다. 블랙홀로 낙하중인 관찰자가 보기에 자신의 시계는 멀쩡하게 작동하는 것처럼 보이며, 유한한 시간이 지난 후에 사건의 지평선을 넘어도 아무런 특이한 현상을 느끼지 못한다. 즉 사건의 지평선 가까이에서 관찰했을 때 사건의 지평선의 위치를 알아내는 것은 불가능하다.


블랙홀의 사건의 지평선의 모양은 언제나 대략적 구형이다. 회전하지 않는 블랙홀의 경우 사건의 지평선은 정확한 구형을 이루고, 회전하는 블랙홀은 사건의 지평선이 약간 짜부라진 회전타원체가 된다.


특이점


블랙홀 중심에는 일반상대론에 따라 시공간의 곡률이 무한대가 되는 곳인 중력 특이점이 존재한다. 회전하지 않는 블랙홀의 경우 특이점은 하나의 점의 형태를 가지고, 회전하는 블랙홀의 경우 회전 평면상의 고리 모양(고리 특이점)을 갖는다. 두 경우 모두 특이점의 부피는 0이다. 또한 블랙홀 해에서 구해지는 질량은 모두 특이점에 모여 있다. 때문에 특이점의 질량밀도는 무한대가 될 것으로 생각된다.


회전하지 않으며 전하량도 없는 슈바르츠실트 블랙홀로 낙하하는 관찰자는 사건의 지평선을 넘어서면 무조건 특이점으로 끌려가게 되어 있다. 역방향 가속을 통해 그 과정을 늦출 수는 있지만 그것도 곧 한계에 봉착, 특정 속도에 도달하면 남은 거리는 자유낙하로 직행하게 된다. 특이점에 도달한 관찰자는 무한한 밀도에 의해 짓뭉개지고 관찰자의 질량은 블랙홀의 질량에 더해져서 블랙홀의 총 질량이 그만큼 증가한다. 짓뭉개지기 전에 관찰자는 조석력에 의해 길쭉하게 늘어져 찢어질 것이며, 이를 국수 효과라고 부른다.


전하량을 갖는 라이스너–노르드스트룀 블랙홀이나 회전하는 커 블랙홀의 경우, 특이점을 회피할 수 있으며, 이를 확장하면 블랙홀이 웜홀로 기능하여 다른 시공간으로 탈출할 수 있는 가설상의 가능성이 열리게 된다. 그러나 다른 우주로의 여행이란 오로지 가설상의 가능성일 뿐이며, 조금의 동요로도 그 가능성은 불가능해질 것이다. 커 블랙홀의 특이점 주위로는 닫힌 시간곡선이 발생할 수 있는데, 이에 따라 할아버지 역설 같은 인과율상의 문제가 발생하게 된다. 적절한 양자론적 처치를 거치면 라이스너–노르드스트룀 블랙홀이나 커 블랙홀 주위에서의 웜홀이나 인과율 역설 따위의 일은 모두 일어나지 않을 것으로 생각된다.


일반상대론에서 특이점이 나타나는 것은 대개 일반상대론의 붕괴를 의미하는 것으로 받아들여진다. 그러나 이 붕괴는 사실 예상되어 있는 것으로서, 극도의 고밀도와 그로 인한 입자 상호작용으로 인해 양자효과로 그 행동을 설명할 수 있는 상황에서 상대론의 붕괴가 일어난다. 현재까지 양자론과 상대론을 하나의 이론으로 묶는 데 성공한 사례는 존재하지 않지만, 양자중력이론 등의 시도가 이루어지고 있다. 만일 두 이론의 융합이 성공한다면, 그렇게 해서 도출되는 새로운 이론에서는 특이점이 나타나지 않을 것으로 예상된다.


광자구


광자구는 블랙홀 주위의 두께 0의 구형 경계면으로서, 블랙홀에 붙잡힌 광자가 이 구의 접선 방향으로 움직인다. 회전하지 않는 블랙홀의 경우 광자구의 반경은 슈바르츠실트 반경의 1.5 배이다. 광자구상의 궤도는 동역학적으로 불안정하며, 불안정성은 새로운 물질 입자가 블랙홀로 낙하하는 등의 요동에 의해 시간이 갈수록 더욱 커진다. 그 결과 광자는 바깥쪽으로 튕겨나가 블랙홀로부터 탈출하거나, 또는 와선을 그리면서 안쪽으로 낙하하면서 사건의 지평선 너머로 끌려들어가게 된다.


광자구 위의 빛은 아직 블랙홀로부터 탈출할 가능성이 있으나, 광자구 안쪽을 가로지른 빛은 반드시 블랙홀에 붙잡히게 되어 있다. 고로 외부 관찰자에게 보이는 광자구에서 방출된 빛은 광자구와 사건의 지평선 사이의 물체에 의해 방출된 것이다.


중성자별 등 다른 밀집성도 광자구를 갖는다. 광자구 개념은 원대칭 물체 외부의 중력장은 슈바르츠실트 계량을 따라 물체의 크기가 아닌 물체의 질량에만 의존적이라는 데서 도출된다. 고로 슈바르츠실트 반지름 1.5배 보다 작아질 수 있는 모든 물체는 광자구를 갖는다.


작용권


작용권은 사건의 지평선 바깥의 타원체형 영역으로, 여기 들어간 물체들은 정지 상태를 유지할 수 없다.


회전하는 블랙홀 주위에는 멈춰선 상태를 유지하는 것이 불가능해지는 시공간이 형성되는데 이를 작용권이라고 한다. 작용권은 틀 끌림이라는 과정의 결과물이다. 일반상대론은 회전하는 질량은 자기 바로 주위에 있는 시공간을 조금씩 "끌어당기게" 됨을 예측한다. 회전하는 질량의 주위에 있는 물체는 그 회전 방향을 따라서 움직이게 된다. 회전하는 블랙홀의 경우, 이 효과가 매우 강력하여 사건의 지평선 근처의 물체는 빛보다도 빠르게 움직이게 된다. 외부 관찰자가 보기에 작용권 안의 물체가 정지하기 위해서는 반대 방향으로 빛보다 빠르게 움직여야 하는데, 이는 불가능하므로 작용권 안의 물체는 절대 정지해 있는 것처럼 보일 수가 없다.


블랙홀의 작용권의 안쪽 경계는 사건의 지평선이고, 바깥쪽 경계는 회전타원체를 이룬다. 블랙홀의 양극에서는 작용권과 사건의 지평선이 겹치고, 적도로 갈수록 작용권이 부풀어오른다. 작용권의 바깥쪽 경계를 "작용면(ergosurface)"이라고 부르기도 한다.

작용권에만 들어갔고 사건의 지평선은 넘어서지 않은 물체나 복사는 바깥으로 탈출이 가능하다. 블랙홀의 회전 에너지를 이용해 물체는 들어갈 때보다 더 많은 에너지를 쓰면 작용권에서 나올 수 있는데, 이를 펜로즈 과정이라고 한다.


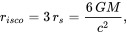
최내곽 안정 원궤도


뉴턴의 만유인력의 법칙에 따르면, 시험입자는 중심 물체로부터의 임의적 거리만큼 떨어져서 안정적으로 공전을 할 수 있다. 그러나 일반상대론에서는 안정적 원궤도를 유지하면서 중심 물체에 가까워질 수 있는 하한이 존재하며, 이를 최내곽 안정 원궤도(ISCO)라고 부른다. ISCO보다 안쪽으로 들어가면 극미한 요동으로도 원궤도가 붕괴하여 와선을 그리며 블랙홀을 향해 낙하하게 된다. ISCO의 위치는 블랙홀의 자전에 의해 결정된다. 자전이 0인 슈바르츠실트 블랙홀의 경우 ISCO는 다음 식을 따르며, 자전이 증가할수록 ISCO의 크기는 감소한다.


형성과 진화

블랙홀의 괴이한 성질들을 생각해 보면, 이런 기이한 천체가 과연 실존하는 것인지, 그저 아인슈타인 방정식의 해를 이끌어내는 과정에서 도출된 비정상적 결과물에 지나지 않는 것이 아닌지 의문을 가질 법도 하다. 심지어 아인슈타인 본인마저 붕괴하는 입자의 각운동량으로 인해 그 운동이 특정 반경에서 안정화될것이기에 블랙홀은 존재할 수 없다는 잘못된 판단을 한 바 있다. 이 때문에 일반상대론 학계는 오랜 세월동안 아인슈타인의 견해와 배치되는 결과들을 모두 평가절하하였다. 그러나 일부 소장파는 블랙홀이 물리적 천체로서 실재한다는 견해를 고수하였고, 1960년대 말엽이 되면 학계 대부분이 사건의 지평선 형성을 가로막는 장애물이 없다는 데 동의하기에 이른다.


일단 사건의 지평선이 형성되면 그 안에 특이점이 만들어짐은 펜로즈에 의해 증명되었다. 그 직후 호킹은 대폭발이론에 대한 여러 우주론적 해가 스칼라장이나 다른 이상물질이 없는 특이점을 가짐을 보였다(펜로즈–호킹 특이점 정리). 커 해, 털없음 정리, 블랙홀 열역학 법칙들은 블랙홀의 물리적 성질이 단순하고 이해가능함을 밝혀냈으며, 이로 인해 블랙홀은 타당한 연구 주제로 대접받을 수 있게 되었다. 블랙홀은 주로 무거운 천체, 예컨대 항성의 중력붕괴에 의해 생겨나는 것으로 보이나, 그 밖에도 블랙홀을 탄생시킬 수 있는 기이한 과정들이 존재한다.


중력붕괴


중력붕괴는 어떤 천체의 내부 압력이 천체의 자체 중력을 상쇄시킬 수 없을 때 발생한다. 항성의 경우, 항성 핵합성을 통해 온도를 유지하여 필요한 압력을 얻는데, 여기에 필요한 "연료"가 너무 적어졌을 때, 또는 핵 온도가 상승하지 않는 방식으로 추가적인 물질을 얻게 되었을 때 중력붕괴가 일어난다. 두 경우 모두 항성의 온도가 그 자체 무게를 감당할 수 있을 만큼 높은 온도로 유지되지 못한다는 것이 공통된 요소이다. 별의 축퇴압이 물질을 축퇴물질로 응축시키면 붕괴는 멈춘다. 그 결과 다양한 유형의 밀집성이 만들어진다. 밀집성의 종류는 항성 외피층이 날아가버린 뒤 남은 잔해의 질량에 의해 결정된다. 이때 외피층이 날아가는 현상은 초신성 폭발일 수도 있고, 맥동일 수도 있고, 행성상성운 형성일 수도 있다. 붕괴 이후의 질량은 붕괴 이전의 항성의 질량보다 훨씬 적어진다. 붕괴하기 전에 질량이 20 M 이상인 항성의 잔해의 질량은 5 M을 초과한다.


붕괴 이전의 별이 원래 무지막지하게 컸거나 또는 붕괴된 뒤 잔해 위로 추가적인 질량이 강착되어, 잔해의 질량이 3 ~ 4 M(즉 톨먼–오펜하이머–볼코프 한계)를 초과하게 되면, 중성자 축퇴압으로도 붕괴를 막을 수 없게 된다. 톨먼–오펜하이머–볼코프 한계를 넘어선 밀집성이 블랙홀로 붕괴하는 것을 멈출 수 있는 방법은 아직까지 밝혀진 바 없다(다만 쿼크의 축퇴압이 그 가능성이 있다. 쿼크별 참조).


무거운 항성의 중력붕괴는 항성질량 블랙홀의 형성 원인으로 짐작된다. 초기 우주의 항성 형성 때는 매우 무거운 별들이 만들어졌을 것으로 생각된다. 이 별들은 수명을 다하고 붕괴를 일으켜 질량 103 M 이상의 블랙홀을 형성했다. 이 블랙홀들이 오늘날 대부분의 은하들의 중심에서 발견되는 초대질량 블랙홀들의 씨앗이 되었을 것이다.


중력붕괴 때 방출되는 에너지의 대부분은 매우 빠르게 방출되기에, 외부 관찰자는 이 과정의 끝을 제대로 볼 수 없다. 붕괴가 낙하하는 물질의 관성계에서 유한한 시간에 걸쳐 일어나는 현상이지만, 멀리 떨어져 있는 관찰자가 보기에는 낙하하는 물질이 점차 느려져 사건의 지평선 위에 멈추게 되는 것처럼 보이게 된다(중력적 시간지연). 붕괴하는 물질에서 방출되는 빛은 관찰자에게 닿기 위해 걸리는 시간이 점점 더 길어지고, 사건의 지평선 직전에서 방출된 빛의 지연되는 시간은 무한대에 이르게 된다. 때문에 외부의 관찰자는 사건의 지평선이 형성되는 순간을 절대 볼 수 없다. 대신 붕괴하는 물질들의 적색편이가 증가함에 따라 점차 어두워지고 최종적으로는 지워지듯 사라지는 것처럼 보일 것이다.


대폭발과 원시 블랙홀


중력붕괴는 엄청난 밀도를 필요로 한다. 오늘날의 우주에서는 이렇게 큰 밀도는 항성 내부에서만 발견되지만, 대폭발 직후의 초기 우주는 밀도가 훨씬 컸기 때문에 블랙홀이 만들어질 수 있는 환경이 되었을 수도 있다. 질량이 균등하게 분포해 있으면 질량이 모이게 되지 않기 때문에, 단순히 높은 밀도만으로는 블랙홀이 형성되기 위한 조건으로는 부족하다. 이러한 높은 매질 속에서 원시 블랙홀이 형성되기 위해서는 초기 밀도에 불균등한 요동이 존재하여 자체 중력을 통해 점차 요동이 증가해야 한다. 초기 우주에 대한 서로 다른 모형들은 이러한 요동의 정도가 얼마나 될지 제각기 달리 예측하고 있다. 많은 모형들이 블랙홀의 탄생을 예측하며, 그 질량은 플랑크 질량 수준에서 수십만 M 수준까지 다양하다.


고에너지 충돌


CMS 감지기의 시뮬레이션. 이 충돌로 마이크로 블랙홀이 생성될 수 있다.


중력붕괴는 블랙홀이 만들어질 수 있는 유일한 과정은 아니다. 원리적으로는 고에너지 환경에서의 충돌로 중분한 밀도가 형성되면 블랙홀이 만들어질 수 있다. 2002년 기준으로, 입자가속기 실험에서의 질량 균형 부족으로 인해 그러한 현상이 직접적 또는 간접적으로 감지된 적은 없다. 이는 블랙홀 질량의 최저 하한선이 존재할 수 있음을 시사한다. 그 하한선은 이론상으로 플랑크 질량() 이하일 것으로 생각되며, 이 수준에서는 양자효과가 일반상대론의 예측들을 무효화시킬 것이다. 때문에 지구상 또는 근지구에서 벌어지는 고에너지 과정에서 블랙홀이 생성될 가능성은 단호히 배제된다. 그러나 양자중력 이론의 발전에 따라 플랑크 질량이 이전보다 낮게 잡힐 수도 있다. 일부 브레인월드 시나리오에서는 하한을 로 잡기도 한다. 그렇다면 어쩌면 고에너지 우주선이 지구의 대기를 때릴 때 또는 CERN대형 강입자 충돌기 내부에서 마이크로 블랙홀이 생성될 수 있다. 이러한 이론은 순전히 추측에 근거한 것이며, 많은 전문가들은 이러한 방식으로의 블랙홀 형성의 가능성을 낮게 보고 있다. 설사 마이크로 블랙홀이 형성된다 하더라도, 10−25 초 안에 증발해 버릴 것으로 생각되기에 지구에는 거의 위협이 되지 못할 것이다.


블랙홀의 성장


블랙홀은 일단 형성된 뒤에도 이후 질량을 추가적으로 흡수하여 성장할 수 있다. 모든 블랙홀은 주위의 기체, 성간진, 그리고 우주 전체에 편재하는 우주배경복사를 지속적으로 흡수한다. 초대질량 블랙홀이 성장하는 주된 과정이 이러할 것으로 생각된다. 구상성단에서 발견되는 중간질량 블랙홀의 형성에 대해서도 유사한 과정이 추측된다.


블랙홀 성장의 또다른 가능성으로는, 블랙홀이 항성 또는 다른 블랙홀과 융합할 경우가 있다. 블랙홀이 성장하기 위해 굳이 다른 천체와 융합할 필요는 없지만, 이 요소는 매우 중요하며, 여러 작은 천체들을 집어삼키면서 성장했을 것으로 생각되는 초대질량 블랙홀의 초기 성장 과정에서 특히 그러하다. 중간질량 블랙홀 역시 같은 과정에 의한 성장 가능성이 제기되어 있다.


블랙홀의 증발


1974년, 호킹은 블랙홀이 완전히 검지 않으며, 작은 양의 열복사를 내보낼 것이라고 예측했으며, 그러한 현상을 현재 호킹 복사라고 부른다. 정지된 블랙홀에 양자장론을 적용시킴으로써 호킹은 블랙홀은 완전한 흑체 스펙트럼을 나타내는 입자를 방출해야 한다고 결론내렸다. 호킹의 발표 이후 많은 다른 과학자들이 다양한 방법을 통해 같은 결과를 도출했다. 만일 호킹의 블랙홀 복사 이론이 정확하다면, 블랙홀은 시간이 지남에 따라 그 질량을 광자를 비롯한 입자들의 방출 형태로 상실하여 점점 작아지는 "증발"을 할 것이다. 이 열스펙트럼의 온도(호킹 온도)는 블랙홀의 표면중력에 비례하며, 그 표면중력은 슈바르츠실트 블랙홀의 경우 질량에 반비례한다. 즉, 큰 블랙홀이 작은 블랙홀보다 입자를 적게 방출하고 증발이 느리다.


질량 1 M의 항성질량 블랙홀의 호킹 온도는 약 100 나노켈빈으로, 우주배경복사 2.7 켈빈보다도 훨씬 낮다. 항성질량 블랙홀 이상 체급의 블랙홀은 호킹 복사로 내보내는 질량보다 많은 질량을 우주배경복사에 의해 받아들이기 때문에 질량이 줄어들지 않고 오히려 늘어날 것이다. 호킹 온도가 2.7 켈빈 이상이 되려면(그리하여 증발이 일어나려면), 블랙홀의 질량은 우리 보다 적어야 한다. 그런 블랙홀의 직경은 0.1 밀리미터 이하일 것이다.


블랙홀이 매우 작으면 그만큼 호킹 복사도 매우 강해질 것이다. 인간 정도의 질량을 가진 블랙홀은 순식간에 증발한다. 자동차 한 대 정도의 질량을 가진 블랙홀은 직경이 10−24 미터 정도이며, 1 나노초만에 증발하고, 그 찰나에 태양의 200배 이상의 광도로 빛날 것이다. 블랙홀의 질량이 작을 수록 증발은 빠르게 일어난다. 질량 1 TeV/c2의 블랙홀이 완전히 증발하는 데 걸리는 시간은 10−88 초 이하이다. 가설상 이렇게 작은 블랙홀에서는 양자중력효과가 큰 역할을 발휘하여 작은 블랙홀을 안정화시킬 것이다. 그러나 아직까지 양자중력 이론의 발전상에서 그러한 결과를 의미한다고 볼 만한 성과는 없다.


질량이 큰 천체물리학적 블랙홀들의 호킹 복사는 매우 약하여 지구에서 감지하기는 어려울 것이다. 다만 예외적으로 원시 블랙홀의 증발 막바지에 감마선폭발이 일어난다면 관측이 가능할 수도 있다. 그러나 그러한 폭발을 찾으려는 시도는 성공적이지 못했으며, 질량이 작은 원시 블랙홀이 존재했을 가능성은 제한을 받는다. 2008년에 발사된 NASA의 페르미 감마선 우주망원경은 여전히 감마선폭발을 찾아 수색을 계속하고 있다.


관측적 증거


우리은하 중심의 블랙홀에 의해 찢어지는 가스구름의 모습.



블랙홀은 그 성질상 이론상의 호킹 복사를 제외하면 직접적인 전자기 복사를 방출하지 않으며, 때문에 블랙홀을 찾는 천체물리학자들은 간접적 관측수단에 의존해야 한다. 예컨대 블랙홀 주위의 중력적 상호작용을 통해 블랙홀의 존재를 알아내는 것이 그러한 간접적 관측수단 중 하나이다. 그러나 MIT 헤이스택 천문대사건의 지평선 망원경(EHT)는 우리은하 중심의 궁수자리 A* 블랙홀에 대한 직접 관측을 시도 중이며, 2016년 초에는 최초로 사건의 지평선을 포착한 사진을 얻을 수 있을 것으로 예상하고 있다. 궁수자리 A*의 사건의 지평선 바로 바깥에 자기장이 존재할 것이라는 이론적 예상은 2015년 EHT에 의해 사실로 밝혀졌다.


중력파 관측


LIGO 합동연구진은 2015년 9월 14일 지구에서 13억 광년 떨어진 질량 약 30 M의 블랙홀 두 개가 서로 충돌하여 질량 60 M의 단일 블랙홀로 융합될 때 발생한 중력파를 검출함으로써 최초로 중력파 관측에 성공했다고 2016년 2월 11일 발표했다. 연구원들 중 한 명 이상이 이 사건을 블랙홀을 직접적으로 감지한 최초의 사례라고 규정했다. LIGO의 중력파 검출 성공은 최초의 중력파 관측일 뿐 아니라 블랙홀 쌍성계가 서로 융합하는 것이 최초로 관측된 사례이기도 하다. 융합되기 직전 두 천체 사이의 거리는 불과 350 킬로미터였으며, 두 천체가 모두 블랙홀이라는 것 외에는 질량이 30 M인 두 개의 천체가 이렇게 가까이 접근할 수 있었음에 대한 타당한 설명이 없다. 검출된 중력파의 특징은 융합된 이후에는 블랙홀이 안정화되면서 중력파가 급속히 감쇠하는 등, 두 블랙홀 사이의 융합으로 인해 발생할 중력파의 이론적 예상과 정확히 일치했다. 이 검출은 블랙홀의 존재가 예상되는 강력한 중력장 환경에서 일반상대론이 검증된 현재까지 가장 강력한 사례로서, 일반상대론의 예측과 배치되는 증거는 전혀 발견되지 않았다. 또한 질량 25 M 이상의 항성질량 블랙홀이 자연계에서 형성될 수 있다는 첫 증거이기도 하다.


궁수자리 A* 공전 항성의 고유운동


우리은하 중심의 블랙홀로 접근하는 가스구름을 시뮬레이션한 것. 푸른 선들은 블랙홀 주위를 공전하는 항성들의 궤도이다.



우리은하 중심 근처의 항성들의 고유운동은 그 항성들이 초대질량 블랙홀을 공전하고 있을 것이라는 강한 관측적 증거를 제공한다. 1995년 이래로 천문학자들은 전파원 궁수자리 A*와 같은 위치의 보이지 않는 천체를 공전하는 90개의 별들의 운동을 추적해왔으며, 그 운동을 케플러 궤도에 대입함으로써 1998년, 이 항성들의 운동을 유발시키기 위해서는 반경 0.02 광년의 부피 속에 질량 2백 6십만 M이 들어 있어야 한다는 결론을 얻어냈다. 그 이래로 항성들 중 하나(S2)가 1회 공전을 완료했다. 천문학자들은 궤도 데이터로부터 재계산하여 항성들의 운동을 유발시키기 위해서는 반경 0.002 광년 의 부피 속에 질량 4백 3십만 M이 들어 있어야 한다고 결론내렸다. 크기 상한이 여전히 너무 커서 이것이 슈바르츠실트 반경 이하인지 알아내는 데 어려움이 있다. 그럼에도 불구하고 관측 결과는 중심의 천체가 초대질량 블랙홀임을 강하게 시사하고 있다. 그 이외에 이렇게 작은 부피 속에 엄청난 양의 보이지 않는 질량이 존재하는 경우에 대한 다른 타당한 설명을 제공할 수 없다. 또한 이 천체가 블랙홀 특유의 특징인 사건의 지평선을 가지고 있다는 관측적 증거도 존재한다.


물질 강착


코로나, 엑스선원을 가진 블랙홀(상상도).



질량이 큰 천체로 인해 생성된 중력 우물로 낙하하는 기체는 각운동량 보존에 의해, 그 천체 주위로 원반 모양의 구조를 형성하게 된다. 보통 천체예술가들의 상상도에 그려지는 강착원반을 가진 블랙홀은 왼쪽 상상도처럼 마치 원반이 평면적 존재이고 블랙홀 뒤의 원반은 블랙홀에 의해 가려지는 것처럼 묘사되곤 한다. 그러나 보다 정확한 수학적 모형은 블랙홀 뒤쪽의 원반에서 나오는 빛의 경로가 왜곡됨으로써 어느 쪽에서 보아도 원반의 전체 모양이 보일 것이고, 또 원반 아래쪽의 2차 상이 부분적으로 보일 것이라고 예측하고 있다.



슈바르츠실트 블랙홀의 사건의 지평선 바깥에 강착원반이 존재할 경우를 예측한 모습



강착원반 내부에서는 마찰력으로 인해 각운동량이 소실되며 물질이 점점 안쪽으로 낙하한다. 그러면서 위치에너지가 방출되고 기체의 온도는 계속 올라간다.



블랙홀 근처에서 일어나는 엑스선의 흐려짐(NuSTAR; 2014년 8월 12일).



강착을 일으키는 천체가 중성자별이나 블랙홀일 경우, 강착원반 안쪽의 가스는 밀집성 본체에 매우 가까워져 엄청난 고속으로 회전할 것이다. 그러면 마찰력이 너무 강해져서 원반이 전자기 복사(주로 엑스선)를 방출할 만큼 뜨거워진다. 이렇게 밝은 엑스선원들은 망원경으로 관측이 가능하다. 강착원반의 엑스선 방출은 지금까지 알려진 가장 에너지 효율이 높은 과정에 속한다. 항성 내부 핵융합이 질량의 0.7%를 에너지로 방출하는 반면, 강착원반은 질량의 40%를 복사 에너지로 방출시킨다. 많은 경우 강착원반은 밀집성의 양극 방향으로 분출되는 엄청난 에너지의 상대론적 제트를 수반한다. 이 제트가 만들어지는 과정은 현재로서 완전히 이해되지 못하고 있다.


때문에 우주의 대규모 에너지 현상들은 대부분 블랙홀의 질량 강착이 그 원인으로 지목되고 있다. 특히 활동은하핵퀘이사는 초대질량 블랙홀의 질량 강착 현상으로 생각된다. 유사한 원리로 엑스선 쌍성계 역시 하나의 밀집성과 그 밀집성에 질량을 강착당하는 동반성으로 이루어진 쌍성계라는 생각이 널리 받아들여지고 있다. 또한 일부 초대광도 엑스선원의 정체가 중간질량 블랙홀의 강착원반이라는 학설도 제기되고 있다.


엑스선 쌍성계


블랙홀에 집어삼켜지는 항성의 컴퓨터 시뮬레이션. 푸른 점이 블랙홀의 위치이다.

최초로 발견된 블랙홀 후보 천체 중 하나인 백조자리 X-1찬드라 엑스선 관측선이 촬영한 사진.

파일:RXTE Detects Heartbeat Of Smallest Black Hole Candidate.ogv
 
이 애니메이션은 두 블랙홀 GRS 1915와 IGR J17091이 동반성으로부터 엑스선을 흡수하며 엑스선을 박동치는 것을 비교해서 보여주고 있다.



엑스선 쌍성은 그 빛의 대부분을 엑스선 대역에서 복사하는 쌍성계이다. 이 엑스선 방출은 대개 쌍성계의 두 별 중 하나(밀집성)가 동반성(보통 별)의 물질을 강착하여 일어나는 것으로 이해되고 있다. 이러한 계에 보통 별이 존재하는 것은 밀집성을 연구하는 데 매우 좋은 기회이며, 그 밀집성이 블랙홀인지 여부도 알아낼 수 있다.


만약 엑스선 쌍성계가 밀집성에서 직접 나오는 신호를 방출한다면, 그 밀집성은 블랙홀이 아니다. 그러나 직접 신호가 없다고 해서 밀집성이 블랙홀이 아닌 중성자별일 가능성을 배제할 수 있는 것은 아니다. 동반성을 연구함으로써 쌍성계의 공전궤도의 특징을 알아낼 수 있으며, 이를 통해 밀집성의 질량을 알아낸다. 만일 이 질량이 툴먼–오펜하이머–볼코프 한계, 즉 중성자별이 붕괴하지 않고 유지될 수 있는 최대 질량을 초과한다면 그 밀집성의 정체는 블랙홀로 여겨진다.


찰스 토머스 볼튼, 루이스 웹스터(Louise Webster), 파울 무르딘(Paul Murdin)이 1972년에 최초의 강력한 블랙홀 후보 천체 백조자리 X-1를 이 방식으로 발견해냈다. 그러나 동반성이 블랙홀 후보보다 더 무거울 수 있기에 이 방법에는 다소의 불확실성이 남아 있다. 


현재는 엑스선 쌍성계 중에서도 일시적 연엑스선(X-ray transients)으로 분류되는 계들에서 블랙홀 후보들이 보다 더 잘 발견된다. 이 종류의 쌍성계에서는 밀집성의 동반성의 질량이 상대적으로 작으며, 그 때문에 블랙홀의 질량을 보다 정확하게 추산할 수 있다. 또한 이들 계는 10 ~ 50년 동안 불과 수 개월 동안만 엑스선을 활발하게 방출한다. 엑스선 방출이 저조해지는 시기를 휴면기(quiescence)라 하며, 이 때 강착원반이 극도로 어두워져 동반성을 세밀하게 관측할 수 있게 된다. 이러한 블랙홀 후보 중 가장 적절한 예가 백조자리 V404이다.


휴면기와 이류성 강착


휴면기에 엑스선 쌍성계의 강착원반이 어두워지는 것은 질량의 흐름이 이류성 강착(advection-dominated accretion flow; ADAF)의 형태가 되기 때문으로 생각된다. 이 상태에서는 강착원반의 마찰로 생성되는 에너지의 거의 전부가 복사되지 않고 흐름을 따라 흘러가 버린다. 이 모형이 옳다면, 이는 사건의 지평선의 존재의 강력한 정성적 증거가 된다.[125] 만일 강착원반 중심의 천체가 사건의 지평선이 아닌 고형의 표면을 가지고 있다면 강착되는 고에너지 기체가 그 표면을 때릴 때 대량의 에너지가 복사로 방출될 것이며, 이러한 효과는 유사한 상태의 중성자별에 대하여 관측된 바 있다.


준주기적 진동


강착원반의 엑스선 방출이 가끔 특정 진동수로 깜빡거릴 때가 있는데, 이 신호를 준주기적 진동이라고 부른다. 준주기적 진동은 강착원반의 안쪽 경계(안정한 원형 궤도를 유지할 수 있는 가장 안쪽 범위)를 따라 움직이던 물질에 의해 발생하는 것으로 생각된다. 이러한 진동의 진동수는 중심의 밀집성의 질량과 관계가 있다. 때문에 이 현상은 블랙홀 후보 천체의 질량을 가늠하는 새로운 수단으로 사용될 수 있다.


은하핵


블랙홀 제트의 뿌리에서 나오는 자기파. 알벤 파동이라고 부른다.


천문학자들은 특이한 분광선이나 매우 강한 전파 방출 같은 특징을 나타내는 은하를 활동은하라고 부른다. 이론적 관측적 연구들은 이들 활동은하들의 핵, 즉 활동은하핵(AGN)이 태양의 수백 배에 달하는 질량을 가진 초대질량 블랙홀로 인한 현상임을 가리키고 있다. AGN 모형은 수백만 또는 수십억 M의 블랙홀이 중심에 있고, 성간기체성간진이 그 주위로 강착원반을 이루며, 강착원반과 수직한 방향으로 두 개의 제트가 방출되는 모양을 하고 있다.



2015년 1월 5일 우리은하 중심의 블랙홀 궁수자리 A*에서 감지된 밝은 엑스선 섬광.



대부분의 AGN은 초대질량 블랙홀을 품고 있을 것으로 생각되지만, 그 중 면밀하게 연구되어 중심의 초대질량 블랙홀 후보 천체의 질량을 측정해본 은하는 적은 편이다. 초대질량 블랙홀 후보를 품고 있는 유명한 은하들로는 안드로메다 은하, 메시에 87, NGC 3115, NGC 3377, NGC 4258, NGC 4889, NGC 1277, OJ 287, APM 08279+5255, 솜브레로 은하 등이 이다.


오늘날에는 활동은하 뿐 아니라 거의 모든 은하의 중심에는 초대질량 블랙홀이 있다는 것이 정설로 받아들여지고 있다.  블랙홀의 질량과 은하의 팽대부의 속도분산 사이에는 M-시그마 관계라고 부르는 관측적 상관관계까 존재한다. 이는 블랙홀의 형성과 은하의 형성 사이에 어떠한 관계가 있을 가능성을 강하게 시사한다.


마이크로렌즈효과


미래에 사용될 가능성이 있는 또다른 블랙홀 판별법으로는 천체 주위에 발생하는 강력한 중력장을 통한 관측이 있다. 이러한 효과를 중력렌즈라고 한다. 질량이 큰 물체 주위로 시공간이 왜곡되어 그리를 지나는 빛이 마치 광학적 렌즈를 통과하는 것처럼 굴절되는 것이다. 관측을 해보면 빛이 수 각초 정도만 굴절되는 약한 중력렌즈들이 발견된다. 그러나 이것들이 블랙홀이라는 직접적인 증거가 밝혀진 적은 없다. 중력렌즈를 이용해 블랙홀을 발견할 한 가지 가능성으로는, 블랙홀 주위를 공전하는 항성을 관측하는 방법이 있다. 궁수자리 A* 주변으로 이렇게 공전하는 후보성이 여러 개 지목되고 있다.


대안 가설들


항성질량 블랙홀의 판명은 중성자별의 질량 상한에 강하게 의존하고 있다. 그리고 이 상한값은 고밀도 물질의 성질에 대한 가정들에 강하게 의존하고 있다. 새로운 물질상이 이 연결고리를 강화시켜 줄 수 있다. 고밀도의 자유쿼크쿼크별을 형성할 가능성이 있으며, 일부 초대칭성 모형은 Q별의 존재를 예측하고 있다.  표준 모형을 일부 확장시키면 쿼크나 렙톤의 가설상 구성물질인 프리온프리온별을 형성할 수도 있다. 이러한 가설상의 모형들은 숱한 항성질량 블랙홀 후보천체들의 정체에 해당할 가능성이 있다. 그러나 일반상대론의 논증에서는 이러한 천체들도 최대 질량을 가져야 한다는 것이 밝혀져 있다.


블랙홀의 슈바르츠실트 반경 안쪽의 평균밀도는 그 질량의 제곱에 반비례한다. 때문에 초대질량 블랙홀은 항성질량 블랙홀보다 그 밀도가 훨씬 낮다. 질량이 108 M인 블랙홀의 밀도는 과 비슷한 수준이다. 때문에 초대질량 블랙홀의 구성물질이 물리학적으로 보다 이해하기 쉬우며, 초대질량 블랙홀에 대한 대안적 설명은 항성질량 블랙홀의 경우와 비교해 매우 단순한 편이다. 예컨대 초대질량 블랙홀을 매우 어두운 천체들의 무리로서 모형화하는 대안 가설이 있다. 그러나 이러한 대안 가설들은 일반적으로 초대질량 블랙홀 후보 천체들에 대해 안정적으로 성립하지 않는다.


항성질량 블랙홀 및 초대질량 블랙홀의 증거에도 불구하고 블랙홀이 형성되지 못하기 위해서는 일반상대론이 중력을 설명하는 이론으로서 실패하고, 양자역학적 교정이 필요해져야 한다. 양자중력 이론이 완성되면 특이점이나 사건의 지평선이 나타나지 않고, 고로 블랙홀이 실제적 존재가 아니라는 결론이 나올 수도 있다.


 2002년에는 끈 이론퍼즈볼 모형이 많은 관심을 받았다. 끈 이론 상의 특정 상황에 대한 계산에 바탕하여, 이 가설은 블랙홀 해 각각의 상태는 일반적으로 사건의 지평선이나 특이점을 가지지 않으나, 고전적/준고전적인 관찰자에게 보이는 그 상태의 통계적 평균은 일반상대론에서 도출되는 것 같은 일반적 블랙홀처럼 보인다고 제안하고 있다.


미해결 문제


엔트로피와 열역학


S=1/4 k c3ħ−1G−1 A.
베켄슈타인–호킹 공식.
블랙홀의 엔트로피 는 블랙홀의 면적 에 비례한다. 상수 광속, 볼츠만 상수, 뉴턴 상수, 디랙 상수이다.



1971년, 호킹은 일반적 상황에서 고전적 블랙홀의 사건의 지평선의 총 면적은 어떠한 경우에도 감소하지 않으며, 심지어 충돌하거나 융합할 때도 그러하다는 것을 보였다. 이것을 오늘날 블랙홀역학 제2법칙이라고 부르는데, 이는 계의 총 엔트로피가 절대 감소하지 않는다는 열역학 제2법칙과 놀랄 만큼 유사하다. 그전까지 절대영도의 온도를 가진 고전적 천체로서 블랙홀은 0의 엔트로피를 가진다고 생각되었다. 그러나 만일 그렇다면 엔트로피를 가진 물질이 블랙홀로 들어갈 때 우주의 총 엔트로피가 감소함으로써 열역학 제2법칙이 위반되게 된다. 하여 베켄슈타인은 블랙홀도 엔트로피를 가져야 하며, 그 크기는 사건의 지평선의 면적에 비례한다고 주장했다.


호킹이 양자장론에 따르면 블랙홀은 일정 온도의 흑체복사를 방출한다는 것을 예측함으로써 블랙홀과 열역학 법칙 사이의 관계는 더욱 강화되었다. 이 복사로 인하여 블랙홀의 에너지가 바깥으로 빠져나가 블랙홀이 줄어들기 때문에 이는 언뜻 보기에 블랙홀역학 제2법칙을 위반하는 것처럼 보인다. 하지만 에너지 뿐 아니라 엔트로피도 복사를 통해 빠져나가며, 일반적 가정 하에서 블랙홀 주위의 물질과 사건의 지평선의 4분의 1의 엔트로피의 총합은 플랑크 단위계에서 언제나 증가함을 증명할 수 있다. 이로써 열역학 제1법칙에 대응하는 블랙홀역학 제1법칙이 성립한다. 질량은 에너지, 표면중력은 온도, 면적은 엔트로피에 대응한다.


한 가지 혼란스러울 수 있는 점은 보통의 엔트로피는 계의 부피와 선형의 관계를 갖는 크기 성질인 데 반해 블랙홀의 엔트로피는 그 부피가 아닌 면적에 비례한다는 사실이다. 이 특이함을 설명하기 위해 헤라르뒤스 엇호프트레너드 서스킨드는 시공간상의 어떤 부피 안에서 일어나는 일은 그 부피의 경계의 데이터로 설명될 수 있다는 홀로그래피 원리를 제안했다.


일반상대론을 이용하면 블랙홀의 엔트로피를 준고전적으로 계산할 수 있지만, 이것은 이론적으로 불만족스럽다. 통계역학에서 엔트로피는 어떤 계에서 동일한 미시적 양(질량, 전하량, 압력 등)을 갖는 미시적 배열의 수로 이해된다. 만족스러운 양자중력 이론 없이는 아무도 블랙홀에 대하여 이러한 미시적 배열의 개수를 계산할 수 없다. 양자중력 이론의 완성을 위한 다양한 시도들이 이루어지고 있다. 1995년 앤드루 스트로민저캄란 바파끈 이론에 따라 초대칭성을 만족하는 블랙홀의 미시상태 집계가 베켄슈타인–호킹 엔트로피를 재현함을 보였다. 그 이후로 끈 이론 뿐 아니라 루프 양자중력 등의 다른 양자중력 이론에서도 서로 다른 블랙홀들에 대하여 유사한 결과들이 보고되고 있다.


정보소실 역설


블랙홀을 설명할 때 사용되는 변수가 불과 몇 개에 불과하기 때문에, 블랙홀 안으로 들어가서 블랙홀의 일부가 된 물질에 대한 정보의 대부분은 소실된다. 블랙홀 안으로 들어간 물질의 종류가 무엇인지는 관계없이, 그 물질에 대해 보존되는 정보는 질량, 전하량, 각운동량 뿐이다. 이 셋을 제외한 나머지 정보들이 계속 소실된 상태로 유지되는지는 수수께끼이다. 그 정보가 블랙홀 내부에 남아있다고 생각할 수도 있지만, 그 내부를 들여다보는 것은 불가능하기 때문이다. 그러나 블랙홀은 호킹 복사를 방출하면서 서서히 증발한다. 이 복사는 블랙홀을 형성한 물질에 대한 추가적인 정보를 갖고 있는 것으로 보이지는 않으며, 이는 곧 소실된 정보는 영영 사라진다는 것을 의미한다.


블랙홀 안에서 물질의 정보가 정말 사라지는 것인지에 대한 문제(블랙홀 정보역설)는 이론물리학계를 양분하는 대형 떡밥이다(손–호킹–프레스킬 내기). 양자역학에서는 어떤 사건의 결과 발생할 수 있는 모든 결과의 확률의 합은 언제나 1로 보존되어야 한다는 단일성이라는 필수적 성질이 있는데, 정보의 소실은 곧 단일성의 위반을 의미한다. 단일성이 위반되는 것은 곧 에너지 보존법칙이 위반되는 것이라는 주장도 있다. 최근에는 이 문제에 대해 완전한 양자중력 이론적 처치를 거치면 정보와 단일성이 확실히 보존될 것이라는 증거가 구축되고 있다.


다음검색
현재 게시글 추가 기능 열기

댓글

댓글 리스트
  • 작성자관운 작성자 본인 여부 작성자 | 작성시간 16.10.02 제가 블렉홀에 대해 막연하게 알고 있어 아는 바가 전혀 없습니다. 아인슈타인과 스티븐 호킹에 의해서 어느성도 블랙홀을 설명하고 있으나 이를 알아듣는 사람이 없어 미궁에 빠져있다고 해도 틀리지 않습니다. 지구도 하나의 생명체입니다. 생성이 있으면 소멸이 있기 마련입니다. 옛날에는 시속 4Km 달렸다면 지금은 200~300Km로 달리고 있어 에너지 소모도 많아지므로 기상이변등으로 사람이 살기 힘든 곳으로 진화할 수도 있겠다 생각합니다.
  • 작성자관운 작성자 본인 여부 작성자 | 작성시간 16.10.02 우리가 아무런 생각없이 자가용을 이용해 쇼핑을 하는 동안 백화점은 엄청난 에너지를 소비해서 공조기를 돌리고 엄청난 양에 쓰레기를 생산해 내고 있습니다. 편리하다는 이유로 배달음식을 먹고서 나오는 1회용 용기는 일주일 동안 아파트단지내 8톤트럭 1대분의 분량이 발생합니다. 각종 포장을 하던 종이상자, 스티로폴도 엄청나게 쏟아져 나옵니다. 아파트 경비들이 쓰레기를 지키는 것으로 봐서 쓰레기를 팔아서 돈을 챙기는 것은 아닌지......
  • 작성자김지환 | 작성시간 16.10.03 잘 배우고 갑니다
댓글 전체보기
맨위로

카페 검색

카페 검색어 입력폼