CAFE

현대대수학

문풀 81번 질문입니다!

작성자ediflee|작성시간19.09.04|조회수194 목록 댓글 4

수업중에 기약다항식p(x)에서 제타 + 제타^2 +제타^4이 하나의 근이고 다른근은

시그마(제타 + 제타^2 +제타^4) = 제타^3+제타^5+제타^6이 된다고 하셨는데

왜 그런지 조금더 부연설명 없이 그냥 그렇다고 하셔서 조금 이해가 안됩니다;;;

조금더 왜 다른근이 제타^3+제타^5+제타^6이 되는지 부연 설명해주시면 감사하겠습니다^^



다음검색
현재 게시글 추가 기능 열기

댓글

댓글 리스트
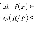
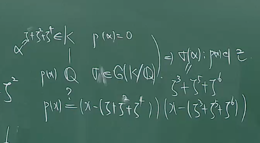
  • 작성자쿨여누 | 작성시간 19.09.04 irr(α, Q)=p(x) 라 했을때,
    판서의 정리에의해(기본정리입니다)
    σ(α)는 p(x)의 근이됩니다.

    즉, σ(α)=σ(ζ+ζ²+ζ⁴)=ζ³+ζ⁵+ζ⁶ 또한 p(x)의 근이된다는것입니다.
    그러므로 p(x)는 적어도 ζ+ζ²+ζ⁴, ζ³+ζ⁵+ζ⁶ 를 인수로 갖게되고,
    이때 p(x)가 2차이하의 다항식임을 알고있기때문에
    p(x)=(x–(ζ+ζ²+ζ⁴))(x–(ζ³+ζ⁵+ζ⁶)) 일것이라는 예상을 해볼수있습니다.
  • 답댓글 작성자ediflee 작성자 본인 여부 작성자 | 작성시간 19.09.04 답변 감사합니다~
    저 설명해주신 부분 중에
    irr(α, Q)=p(x) 라 했을때,
    판서의 정리에의해(기본정리입니다)
    σ(α)는 p(x)의 근이됩니다.

    이부분 관련해서 교수님 교재나 혹은 기본서 (프렐라이 혹은 박승안)에 나와있는 부분이 있나요?
    제가 이거 관련해서 교수님 수업에서 들어본 기억이 없어서요 ㅠㅠ
  • 답댓글 작성자쿨여누 | 작성시간 19.09.04 ediflee 첨부한 정리를 적용시킨것입니다. 댓글 첨부 이미지 이미지 확대
  • 답댓글 작성자ediflee 작성자 본인 여부 작성자 | 작성시간 19.09.04 쿨여누 감사합니다^^!
댓글 전체보기
맨위로

카페 검색

카페 검색어 입력폼