CAFE

현대대수학

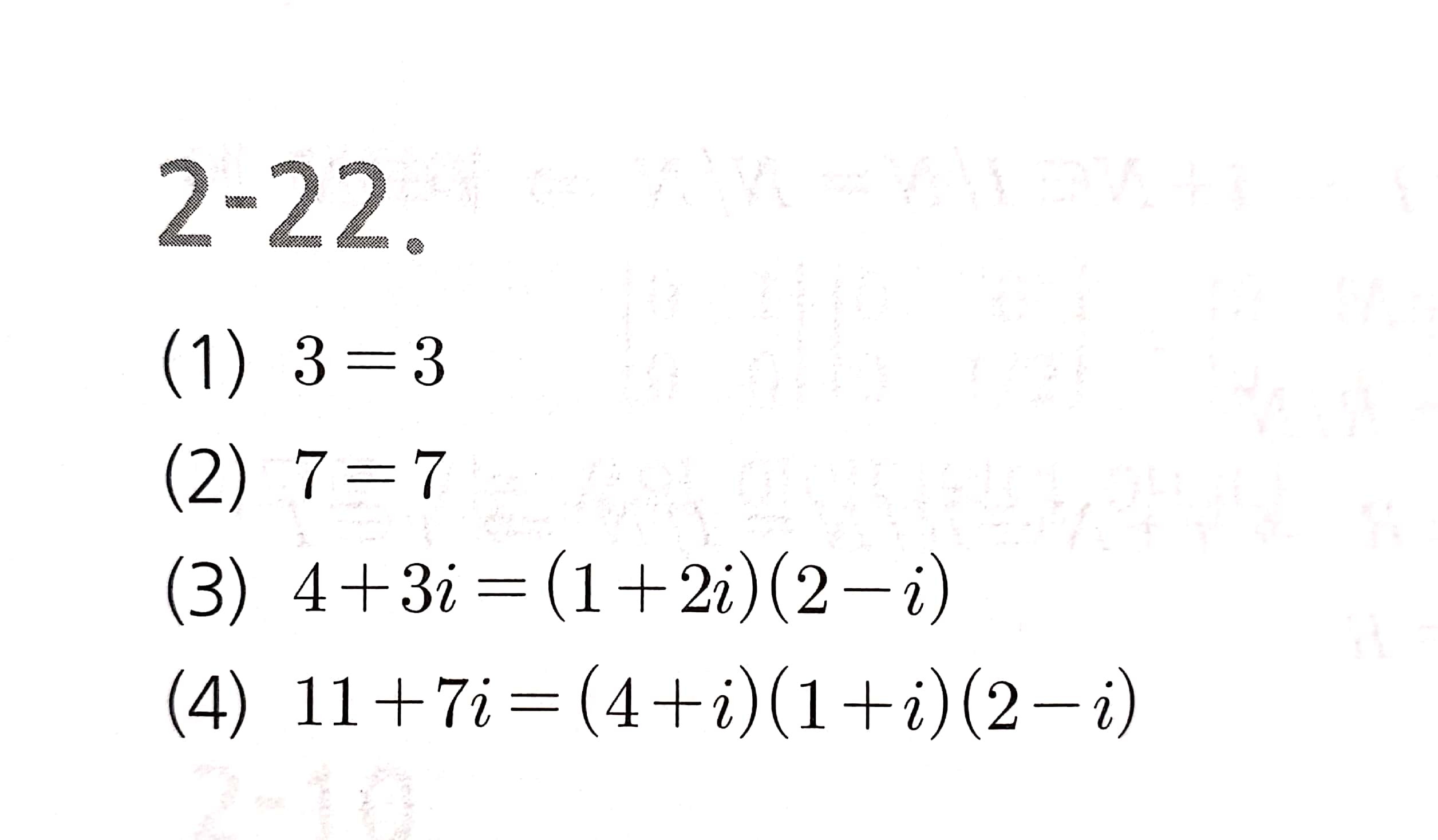
Z[i]에서 인수분해 찾는법

작성자RllST|작성시간21.06.13|조회수746 목록 댓글 3

Z[i]에서 기약원의 곱으로 표현(인수분해)하는 문제입니다.

 

(3)의 경우 아래와 같이 풀이해보았는데 맞는 과정인가요?

같은 과정으로 (4)를 인수분해하려면 N(11+7i)=170= 2*5*17 이므로

 

노름이 2, 5, 17인 원소들 중에서 곱이 11+7i 가 되는 조합을 찾아야 되는데

 

후보가 너무 많아서 찾기가 쉽지 않네요. 더 좋은 방법이 있을까요?

다음검색
현재 게시글 추가 기능 열기

댓글

댓글 리스트
  • 작성자유현미 | 작성시간 21.06.14 말씀하신 것처럼 norm이 2,5,17인 경우 중에서 적당히 찾아주시면 됩니다. 답은 꼭 답안에 있는 것만 가능한 것이 아니고 다양한 표현이 가능합니다.
    예를 들어 norm이 2인 경우 1-i를 택해 (11+7i)/(1-i)=2+9i이고 norm이 5인 것 중 -2+i를 택해 (2+9i)/(-2+i)=1-4i이므로 (1-i)(-2+i)(1-4i)도 답이 됩니다.
  • 답댓글 작성자RllST 작성자 본인 여부 작성자 | 작성시간 21.06.14 아 하나씩 나누면서 구하면 되는군요, 감사합니다^^
    그리고 다양한 표현이 가능하되 Z[i]는 UFD이니까 결과적으로는 다 동반원 관계가 되는거 맞나요?
  • 답댓글 작성자유현미 | 작성시간 21.06.15 RllST 네, 맞습니다.
댓글 전체보기
맨위로

카페 검색

카페 검색어 입력폼