CAFE

대학생,일반 수학

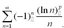
교대급수판정법

작성자부활한다빡동|작성시간08.01.09|조회수309 목록 댓글 3

이미지를 클릭하면 원본을 보실 수 있습니다.


 

 

 

 

부탁드립니다. 계절학기 퀴즈시간에 내주신 문제인데 이거 못 풀어서 2번이나 교수님이 다시 풀어오라고 하셨습니다. 문제의 요는 교대급수판정법을 쓰는데...

 p가 음수일때 로피탈 정리가 안되어서 미분이 안된다고 교수님이 말씀 하시는데...

 

답은 p 0보다 작거나 같다 입니다. ( p <= 0 )

 

고수님들 해설 자세히 좀.. 부탁드립니다. 칠판에 나가서 정리를 해야 하거든요...

다음검색
현재 게시글 추가 기능 열기

댓글

댓글 리스트
  • 작성자비는아픔 | 작성시간 08.01.09 수렴하는 p의 범위를 구하는건가요? 뭐 어쨌든...글쎄요 갑자기 로피탈이 왜나올까요-ㅅ-;;; 일반항에서 (-1)^n 제외시킨 부분을 f(n)이라 하면 양수이고 감소수열이기만 하면 되는데, n > e^p인 모든 n에 대하여 f(n)이 감소하므로 임의의 p에 대해 급수가 수렴할거같은데요??
  • 답댓글 작성자걸음마 | 작성시간 08.01.10 "일반항에서 (-1)^n 제외시킨 부분을 f(n)이라 하면 양수이고 감소수열이기만 하면 되는데" "f(n)->0 as n->infinity" 이 조건이 빠진듯 한데요~ ^^;
  • 답댓글 작성자비는아픔 | 작성시간 08.01.10 악! 죄송합니다 ㅋㅋㅋ 이제 글쓴이님이 무슨말씀 하시는지 알겠네요. 뭐 달라지는건 없는데요. f(n)은 임의의 p에 대해 0으로 수렴합니다. p가 음수일때는 자명하고, 양수이더라도 N with N>p번 로피탈의 정리를 사용하면 오케이~
댓글 전체보기
맨위로

카페 검색

카페 검색어 입력폼