CAFE

대학생,일반 수학

[기하학]미분기하학 곡률<0 일수도 있는건가요?

작성자늦게일어나는벌레|작성시간10.07.14|조회수2,854 목록 댓글 10

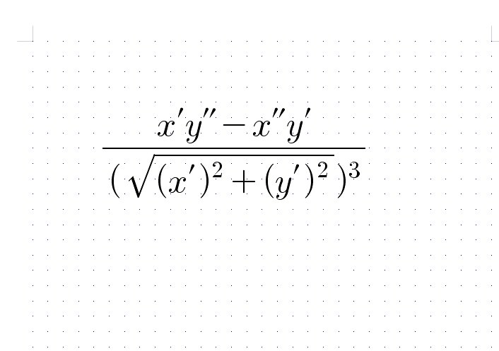
공간곡선일때 곡률의 정의에 노름이 들어가니까 곡률>=0 인데요

 

평면곡선일때 보면 곡률의 공식을 보면 분자에 절댓값이 없는 책을 봤습니다.

 

곡률이 음수가 나올수도 있는건가요? 아니면 양수임을 전제한건가요? 궁금궁금

 

 

다음검색
현재 게시글 추가 기능 열기

댓글

댓글 리스트
  • 답댓글 작성자허걱~ | 작성시간 10.07.18 모든 곡선은 unit tangent를 가진다고 하면. 공감 곡선의 경우는 tangent의 미분이 normal이 되고 이 normal의 크기가 curvature가 됩니다. 이때 크기를 곡률로 정하기때문에 항상 양이죠. 평면곡선의 경우도 마찬가지로 곡률을 정의할 수 있습니다. 이때 나오는게 unsigned curvature입니다.
  • 답댓글 작성자허걱~ | 작성시간 10.07.18 근데 평면 곡선은 공간 곡선과 차이가 있어요. 공간에선 orientation을 결정하기위해선 벡터가 두개 있어야하지만 평면에선 벡터가 하나만 있어도 orientation을 결정할 수 있죠. 즉, 평면 곡선에선 normal을 tangent를 반시계방향으로 90도 돌린 벡터로 하고 tangent의 미분이 normal에 평행하게 되므로
  • 답댓글 작성자허걱~ | 작성시간 10.07.18 normal에 대한 tangent의 미분의 배율을 signed curvature로 정의합니다. 이때는 크기가 아니라 배율이므로 음이 나올 수 있습니다.
  • 작성자독도는우리것 | 작성시간 10.07.29 평면곡선에서는 곡률이 음수가 나올 수 있습니다.. 저 식을 전곡률을 구하는 식에 대입하면.. 결국 전곡률은 곡선이 휘어진 각에 의해서 정해지게 됩니다.. 즉,. 곡선이 시계반대방향으로 돌 때는 곡률이 +가 나오고.. 곡선이 시계반대방향으로 돌 때는 곡률은 -가 나오게 됩니다..
  • 작성자늦게일어나는벌레 작성자 본인 여부 작성자 | 작성시간 10.07.29 좋은 답변 감사합니다.
댓글 전체보기
맨위로

카페 검색

카페 검색어 입력폼