CAFE

[해석학]모고4회 B형 #11

작성자마이클|작성시간20.10.10|조회수149 목록 댓글 32

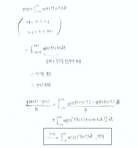
박스 부분에서 h가 0으로 가는 lim 기호가 적분기호 안으로 들어간 것 같은데, 별다른 조건 없이 이게 가능한가요?  

다음검색
현재 게시글 추가 기능 열기

댓글

댓글 리스트
  • 답댓글 작성자신선물고기 | 작성시간 20.10.23 마이클 아 절댓값을 빠뜨리신거죠? t에 절댓값만 있으면 괜찮네요.
  • 작성자신선물고기 | 작성시간 20.10.23 자 그러면 예의 위에서 명재를 증명해 보겠습니다. 적당한 정의역에서 정의된 실변수 실가 함수 f(x)가 균등 연속이라 하겠습니다. 이제 t->0일 때 f(x+t)가 f(x)로 균등수렴함을 보이겠습니다.
    epsilon을 양수라 합시다. 그러면 f(x)의 균등 연속성에 의하여 어떤 delta 가 존재하여 t가 0의 delta 근방에 있을 때 언제나 f(x+t)가 f(x)의 epsilon 근방에 있게 됩니다. 이때 delta 가 x에 의존하지 않으므로 f(x+t)는 f(x)로 균등 수렴한다는 것을 알 수 있습니다.
  • 작성자신선물고기 | 작성시간 20.10.23 위에서 제가 쓴 바를 이해하신다면 어째서 균등 연속이 예의 균등 수렴의 직접적이고 자명한 근거가 되는지 이해하실 수 있을 것으로 기대합니다.
  • 답댓글 작성자마이클 작성자 본인 여부 작성자 | 작성시간 20.10.23 네 이해됐습니다. 설명 정말 감사합니다. ^^
  • 답댓글 작성자신선물고기 | 작성시간 20.10.23 마이클 좋습니다!
댓글 전체보기
맨위로

카페 검색

카페 검색어 입력폼