CAFE

글쓰기 훈련 게시판

정규분포 곡선 - 인간 특성들의 다양한 스펙트럼 고찰 - 정치이념적 편향성의 근본적 근원 - 논리적 글쓰기

작성자정론직필|작성시간14.11.24|조회수1,674 목록 댓글 6



어느 회원님이 위와 같은 댓글을 올렸네요.


그런데...위 내용이 과연 사실일까요?


아마도 아닐 것이라고 하는 것이 정론직필의 판단입니다.


우선, 평양의 교통체증 운운 문제


평양에 교통체증 운운 한다고 해서....설마하니 그것을

남한 서울의 교통체증 문제와 비교하는 맹한 인간은 없겠지요?


왜냐면....그 이유는 매우 간단합니다.


예전에 북한에 갔다온 사람들의 말에 의하면

북한 도로들은 텅텅 비어 있어서 도무지 차들이 없더라는 것입니다.


그런데 최근년엔 평양에 차들이 갑자기 많아져서

심지어 일시적 교통체증 까지 발생할 정도라는 겁니다.


그 의미는....평양의 도로들에 차가 없어 완전히 텅텅 빈 상태가 아니라

이제는 그나마 차들이 상당히 많아졌다는 의미일 뿐이지요.


즉, 그 의미는....현재 북한의 경제 상황이 예전보다

훨씬 더 좋아지고 있는 중이라는 의미일 뿐입니다.


그런데도 북한의 그것을 마치 현재 남한 서울의 그것과 비교한다면

그 자체가 이미 몰상식한 짓이 아닐까요?


그리고....평양의 교통 상황이나.....도시 발전 정도를

구글어스만으로 도대체 어떻게 알 수 있다는 말인지?


그것 자체가....어처구니 없다는 생각이 듭니다.


여러분들....

유럽을 여행해 보신 분들은 아마 다 아시겠지만....

유럽의 도시들은 비록 대도시라고 할지라도

생각처럼 그렇게 인구가 많지 않습니다.


아시아의 서울, 도쿄, 베이징 등과는 도무지

인구수에 있어서는 비교 자체가 안되지요.


그럼에도 불구하고 도시 면적 자체는 매우 광활한 편입니다.

그래서...사실 유럽의 비교적 큰 도시라고 할지라도

약간만 교외에 나가보면.....거의 시골이나 마찬가지 

수준일 정도로.....농지나 공원 및 잔디밭이 많지요.


유럽의 도시들처럼 넓찍하고 마치 시골 도시처럼 개발되어 있으면

낙후된 사회인 것일까요?


반드시 서울이나 도쿄 및 베이징처럼 인간들이 바글거려야만

발전된 도시인 것일까요?


그건 한마디로....넌센스라고 봅니다.


즉, 도시 발전 정도 등을 구글어스로 확인할 수 있는

문제가 아니라고 봅니다. 그리고 빌딩들이 많다고 해서

반드시 그것이 좋다는 의미로 해석될 수 있는 것도

아니라고 봅니다.


결국....우리 카페에 올라오는 게시글 내용들이

회원님들에 의해 검증이 안되는 경우란 사실상

없다고 해야 하겠지요.


다만, 그 논리전개가 과연 옳은 것인지 여부가 문제인데....

정론직필이 언제 한번이라도 궤변적 논리를 전개한 적이

있던가요? 


만일 정말로 그런 일이 있게 된다면....

아마도 회원 대중들로부터 강력한 반발을 당하게

될 것이라고 봅니다.


어쨌든....


사람들마다 그와같이 생각하는 바가 천차만별이지요.


똑같은 내용을 두고서도......사람들 마다

생각하는 바가 매우 다르다고 하는 것을

정론직필은 이미 오래전부터 아주 강렬하게

느껴오고 있습니다.


그것이 단지 논리적으로 뿐만 아니라

정서적으로도 그렇더라는 말이지요.


즉, 세상 사람들마다 정서적, 이념적 편향성의 스펙트럼이

매우 다양하지만...심지어 개별 인간들의 논리적 능력 자체도

그와 같음을 느끼고 있습니다.


그래서 오늘은 그 문제에 대해 한번 생각해 보고자 합니다.


통계학에는 소위 "정규분포" 라는 것이 있지요.

그 모양은 아래와 같이 종 모양으로 되어 있습니다.


즉, 가운데가 가장 높고, 양쪽 끝 주변으로 갈 수록

가늘어지는 모양의 곡선이죠.


그 의미는.... 평균값인 가운데 부분에

대부분의 개체들이 몰려 있고, 나머지 극소수 개체들은

양쪽 끝 주변부에 띄엄띄엄 몇개 존재한다는 의미이지요.


쉽게 예를 들자면....

아마도 거의 대부분의 남성들은 대체로

적당한 남성 호르몬이 분비되는 남성들일 것이라고 봅니다.


그런데 분명히 겉보기에는 남성이지만.....

그러나....일반 남성들 보다도 훨씬 더 남성 호르몬이

과다하게 분비되는 남성들도 약간 있을 것이고.....


그런가하면.....분명히 실제 성기 모양은 분명히 남성이지만

그러나 여성호르몬이 과다하게 분비되어

스스로를 여성으로 생각하는 남성들도 약간 있을 것입니다.


남성들이 여성들의 심리나 기분을 쉽게 이해할 수 있는 이유는

남성들에게도 약간의 여성 호르몬이 분비되기 때문이라고 한답니다.


그런데 만일 일부 남성들 중에는 여성 호르몬 분비는 거의 없고

과다하게 남성 호르몬만 분비된다면

그런 사람들은 아마도 여성들에게 남성적 매력을 보일 수 있을지는 몰라도

그러나 그런 남성들은 여성들의 마음을 제대로 이해하지 못해

아마 연애에 별로 능숙하지 못할 것 같네요.


솔직히.....정론직필도 그런 부류의 인간들 중에

하나가 아닐까 스스로는 생각하고 있습니다.


그런데.....겉보기에는 분명히 남성의 성기를 가진 사람이지만

그러나 만일 여성 호르몬이 과다하게 분비되는 사람이라면

아마도 그는 자신을 여성이라고 생각할 가능성이

많다고 봅니다.


바로 그 때문에...소위 "성정체성" 혼란 문제가

발생되는 것이 아닐까 추측해 봅니다.


그렇다면.....도대체 왜 그런 이상한 현상들이

자연계에 존재하는 것일까요?


그에 대해 정론직필은 그것은 "조물주"의 의도적 장난이라고

보고 있습니다.


즉, 생물종의 멸종을 방지하기 위한 하나의 수단이라는 말이지요.


예컨데, 어느 물고기의 암컷은 만일 수컷 물고기가 없으면

갑자기 암컷 스스로 숫컷 물고기로 변화해버린다고 합니다.


물론, 그 반대의 경우도 있겠지요.


정론직필이 아는 바로는.....그런 생물종들이

의외로 상당히 많은 것으로 알고 있습니다.


그것은 결국.....특정 생물종의 암수 중에 만일

하나가 절멸한다면....그 생물종의 멸종을 방지하기 위해

암컷이 숫컷으로, 또는 숫컷이 암컷으로 돌변하는 것이

아닐까 추측됩니다.


그건 결국 만물을 창조한 "조물주"의 고의적 의도라고 봅니다.


따라서....인간들 중에도 그와같이

매우 다양한 스펙트럼의 "성적 특성"으로 

구성되어 있을 것이라는 말이지요.


그러나....정규분포 곡선의 맨 끝쪽 부분에 있는 인간들은

그 문제 때문에....상당한 성적 고통을 당하게 되겠지요.


예컨데, 남성인데 스스로는 여성으로 느끼거나

또는 여성인데 스스로는 남성으로 느끼거나

또는 여성인데 여성만 이성으로 느끼거나, 또는

남성인데 다른 남성만 이성으로 느끼거나 등 말입니다.




정규분포 곡선




중심 극한 정리 (Central limit theorem)



As the number of discrete events increases, the function begins to resemble a normal distribution

(사건 또는 표본 수가 많아질 수록, 확률함수 모양은 부드러운 정규분포 곡선이 된다.

불과 512 개의 표본만으로도 이미 부드러운 정규분포 곡선이 나타난다.)


http://ko.wikipedia.org/wiki/%EC%A0%95%EA%B7%9C%EB%B6%84%ED%8F%AC



http://en.wikipedia.org/wiki/Normal_distribution (영문)


In probability theory, the normal (or Gaussian) distribution is a very commonly occurring continuous probability distribution—a function that tells the probability that any real observation will fall between any two real limits or real numbers, as the curve approaches zero on either side. Normal distributions are extremely important in statistics and are often used in the natural and social sciences for real-valued random variables whose distributions are not known.


The normal distribution is immensely useful because of the central limit theorem, which states that, under mild conditions, the mean of many random variables independently drawn from the same distribution is distributed approximately normally, irrespective of the form of the original distribution: physical quantities that are expected to be the sum of many independent processes (such as measurement errors) often have a distribution very close to the normal. Moreover, many results and methods (such as propagation of uncertainty and least squares parameter fitting) can be derived analytically in explicit form when the relevant variables are normally distributed.

==========

Why is the normal distribution useful?


• Many things actually are normally distributed, or very close to it. For example, height

and intelligence are approximately normally distributed; measurement errors also often

have a normal distribution


• The normal distribution is easy to work with mathematically. In many practical cases,

the methods developed using normal theory work quite well even when the distribution is

not normal.


• There is a very strong connection between the size of a sample N and the extent to which

a sampling distribution approaches the normal form. Many sampling distributions based

on large N can be approximated by the normal distribution even though the population

distribution itself is definitely not normal. 


https://www3.nd.edu/~rwilliam/stats1/x21.pdf

==========

(참고)

정규분포


http://www.mathsisfun.com/data/standard-normal-distribution.html


http://cc.kangwon.ac.kr/~sslee/history/normal.htm

===========

다양한 확률분포 모델들


                                 (이산 변수들의 경우)



(연속함수 변수들의 경우)



http://www.wolfram.com/mathematica/new-in-8/parametric-probability-distributions/



그런데....단지 성적 정체성이나 호르몬 분비 문제에 있어서만

그런 것이 아니라....인간들의 많은 다른 성질들에 있어서도

그런 경향성이 있더라는 것이죠.


예컨데, 인간의 지능지수 분포도도 아마 거의 정규분포 곡선과

비슷하지 않을까 하는 생각이 드네요. (물론, 실제 사실 여부는

정론직필이 모릅니다만.....적어도 느낌상 그렇더라는 말이지요.)


예컨데, 대부분의 인간 지능지수는 아마도 대개

100~110 근처가 아닐까 추측됩니다.


그런데 양쪽 끝으로 가게 되면.....아주 높은 지능지수를 가진 인간들도

더러 있고, 아주 지능지수가 낮은 인간들도 더러 있겠지요.


그런데 문제는.....지능지수가 높던 낮던 모든 인간들이

스스로 세상을 살아가는 데에 충분한 지능을 가지고 있다고

철석같이 믿으며 살아가고 있더라는 말입니다.


그래서 세상 사람들 누구나 자신이 생각하고 판단한 바가

언제나 옳다고 확신하며 세상을 살아가고 있더라는 말이지요.


즉, 이 세상에는 스스로가 정말로 "바보"라고 믿으며

세상을 사는 인간은 없더라는 말입니다.


그래서....그것이 무뇌노빠들처럼 "진보꼴통"이 되었든

또는 "수구꼴통"이 되었든.....그들 모두는 스스로의 생각과

판단들이 절대적으로 옳다는 신념을 굳게 갖고 살아가고

있더라는 말이지요.


그래서....현재 한국사회내 특정의 정치적 문제나

사회적 문제들에 대한 생각들에 대해서도

사람들마다 그야말로 극단적으로 다른 의견들을

갖고 있음을 우리는 쉽게 확인할 수 있지요.


그건 개인들의 학벌이나 학력 문제와는 거의 상관이

없을 정도이지요.


예컨데, 정론직필의 판단으로는 도무지 말이 안되는 주장이라고

생각되는 의견들을 어느 특정의 개인들이 갖고 있지만....

그러나 그들은 정론직필의 생각이나 주장들이

절대적으로 틀렸고, 자신들의 주장들이 절대적으로 옳다고

확고하게 믿고 있더라는 것이지요.


그래서 그들은 막무가내로 우겨대며

무조건 정론직필의 주장이 틀렸다고 확신을 하는 것이지요.


다시 말하면......


어떤 특정의 정치적 문제들이나 사회적 문제들에 대해서도

사람들마다 매우 다른 논리전개 방식들이 있더라는 말이지요.


도대체 인간들이 어떻게 하면 그와같이

소위 "꼴통"들이 될 수도 있는 것인지

정론직필은 오랫동안 이해하지 못했었습니다.


그러나 나중에 우연히 인간의 뇌에 대한 연구 관련글을 보고서야

비로소 이해할 수 있게 되었습니다.



지식채널e 뱀 0.3%의 모성애 - 인간의 뇌 3층 구조 - 파충류의 뇌(뱀의 뇌), 포유류의 뇌(토끼의 뇌), 영장류의 뇌(인간의 뇌) - 유권자 투표행태 분석

과학, UFO, 신비한 자연현상 2014/06/22 21:41


인간의 뇌는 3개의 층으로 구성되어 있는데

파충류층(=뱀의 뇌), 포유류층(=토끼의 뇌), 영장류층(=인간의 뇌)으로 되어 있다고 하네요.


그런데...이기적고, 사악하며, 의사소통이 되지 않는 인간들의 뇌

뱀의 뇌라고 한다네요.


인간의 뇌는 크게 3개의 층으로 이뤄져 있다. 

흔히 파충류의 뇌, 포유류의 뇌, 인간의 뇌로 불리는 것이 그것이다. 


파충류의 뇌

‘살아남는 것’이 훨씬 더 중요하고, 그 부분을 지배하는 것이 바로 

생존과 관계있는 파충류의 뇌

파충류의 뇌는 생존에 유리한 선택을 하도록 설계


포유류의 뇌

주로 어머니와의 관계를 통해서 따뜻한 정과 사랑, 강한 유대감

감정을 관장하는 포유류의 뇌


인간의 뇌

이성과 추상적 사고

인간이 학습하고 기억할 수 있는 능력

고도의 정신 기능과 창조 기능

인간 만이 가진 인간의 뇌

이성의 뇌


http://earthly.tistory.com/1939



위 게시글의 내용인즉.....


인간이라고 해서....모든 인간들이 언제나

인간의 뇌 부분을 사용하는 것이 아니더라는 말입니다.


다시 말하면.....겉보기에는 분명히 모두 

똑같은 인간의 모습을 하고 있지만

그러나 사람들마다 자신의 뇌의 부분을 사용하는 성향들은

매우 다르다는 말이지요.


예컨데, 파충류 뇌를 주로 사용하며 살아가는 인간들이 있는가 하면

포유류의 뇌 또는 인간의 뇌를 주로 사용하며 세상을 살아가는

인간 부류들이 있더라는 말이지요.


따라서....정치적 문제나 사회적 문제 등등에 있어서

각 사람들마다 느끼고 생각하는 바가 천차만별로 다를 수 밖에

없겠지요.


그리고.....똑같은 문제들에 대해서도

너무 과도하게 잔인한 마음을 갖는 사람들이

인터넷 상에는 의외로 많아서....가끔씩

소름이 돋기도 하더군요.


정말이지....우리 카페에서만큼은 과도하게 잔인한 말들은

사용하지 말아주셨으면 합니다.


어쨌든.....


인간이라는 존재가.....그저 간단하게 하나의 범주로

묶을 수 있는 무엇이라기 보다는....생각보다 매우 다양한

스펙트럼을 가진 존재가 아닐까 생각해 보았습니다.


단지 인간의 성정체성 문제에 있어서만이 아니라

심지어 논리적 전개능력이나 논리적 성향 또는

지능지수 및 정치이념적 성향 등에 있어서도

생각보다 매우 다양한 스펙트럼으로 분포되어 있다는

생각이 듭니다.


그와 같이 매우 다른 스펙트럼의 의견들을 가지고 있다고 할지라도

그 개인들 모두는 아마도 스스로 잘난 맛에 세상을

살고 있음이 틀림이 없다고 봅니다.


즉, 스스로의 의견이나 판단이 언제나 

절대적으로 옳다고 확신하며 세상을 살고 있다는 말이지요.


암튼, 그건 그렇다치고......


이번엔 논리적 글쓰기에 대해 한번 생각해볼까 합니다.


사람들 중에는 분명히 훨씬 더 논리적 사고를 좋아하는 사람들도 있고

그런가하면 논리성 보다는 정서적인 면에 더 큰 관심을

가진 사람들도 있는 것 같습니다.


물론, 논리나 정서적인 문제 보다는 그저 

오직 먹고사니즘이나 생존 문제에만

몰두하는 사람들도 있겠지요.


그러다보니.....사람들 중에는

생각보다 매우 덜 논리적 생각을 좋아하는 사람들이

의외로 많더군요.


하긴, 천재적 시인들이나 천재적 예술가들이란 아마도 

결코 논리적 사고방식을 좋아하는 사람들은 

아마도 아닐 것 같네요.


그래서 많은 사람들이 논리적 글쓰기가 도대체 무엇인지

전혀 이해하지 못하는 경우도 많은 것 같습니다.



논리적 글쓰기


"논리적 글쓰기"의 본보기가 될만한 모범답안적 글은

정론직필이 아직 발견한 바 없고....


그렇다고 해서....전문적인 논문들을 소개할 수도 없는 일이고....


다만, 수능 수학시험 문제 하나를 생각해 볼까 합니다.

아래 수학문제가 바로 올해 대입 수능시험 문제라고 하네요.





수학문제 풀이란.....아마도 기본적으로 주어진 가정들 및

전제조건들 하에서 미리 약속된 수학적 기호들을 사용하여

치밀한 논리전개를 해나가는 것이라고 봅니다.


예컨데, 위 문제에 있어서는 사실 암묵적인 대전제 조건이 있지요.


즉, 위 문제는 어디까지나 유클리드 기하평면이라는 전제조건 하에서의

문제이지요. 그리고 문제 자체에서 이미 함수의 계수들이 모두

실수라는 전제조건이 주어져 있군요.


그와 같은 전제조건들 또는 가정들 하에서

우리는 어떻게 하면 치밀한 논리전개를 하여

위 문제를 풀 수 있을까요?


즉, 논리적으로 더 이상 반박할 수 없도록

치밀한 논리전개를 해야만 합니다.


실수계수의 3차함수 방정식이란...

원칙적으로 3개의 근을 갖게 되어 있는 것으로 알려져 있지요.


그런데.....단지 두 곳에서만 서로 만나도록 하라는 말은

하나의 중복근(=두 개의 근)과 또 다른 하나의 근을

갖도록 만들라는 의미이지요.


그런데...중복근이란.....그래프로 표시하면

아래 그림에서와 같이...곡선의 표면에 접할 경우를

의미합니다.


즉, 3차 방정식에서 두 개의 근은

곡선의 표면에 접하도록 하고, 다른 하나는

그냥 곡선을 뚫고 지나가도록 만들면 되지요.






예컨데, 위 그래프에서 (나) 직선은 3 군데서 만나게 되지요.

그것은 곧 3개의 서로 다른 근을 갖는다는 의미입니다.


그러나 위 그래프에서 (가)와 (다) 직선은

단지 두 곳에서만 만나고 있으므로

위 문제가 요구하는 답들 중에 하나이겠지요.


다만, (다) 직선의 경우엔 k 값이 마이너스(=음)이므로

일단 문제에서 배제되겠지요.


따라서 우리는 (가) 직선을 구하면 되겠군요.


물론, 위 문제의 정답을 구하는 방법들은 아마도

여러가지가 있을 수도 있겠지만.....


그러나 정론직필이 생각하는 문제풀이 방법은

아래와 같습니다.


이제 다른 직선은 잊어버리고 오직 (가) 직선만 가지고

생각해 보도록 합니다.


3차함수 곡선과 직선이 만난다는 말은

그 만나는 점에서의 x 값을 대입하면

두 함수값이 같게 된다는 의미입니다.


따라서 만일....곡선의 표면과 직선이 만나는 점의 x 값을

P 라고 한다면.... 


P(P+1)(P-4) = 5P + k


가 될 것입니다.


위 식을 k 에 대하여 정리하면 아래와 같이 되는군요.


(1)  k = P³ - 3P² -9P


그리고....원래의 3차함수를 풀어보면

아래와 같습니다.


(2) X(X+1)(X-4) = X³ -3X² - 4X


그런데....위 3차함수 곡선의 표면에

y = 5x + k 라는 직선이 접한다는 말은

그 접점에서의 기울기가 같다는 말이지요.


즉, (2)번 함수를 미분하고, 그 접점의 x 값인 P 값을 대입하면

직선의 기울기인 5가 된다는 말이지요.


따라서 (2)번식을 미분하고, 그 결과에 P 값을 대입한 다음

그것을 5라고 하면 아래와 같은 식이 됩니다.


(3)  3P² - 6P -4 = 5


위 식을 정리하면 아래와 같은 식이 되는군요.


(4) P² - 2P - 3 = 0


그러면 이제 위 결과식을 아래 (1)번식에 대입하여

간단하게 정리해 보도록 하지요.


(1-1)  k = P³ - 3P² -9P

         = P(P² - 2P - 3 = 0) - P² - 6P

       = P² - 6P



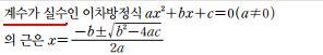
그리고 우리는 아래 (4)번의 이차방정식에서

직접 P 값을 구할 수 있지요.


(4) P² - 2P - 3 = 0



위 근의 공식에 대입하여 P 값을 구하면

아래와 같이 되는군요.


(5) P = 3 또는 -1 


그런데....그래프 (가) 직선을 보시면 아시겠지만....

접점에서의 P 값은 마이너스임을 쉽게 알 수 있죠.


따라서 우리는 P = -1 을 취해야 합니다.

(물론, P = 3 값은 (다) 직선의 값을 의미합니다.)


그러면 이제 그 P = -1 값을 (1-1) 식에 대입하기만 하면 되겠군요.


(1-2)  k = P² - 6P = -1 + 6 = 5


결국.....우리가 구하고자 하는 k 값은

5임을 알 수 있군요.



여러분들.....

위와 같은 "학적 논리전개 또는 추론"에

그런 논리전개 방식이 틀렸다고 반박할 수 있겠나요?


아마도.....위 논리전개가 틀렸다고

반박할 수 없을 것입니다.


수학이란....수학적 기호들을 사용하여

수학적 논리에 맞게 치밀한 논리전개를 하는 학문이죠.


마찬가지로.....일반 다른 분야들에서는

대개 어휘라는 논리적 도구들을 사용하여

치밀한 논리전개를 할 수 있는 것이지요.


다만, 수학처럼 눈에 보일 정도로

치밀한 논리전개가  가능한 것은 아니겠지만....


그래도 대개는 반박할 수 없을 정도로 

치밀한 논리전개가 가능하다고 할 수 있지요.


바로 그런 이유로....."학문적 논문"들이

존재할 수 있는 것이지요.


치밀한 논리전개 능력이 있는 사람들은

과도한 논리비약에 의한 허접한 글들을

대개는 아주 쉽게 알아볼 수 있지요.


가장 대표적인 예들이 바로 수구 찌라시들의 논설들이지요.

찌라시 사설들의 논설들은 거의 대부분이

헛소리, 개소리들이라고 보면 틀림이 없습니다.


그래서 정론직필은 그런 따위를 일체

읽지 않습니다.


물론, 정론직필도 맹했던 소시적에는

그런 논설들이 마치 위대한 무엇이라도 되는 줄 착각하고

심지어 스크랩해두기 까지 했었지만 말입니다.


그런데 세월이 지나고보니...

그놈들이 모두 혹세무민하는 사기꾼들임을

깨닫게 된 것이지요.

다음검색
현재 게시글 추가 기능 열기

댓글

댓글 리스트
  • 답댓글 작성자새벽이 올때까지 | 작성시간 14.11.24 사람은 출신환경 살아온경험 심지어 개인의 신체적 특성등 수많은 요인에 의해 정치지향점과 개인적 사회논리를 드러내지요..
    굳이 뇌의 사용법에 따라 정치지향점을 분류하자면
    수구꼴통들은 파충류의 뇌만을 사용하는것이 현명하고 인간적이라 생각하는 사람들이고
    무뇌노빠들은 포유류의 뇌를 사용 하는것이 당연하다고 생각하는 사람들이며
    인간의 뇌를 사용해야만 한다고 생각하는사람들은 정치무관심층 들이죠
    살아오면서 수많은 수구꼴통과 무뇌노빠를 만났지만
    여기서 예외되는경우는 없더군요
    인간사회가 이성적 합리적일것 같으면
    정치 자체가 존재하지 않지요
  • 답댓글 작성자새벽이 올때까지 | 작성시간 14.11.24 새벽이 올때까지 본인은 인간의 뇌를 사용하지만 정치무관심층이 아니다 라고 생각하는 사람들은 정치에 관심은있지만
    정치가 뭔지 잘모르는 사람들이죠
  • 답댓글 작성자새벽이 올때까지 | 작성시간 14.11.24 새벽이 올때까지 수구꼴통과 무뇌노빠가 인간의 뇌가 없어서가 아니라

    정치지향점을 드러낼때 각각 파충류의 뇌, 포유류의 뇌를 사용한다는 점이 중요하죠

    반면 정치무관심층이나 정치무식층은 항상 인간의 뇌만 사용해야한다는 강박관념 같은게 있지요.

    선택은 본인자유니까 강요할수는 없는것이죠.
  • 작성자박용신 | 작성시간 14.11.24 직필님 글에서 칸트의 향기가 나네요.
  • 작성자moonlight | 작성시간 14.11.24 비슷한 지능의 뇌라도 환경과 교육내지는 세뇌에 의해 전혀다른 논리를 구사한는 경우도 있으니간요,,,
    요즘 드라마 피노키오 (증후군)을 보고 거짓말을 못하는사람들이 절대 참만 말하는건 아니라는 사실을 또 하나 알았습니다, 똑같은 사실도 사람에따라 착각이나 오해에 의해 다르게 받아들여진다는것도,
댓글 전체보기
맨위로

카페 검색

카페 검색어 입력폼